
代数式定义:由数和表示数的字母经有限次加、减、乘、除、乘方和开方等代数运算所得的式子,或含有字母的数学表达式称为代数式。
例如:ax+2b,-2/3,b^2/26,√a+√2等。
注意:1、不包括等于号(=、≡)、不等号(≠、≤、≥、<、>、≮、≯)、约等号≈
2、可以有绝对值。例如:|x|,|-2.25| 等
用运算符导(指加、减、乘、除、乘方、开方)把数或表示数的字母连接而成的式子叫做代数式。数的一切运算规律也适用于代数式。单独的一个数或者一个字母也是代数
式,带有“<(≤)”“>(≥)”“=”“≠”等符号的不是代数式。
分类:在实数范围内,代数式分为有理式和无理式。
1).有理式
有理式包括整式(除数中没有字母的有理式)和分式(除数中有字母且除数不为0的有理式)。这种代数式中对于字母只进行有限次加、减、乘、除和整数次乘方这些运算。
整式有包括单项式(数字或字母的乘积或单独的一个数字或字母)和多项式(若干个单项式的和)
1.单项式
没有加减运算的整式叫做单项式。
单项式的系数:单项式中的数字因数叫做单项式(或字母因数)的数字系数,简称系数
单项式的次数:一个单项式中,所有字母的指数的和叫做这个单项式的次数
2.多项式
几个单项式的代数和叫做多项式;多项式中每个单项式叫做多项式的项。不含字母的项叫做常数项。
多项式的次数:多项式里,次数最高的项的次数,就是这个多项式的次数。齐次多项式:各项次数相同的多项式叫做齐次多项式。不可约多项式:次数大于零的有理系数的多项式,不能分解为两个次数大于零的有理数系数多项式的乘积时,称为有理数范围内不可约多项式。实数范围内不可约多项式是一次或某些二次多项式,复数范同内不可约多项式是一次多项式。
对称多项式:在多元多项式中,如果任意两个元互相交换所得的结果都和原式相同,则称此多项式是关于这些元的对称多项式。同类项:多项式中含有相同的字母,并且相同字母的指数也分别相同的项叫做同类项。
2).无理式
含有 字母的根式 或 字母的非整数次乘方的代数式叫做无理式。
书写格式:
(1)两字母相乘、数字与字母相乘、字母与括号相乘以及括号与括号相乘时,乘号都可以省略不写.如:“x与y的积”可以写成“xy”;“a与2的积”应写成“2a”,“m、n的和的2倍”应写成“2(m+n)”。
(2)字母与数字相乘或数字与括号相乘时,乘号可省略不写,但数字必须写在前面.例如“x×2”要写成”2x”,不能写成“x2”;“长、宽分别为a、b的长方形的周长”要写成“2(a+b)”,不能写成“(a+b)2”。
(3)代数式中不能出现除号,相除关系要写成分数的形式
(4)数字与数字相乘时,乘号(也可以写作 · )仍应保留不能省略,或直接计算出结果.例如“3×7xy”不能写成“37xy”,最好写成“21xy”。
现有大小两艘轮船,小船每天运 x吨货物,大船比小船每天多运10吨货物.现在让大船完成运送100吨货物的任务,小船完成运送80吨货物的任务。
(1)分别写出大船、小船完成任务用的时间?
(2)试说明哪艘轮船完成任务用的时间少?
解:(1)大船完成任务的时间为:
;
小船完成任务的时间为:
;
(2)
﹣
=
=
,
x>40时,小船所用时间少;
x=40时,两船所用时间相同;x<40时,大船所用时间少.
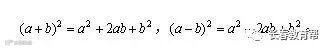
完全平方公式是进行代数运算与变形的重要知识基础。该知识点重点是对完全平方公式的熟记及应用,难点是对公式特征的理解 (如对公式中积的一次项系数的理解)。
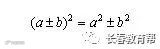
两数和(或差)的平方,等于它们的平方和,加上(或减去)它们的积的2倍,叫做完全平方公式。为了区别,我们把前者叫做两数和的完全平方公式,后者叫做两数差的完全平方公式。

理解公式左右边特征
(一)学会推导公式(这两个公式是根据乘方的意义与多项式的乘法法则得到的),真实体会随意“创造”的不正确性;

(二)学会用文字概述公式的含义:两数和(或差)的平方,等于它们的平方和,加上(或减去)它们的积的2倍.

都叫做完全平方公式.为了区别,我们把前者叫做两数和的完全平方公式,后者叫做两数差的完全平方公式.
(三)这两个公式的结构特征是:
1、左边是两个相同的二项式相乘,右边是三项式,是左边二项式中两项的平方和,加上或减去这两项乘积的2倍;
2、左边两项符号相同时,右边各项全用“+”号连接;左边两项符号相反时,右边平方项用“+”号连接后再“-”两项乘积的2倍(注:这里说项时未包括其符号在内);
3、公式中的字母可以表示具体的数(正数或负数),也可以表示单项式或多项式等数学式.
(四)两个公式的统一:因为

所以两个公式实际上可以看成一个公式:两数和的完全平方公式。这样可以既可以防止公式的混淆又杜绝了运算符号的出错。
完全平方公式的基本变形:
(一)变符号
例:运用完全平方公式计算:
(1)(-4x+3y)²
(2)(-a-b)²
分析:本例改变了公式中a、b的符号,以第二小题为例,处理该问题最简单的方法是将这个式子解答:
(1)16x²-24xy+9y²
(2)a²+2ab+b²
(二)变项数:
例:计算:(3a+2b+c)²
分析:完全平方公式的左边是两个相同的二项式相乘,而本例中出现了三项,故应考虑将其中两项结合运用整体思想看成一项,从而化解矛盾。所以在运用公式时,(3a+2b+c)²可先变形为[(3a+2b)+c]²,直接套用公式计算。
解答:9a²+12ab+6ac+4b²+4bc+c²
(三)变结构:
例:运用公式计算:
(1)(x+y)(2x+2y)
(2)(a+b)(-a-b)
(3)(a-b)(b-a)
分析:本例中所给的均是二项式乘以二项式,表面看外观结构不符合公式特征,但仔细观察易发现,只要将其中一个因式作适当变形就可以了,即
(1)(x+y)(2x+2y)=2(x+y)²
(2) (a+b)(-a-b)=-(a+b)²
(3) (a-b)(b-a)=-(a-b)

赞是一种鼓励 分享是最好的支持
放 到 您 的 朋 友 圈 里,朋 友 们 会 感 激 您

