大数跨境
0
0

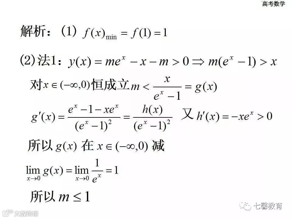
洛必达法则在解高考试题中的应用

洛必达法则在解高考试题中的应用 长春漖育帮
2019-01-05
2

《高三特训100分保提计划》

《高中生名师提分晚自习》

《高一、二、三周末名师班课》


考试前的努力远比考试后对成绩的无力感来得重要




声明:此文来源于网络,由七馨教育编辑整理发布,欢迎大家收藏及转发到朋友圈,如涉及版权问题,请及时联系删除!

有你想看的精彩


寒假来七馨,让家长放心,学生舒心!

自律和不自律的孩子,过得是截然不同的人生!

儿子考上清华,父亲写的一封信在教育圈刷屏(值得发给自家孩子看)

教育的八句大实话,每个家长都应该看看! | 漫读

2018年度最热血短片:世界上最大的遗憾就是,我原本可以!(转给高三)

是一种鼓励  分享是最好的支持

 放 到 你 的 朋 友 圈  里,朋 友 们 会 感 激 您                  

【声明】内容源于网络
0
0
长春漖育帮
致力于服务长春本地中学生,主要服务群体是初三学生及家长,重点发布学习方法指导类文章,中学生家长教育孩子类文章,中考政策信息发布,中考成绩查询,中考报考1对1免费指导等
内容 5050
粉丝 0
长春漖育帮 致力于服务长春本地中学生,主要服务群体是初三学生及家长,重点发布学习方法指导类文章,中学生家长教育孩子类文章,中考政策信息发布,中考成绩查询,中考报考1对1免费指导等
总阅读5.6k
粉丝0
内容5.0k