
地心说
认为地球是宇宙的中心,是静止不动的,太阳、月亮以及其他的行星都绕地球做圆周运动,地心说的代表人物是古希腊的科学家和哲学家亚里士多德。
日心说
认为太阳是宇宙的中心,是静止不动的,地球等一切的行星都绕太阳做圆周运动。
日心说的代表人物是阿里斯塔克、哥白尼、布鲁诺、伽利略、第谷和开普勒。
阿里斯塔克是第一个提出日心说的天文学家;哥白尼在《天体运动论》一书中,对日心说提出更具体的论述和数学论据;布鲁诺、伽利略是为之奋斗的人;开普勒是提出行星围绕恒星做椭圆运动的运动规律的人。

乔尔丹诺.布鲁诺,文艺复兴时期意大利思想家、自然科学家、哲学家和文学家。作为思想自由的象征,他鼓舞了16世纪欧洲的自由运动,成为西方思想史上重要人物之一。
他勇敢地捍卫和发展了哥白尼的太阳中心说,并把它传遍欧洲,被世人誉为是反教会、反经院哲学的无畏战士,是捍卫真理的殉葬者。由于批判经院哲学和神学,反对地心说,宣传日心说和宇宙观、宗教哲学,1592年被捕入狱,最后被宗教裁判所判为“异端”烧死在罗马鲜花广场。

伽利略。意大利数学家、物理学家、天文学家,科学革命的先驱。伽利略发明了摆针和温度计,在科学上为人类作出过巨大贡献,是近代实验科学的奠基人之一。
历史上他首先在科学实验的基础上融汇贯通了数学、物理学和天文学三门知识,扩大、加深并改变了人类对物质运动和宇宙的认识。
伽利略从实验中总结出自由落体定律、惯性定律和伽利略相对性原理等。从而推翻了亚里士多德物理学的许多臆断,奠定了经典力学的基础,反驳了托勒密的地心体系,有力地支持了哥白尼的日心学说。他以系统的实验和观察推翻了纯属思辨传统的自然观,开创了以实验事实为根据并具有严密逻辑体系的近代科学。因此被誉为“近代力学之父”、“现代科学之父”。其工作为牛顿的理论体系的建立奠定了基础。1633年以“反对教皇、宣扬邪学”被罗马宗教裁判所判处终生监禁。

哥白尼的宇宙体系动摇了基督教宇宙体系的根基,但他并没有在天文测算的精确度上有多大的提高,近代早起最重要的工作由丹麦的谷底进行的。

德国物理学家开普勒继承和总结了他的导师谷底的全部观测资料及观测数据,也是以行星绕太阳做匀速圆周运动的模型来思考和计算的,因为不管是“地心说”还是“日心说”,都把天体运动看的很神圣,认为天体运动必然是最完美的最和谐的匀速直线运动,经过四年多刻苦的计算,最后计算出行星是太阳运动的,并且运动轨迹是椭圆,证明了哥白尼的“日心说”是正确的,并总结了行星运动三大定律。
开普勒第一定律
开普勒第一定律即为椭圆轨道定律,其内容为:所有的行星围绕太阳运动的轨道是椭圆,太阳处在所有椭圆的一个焦点上,如图。此定律说明不同行星的椭圆轨道是不同的。

开普勒第二定律
开普勒第二定律又叫面积定律,其内容为:连接太阳和行星的连线(矢径)在相等的时间内扫过相等的面积,如图。

此定律说明行星离太阳越近,其运行速率越大。
开普勒第三定律
开普勒第三定律即为周期定律,其内容为:行星轨道半长轴的三次方与公转周期的二次方的比值是一个常数。即
,其中r代表椭圆轨道的半长轴,T代表行星运动的公转周期,k是一个与行星无关的常量。
对
的认识:在图中,半长轴是AB间距的一半,不要认为a等于太阳到A点的距离;T是公转周期,不要误认为是自转周期,如地球的公转周期是一年,不是一天。

