
电磁感应中的导轨上的导体棒问题,是力学和电学的综合问题,解决电磁感应中的导轨上的导体棒问题,首先要挖掘出导体棒的稳定条件及它最后能达到的稳定状态,然后才能利用相关知识和稳定条件列方程求解。下文是常见导轨上的导体棒问题的分类及结合典型例题的剖析。
滑轨上只有一个导体棒的问题,分两类情况:一种是含电源闭合电路的导体棒问题,另一种是闭合电路中的导体棒在安培力之外的力作用下的问题。
(一)含电源闭合电路的导体棒问题
1. 如图1所示,水平放置的光滑导轨MN、PQ上放有长为L、电阻为R、质量为m的金属棒ab,导轨左端接有内阻不计、电动势为E的电源组成回路,整个装置放在竖直向上的匀强磁场B中,导轨电阻不计且足够长,并与电键S串联。当闭合电键后,求金属棒可达到的最大速度。

图1
分析:
本题的稳定状态是金属棒最后的匀速运动;稳定条件是金属棒的加速度为零(安培力为零,棒产生的感应电动势与电源电动势大小相等)。
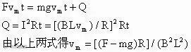
解析:闭合电键后,金属棒在安培力的作用下向右运动。当金属棒的速度为v时,产生的感应电动势,它与电源电动势为反接,从而导致电路中电流减小,安培力减小,金属棒的加速度减小,即金属棒做的是一个加速度越来越小的加速运动。但当加速度为零时,导体棒的速度达到最大值,金属棒产生的电动势与电源电动势大小相等,回路中电流为零,此后导体棒将以这个最大的速度做匀速运动。
金属板速度最大时,有![]()
解得![]()
导体棒在安培力之外的力作用下的问题
1.导体棒在外力作用下从静止运动问题
2. 如图2,光滑导体棒bc固定在竖直放置的足够长的平行金属导轨上,构成框架abcd,其中bc棒电阻为R,其余电阻不计。一质量为m且不计电阻的导体棒ef水平放置在框架上,且始终保持良好接触,能无摩擦地滑动。整个装置处在磁感应强度为B的匀强磁场中,磁场方向垂直框面。若用恒力F向上拉ef,则当ef匀速上升时,速度多大?

图2
本题有两种解法。
方法一:力的观点。
分析:
应用力学观点解导体棒问题的程度:
(a)分析棒的受力情况,判断各力的变化情况;
(b)分析棒的运动情况,判断加速度和速度的变化情况;
(c)分析棒的最终运动情况,依平衡条件或牛顿第二定律列方程。
解析:
当棒向上运动时,棒ef受力如图3所示。当ef棒向上运动的速度变大时,ef棒产生的感应电动势变大,感应电流I=E/R变大,它受到的向下的安培力F安=BIL变大,因拉力F和重力mg都不变,故加速度
变小。
因此,棒ef做加速度越来越小的变加速运动。
当a=0时(稳定条件),棒达到最大速度,此后棒做匀速运动(达到稳定状态)。
当棒匀速运动时(设速度为
),由物体的平衡条件有


图3
方法二:能量观点。
分析:
①ef棒的运动尽管在达到最大速度以前为变速运动,产生的感应电流及感应电动势都在变化,但达到最大速度以后,感应电流及感应电动势均恒定,故计算热量可以用
计算。
②求导体棒的最大速度问题,要会抓住速度最大之后速度不变这一关键条件,运用能量观点处理,往往会使运算过程简洁。
③求导体棒的最大速度问题,可以运用力的观点和能量观点的任一种,但两种方法所研究的运动过程却不同。力观点研究分析的是棒达到最大速度为止的以前的运动过程,而能量观点研究的是从棒达到最大速度开始以后做匀速运动的一段过程。要注意这两种观点所研究运动过程的不同。
解析:
当导体棒ef以最大速度匀速运动以后,拉力做功消耗的能量
等于棒重力势能的增加△
和bc部分产生的热量Q之和。设棒匀速运动的时间为t,则有

外力作用下有初速问题
3. 如图4所示,匀强磁场竖直向上穿过水平放置的金属框架,框架宽为L,右端接有电阻为R,磁感应强度为B,一根质量为m、电阻不计的金属棒受到外力冲量后,以
的初速度沿框架向左运动,棒与框架的动摩擦因数为
,测得棒在整个运动过程中,通过任一截面的电量为q,求:
(1)棒能运动的距离?
(2)R上产生的热量?

分析:
本题的棒与框架无论有无摩擦,棒的最终状态是静止。不过,无摩擦时,原来棒的动能全部要转变成R上产生的热量。
解析:
(1)在整个过程中,棒运动的距离为S,磁通量的变化 ![]()
通过棒的任一截面的电量 ![]()
解得![]()
(2)根据能的转化和守恒定律,金属棒的动能的一部分克服摩擦力做功,一部分转化为电能,电能又转化为热能Q,即有

总之,通过以上的分析,可以看出:对导轨上的单导体棒问题,其稳定状态就是导体棒最后达到的匀速运动状态。稳定条件是导体棒的加速度为零。
滑轨上有两个导体棒的运动问题,还分为两种:
一种是初速度不为零,无安培力之外的力作用下的问题,
一种是初速度为零,有安培力之外的力作用下的问题。
初速度不为零,无安培力之外的力
两棒各以不同的初速度做匀速运动问题
4. 如图5所示,相距d的平行光滑金属长导轨固定在同一水平面上处于竖直的匀强磁场中,磁场的磁感应强度为B,导轨上面横放着两条金属细杆ab、cd构成矩形回路,每条金属细杆的电阻为R,回路中其余部分的电阻可忽略不计。已知ab、cd分别以2v、v的速度向右匀速运动,求两金属细杆运动t秒后,共产生多少热量?

