
(1)光的波粒二象性
干涉,衍射和偏振表明光是一种波;光电效应和康普顿效应又用无可辩驳的事实表明光是一种粒子;因此现代物理学认为:光具有波粒二象性。
(2)正确理解波粒二象性
波粒二象性中所说的波是一种概率波,对大量光子才有意义。波粒二象性中所说的粒子,是指其不连续性,是一份能量。
①个别光子的作用效果往往表现为粒子性;大量光子的作用效果往往表现为波动性。
②ν高的光子容易表现出粒子性;ν低的光子容易表现出波动性。
③光在传播过程中往往表现出波动性;在与物质发生作用时往往表现为粒子性。
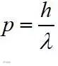
④由光子的能量E=hν,光子的动量表示式
也可以看出,光的波动性和粒子性并不矛盾:表示粒子性的粒子能量和动量的计算式中都含有表示波的特征的物理量——频率ν和波长λ。
由以上两式和波速公式c=λν还可以得出:E = pc。
声明:此文来源于网络,由七馨教育编辑整理发布,欢迎大家收藏及转发到朋友圈,本次转载重在分享,如涉及版权问题,请及时联系删除!
浮躁又迷茫,想逆袭却还忍不住玩?99%的人都这样,但只有1%的人知道要这样做!
高一散,高二懒,高三惨!成绩差的原因究竟是什么?期末前如何补救?
高三很累要放弃吗?同学关系怎么处理?来看,这20副漫画有答案
赞是一种鼓励 分享是最好的支持
放 到 你 的 朋 友 圈 里,朋 友 们 会 感 激 您