说明
(1)在以后的计算问题中,我们都把行星的轨道近似为圆,把卫星的运行轨道也近似为圆,这样就使问题变得简单,计算结果与实际情况也相差不大。
(2)在上述情况下,
的表达式中,a就是圆的半径R,利用
的结论解决某些问题很方便。
注意
①比例系数k是一个与行星无关的常量,但不是恒量,在不同的星系中,k值不相同。
②在太阳系中,不同行星的半长轴都不相同,故其公转周期也不相等。
③卫星绕地球转动、地球绕太阳转动遵循相同的运动规律。
易错点
在认识行星做椭圆运动时的向心力大小及速度大小时易错,行星的运动符合能量守恒定律,它们离太阳近时半径小,速度大,向心力也大;离太阳远时半径大,速度小,向心力也小,另一个易错点是找椭圆的半长轴时易错,许多同学在初学时,往往将2倍的半长轴代入题中进行运算。
忽略点
本节中的行星运动的轨道为椭圆,是曲线运动,行星在轨道上任一点的速度方向沿该点的切线方向,速度方向易忽略,如:有部分同学认为行星的速度方向垂直于行星与太阳的连线,这种认识是错误的,是将行星的运动视为圆周运动,而实质上其轨道为椭圆。
下图为地球绕太阳运行示意图,图中椭圆表示地球公转轨道,中国农历节气中的春分、秋分、夏至、冬至时地球所在位置如图所示。
地球绕日运行时,对北半球的观察者而言,在冬天经过近日点,夏天经过远日点,由开普勒第二定律可知,地球在冬天比在夏天运动得快一些,因此地球轨道上相当于春夏部分比秋冬部分要长些,从图中看出春分到秋分的春夏两季地日连线所扫过的面积比从秋分到次年春分的秋冬两季地日连线所扫过的面积大,即春夏两季比秋冬两季长一些,一年之内,春夏两季共186天,而秋冬两季只有179天。

1. 在物理学发展的过程中,许多物理学家的科学研究推动了人类文明的进程.在对以下几位物理学家所作科学贡献的叙述中,以下说法正确的是( )
A.英国物理学家牛顿用实验的方法测出引力常量G
B.经过长期的天文观测,天文学家第谷总结出行星运动三定律
C.法拉第发现了感应电动势的大小与磁通量的变化率成正比
D.伽利略应用“理想实验”推翻了亚里士多德的力是维持物体运动的原因的观点
本题属于对物理学史的考查,熟记物理学家的贡献即可解答.
解析
A、牛顿提出了万有引力定律及引力常量的概念,但没能测出G的数值;G是由卡文迪许通过实验方法得出的,故A错误;
B、是开普勒通过分析第谷的观测数据,提出了行星运动三定律,故B错误;
C、法拉第通过十年努力发现了电磁感应规律,进而提出了法拉第电磁感应定律,故C正确;
D、伽利略通过“理想实验”提出亚里士多德的力是维持物体运动的原因的观点是错误的,并且指出了是摩擦力存在的原因,故D正确;
故选CD.
2.探索宇宙的奥秘,一直是人类孜孜不倦的追求.下列关于宇宙及星体运动的说法正确的是( )
A.地球是宇宙的中心,太阳、月亮及其它行星都绕地球运动
B.太阳是静止不动的,地球和其它行星都绕太阳运动
C.地球是绕太阳运动的一颗行星
D.日心说是正确的,地心说是错误的
开普勒定律可知,所有行星绕太阳做椭圆运动,且半长轴的三次方与公转周期的二次方成正比.
解析
开普勒定律可知,所有行星绕太阳做椭圆运动,太阳不是宇宙的中心,太阳围绕银河系中心旋转而银河系不过是宇宙中千亿个星系中微不足道的一个.
故ABD错误,C正确
故选C.
3.2007年10月31日,我国将“嫦娥一号”卫星送入太空,经过3次近月制动,卫星于11月7日顺利进入环月圆轨道.在不久的将来,我国宇航员将登上月球,届时“嫦娥号”飞船将进入绕月飞行的圆形轨道a,如图,当飞船运动至A点时启动登月舱进入椭圆轨道b,到B点实现着陆,(椭圆轨道的一个焦点在月球中心,A、B分别为与轨道a和月球表面相切点).已知月球质量为M,半径为R,轨道a半径为r,万有引力常量为G.试求:

(1)飞船绕月飞行的周期Ta;
(2)登月舱由轨道a进入轨道b时,在A点应启动发动机,向前喷气还是向后喷气?从A点到B点的时间是多少?
本题先考虑飞船为何绕月球做匀速圆周运动,后用万有引力提供向心力列方程求飞船周期,再利用开普勒第三定律求时间.
解析
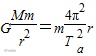
(1)设飞船的质量为m,由万有引力提供向心力,得:
解得:
(2)登月舱由轨道a进入轨道b做向心运动,应减速,故向前喷气.
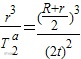
设登月舱从A点到B点的时间为t,由开普勒第三定律:
解得:

声明:此文来源于网络,由七馨教育编辑整理发布,欢迎大家收藏及转发到朋友圈,本次转载重在分享,如涉及版权问题,请及时联系删除!
我们为什么非要读书不可??这是我见过的最好回答了(附百所名校中学生阅读书单)
一门三博士!这个农村家庭告诉我们,教育孩子应该从这点抓起...
2019各省高考状元揭晓:孩子和顶级学霸的差距,不是家庭背景,而是......
赞是一种鼓励 分享是最好的支持
放 到 你 的 朋 友 圈 里,朋 友 们 会 感 激 您