分析:
本题的关键,是把两杆及导轨构成的回路作为研究对象,利用法拉第电磁感应定律求电动势E。如果用E=BLv求每杆的电动势,再求回路总电动势,那就要涉及到中学阶段不要求的反电动势问题。
解析:
以整个回路为研究对象,t秒后
磁通量的变化![]()
回路中的感应电动势![]()
回路中的感应电流 ![]()
产生的热量 ![]()
两棒之一有初速度
5. 在例4中,两棒的质量均为m。若开始用一水平冲击力使ab获得一冲量I,使其沿轨道向右运动,而cd无初速度。求ab棒在整个过程中产生的焦耳热?
解析:
ab棒获得速度
,就开始向右切割磁感线,产生感应电流,从而ab棒在磁场力作用下做减速运动,cd棒做加速运动,当两棒速度相等时,两棒产生的感应电动势大小相等,在回路中方向相反,感应电流为零,磁场力也为零。此后两棒以相同的速度v做匀速运动(达到稳定状态)。在这个过程中,两棒组成的系统所受外力之和为零,系统动量守恒,有v=
。
在上述过程中,系统损失的动能先转化为电能,电流通过电阻后又转化为焦耳热。又因为两棒电阻相同,产生的焦耳热相等,故有
![]()
故ab棒在整个过程中产生的焦耳热
![]()
初速度为零,有安培力之外的力作用
初速度为零,有安培力之外的恒力作用下的问题
6. 两根平行的金属导轨,固定在同一水平面上,磁感应强度B=0.50T的匀强磁场与导轨所在平面垂直,导轨的电阻很小,可忽略不计。导轨间的距离L=0.20m。两根质量均为m=0.10kg的平行金属杆甲、乙可在导轨上无摩擦地滑动,滑动过程中与导轨保持垂直,每根金属杆的电阻为
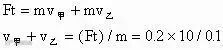
。在t=0时刻,两杆都处于静止状态。现有一与导轨平行、大小为0.20N的恒力F作用于金属杆上,使金属杆在导轨上滑动。
(1)若经过t=5.0s,金属杆甲的加速度为
,问此时两金属杆的速度各为多少?
(2)若经过10s,电路中的电功率达到最大值。问第10s末,
①金属杆甲的加速度是多少?
②两金属杆的速度各是多少?
分析:本题必须先根据楞次定律,正确判出甲在F作用下运动时,乙也在其后同向运动。
解析:(1)设任一时刻t两金属杆甲、乙之间的距离为x,速度分别为
,经过很短的时间△t,杆甲移动距离
,杆乙移动距离
,回路面积改变
①
由法拉第电磁感应定律,回路中的感应电动势
②
由闭合电路欧姆定律,回路中电流
③
对甲由牛顿第二定律,有
④
由于作用于杆甲和杆乙的安培力总是大小相等、方向相反,所以两杆的动量(t=0时为0)等于外力F的冲量
⑤
联立以上各式解得
⑥
⑦
代入数据得![]()
(2)①根据法拉第电磁感应定律可知,甲、乙两杆的速度差越大,感应电动势越大。开始阶段,甲杆的加速度大于乙杆的加速度,甲杆的速度比乙杆的速度增加得快,因而速度差不断增大,直到两杆加速度相等,即
(稳定条件)时,两杆达到稳定状态——均做加速度相同的匀加速运动,此时
达到最大值,从而E、I最大,电路中的电功率
达最大。
由于![]()
故![]()
解得![]()
由牛顿第二定律,金属杆乙的加速度
![]()
金属杆甲的加速度 ![]()

②流过金属杆的电流
![]()
回路中的感应电动势![]()
又![]()
故![]()
由于作用于杆甲和杆乙的安培力总是大小相等、方向相反,所以两杆的动量(t=0时为0)等于外力F的冲量

联立以上两式解得
![]()
有安培力之外的变力作用下的运动
7. 如图7,在水平面上有两条导电导轨MN、PQ,导轨间距为L,匀强磁场垂直于导轨所在的平面(纸面)向里,磁感应强度的大小为B。两根金属杆1、2摆在导轨上,与导轨垂直,它们的质量和电阻分别为
。两杆与导轨接触良好,与导轨间的动摩擦因数皆为
。已知:杆1被外力拖动,以恒定的速度沿导轨运动;达到稳定状态时,杆2也以恒定速度沿导轨运动。导轨的电阻可忽略。求此时杆2克服摩擦力做功的功率。

解析:
设杆2的运动速度为v,由于两杆运动时,两杆和导轨构成的回路中的磁通量发生变化,产生感应电动势
①
感应电流
②
杆2做匀速运动,它受到的安培力等于它受到的摩擦力
③
导体杆2克服摩擦力做功的功率
④
联立①②③④式得![]()
对导轨上的双导体棒运动问题,在无安培力之外的力作用下的运动情况,其稳定状态是两棒最后达到的匀速运动状态,稳定条件是两棒的速度相同;
在有安培力之外的恒力作用下的运动情况,其稳定状态是两棒最后达到的匀变速运动状态,稳定条件是两棒的加速度相同,速度差恒定。
声明:此文来源于网络,由七馨教育编辑整理发布,欢迎大家收藏及转发到朋友圈,如涉及版权问题,请及时联系删除!
赞是一种鼓励 分享是最好的支持
放 到 你 的 朋 友 圈 里,朋 友 们 会 感 激 您


