
整体法和隔离法是两种对立的思维方法,但同时它们也是两种常用的解题方法。
一、整体法
所谓整体法就是指从整体的角度全面考虑问题的思维方法。
1、整合研究对象
例1
与一定浓度的
反应,生成
、
、
、NO和
,当
和NO的物质的量之比为1:1时,实际参加反应的
与
的物质的量之比为( )。
A. 1:7 B. 1:9 C. 1:5 D. 2:9
解析:在该反应中,还原产物有两个,因此配平起来很困难。如果根据题中的特殊条件“
和NO的物质的量之比为1:1”,将
和NO作为一个整体
进行配平,则比较简单。

配平得:
从化学方程式可以看出,实际参加反应的
与
的物质的量之比为
,正确答案是A。
2、整合化学过程
例2 某种CO和
的混合气体,其密度为相同条件下
密度的一半,将3.5g这种混合气体充入一盛有足量
的密闭容器里,再通入过量的
,用电火花点燃使其充分燃烧,最后容器中固体质量增加了( )。
A. 6.4g B. 4.4g C. 5.6g D. 3.5g
解析:整个过程中涉及的反应有:
将上述反应①和③、②和④加以合并,消去中间产物
后得:
,
。
从这两个化学方程式可以看出,固体增加的质量就等于CO和
的总质量,与氧气的质量无关,正确答案是D。
二、隔离法
所谓隔离法就是把研究对象分隔开来,分别加以考虑的思维方法。
1、隔离研究对象
例3
跟
在密闭容器中反应,当其达到平衡时,生成
。将平衡混合气体完全燃烧生成
和
,所需氧气的物质的量是( )。
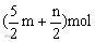
A.
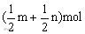
B. 
C.
D. 
解析:本题的常规解法是先求平衡混合气体的成分,然后分别计算各组分燃烧所需
的量,最后求和。这种解法非常繁琐,容易出错。我们可以利用反应过程中C、H元素守恒,将两者隔离开来,分别计算所需
的量。
、
中共含
和
,
完全燃烧需
的量为
;
完全燃烧需
的量为
,两者共需
的量为
,正确答案是D。
2、隔离化学过程
例4 在一定温度下,向足量的饱和
溶液中加入1.06g无水碳酸钠粉末,搅拌后静置,最终所得晶体的质量( )。
A. 等于1.06g B. 大于1.06g而小于2.86g
C. 等于2.86g D. 大于2.86g
解析:我们可以将整个结晶过程分为两个步骤:第一步,1.06g固体
全部转化为
晶体析出;第二步,由于析出的
晶体中带有结晶水,使饱和溶液中的水减少,又有一部分
晶体析出。通过计算,第一步析出的
晶体的质量为2.86g。由于第二步仍有一定量的
晶体析出,所以整个过程中析出的
晶体的质量肯定大于2.86g,正确答案是D。
声明:此文来源于网络,由七馨教育编辑整理发布,欢迎大家收藏及转发到朋友圈,本次转载重在分享,如涉及版权问题,请及时联系删除!
重磅! 19省高一高二开学时间确定! 下学期成绩将定型, 熬不过去毁前程!
衡中开学! 最后74天冲刺备考细节曝光! 成功就是沉下心去努力!
赞是一种鼓励 分享是最好的支持
放 到 你 的 朋 友 圈 里,朋 友 们 会 感 激 您


