
重/难点
重点:洛伦兹力在匀速圆周运动中的具体应用及与数学知识的结合。
难点:洛伦兹力在匀速圆周运动中的具体应用及与数学知识的结合。
重/难点分析
重点分析:带电粒子在磁场中的运动是高中物理的一个难点,也是高考的热点。在历年的高考试题中几乎年年都有这方面的考题。带电粒子在磁场中的运动问题,综合性较强,解这类问题既要用到物理中的洛仑兹力、圆周运动的知识,又要用到数学中的平面几何中的圆及解析几何知识。
难点分析:带电粒子在磁场中的运动问题是高考的难点和热点,特别是新的物理考试大纲将动量要求大幅度降低后,这类问题在高考中地位必将更为突出。由于带电粒子在电磁场中的运动受到多种因素的影响,往往会形成多解的情况,而学生在解题的过程中由于思维不缜密常常不能解答完整。教师在教学过程中,要引导学生对形成此类问题多解的原因进行总结和归类,要求学生在解答过程中参照这些原因一一分析。
突破策略
一、轨道圆的“三个确定”
(1)如何确定“圆心”
①由两点和两线确定圆心,画出带电粒子在匀强磁场中的运动轨迹。确定带电粒子运动轨迹上的两个特殊点(一般是射入和射出磁场时的两点),过这两点作带电粒子运动方向的垂线(这两垂线即为粒子在这两点所受洛伦兹力的方向),则两垂线的交点就是圆心。如图(a)

②若只已知过其中一个点的粒子运动方向,则除过已知运动方向的该点作垂线外,还要将这两点相连作弦,再作弦的中垂线,两垂线交点就是圆心。如图(b)
③若只已知一个点及运动方向,也知另外某时刻的速度方向,但不确定该速度方向所在的点,此时要将其中一速度的延长线与另一速度的反向延长线相交成一角(∠PAM),画出该角的角平分线,它与已知点的速度的垂线交于一点O,该点就是圆心。如图(c)。

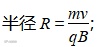
(2)如何确定“半径”
方法一:由物理方程求:
方法二:由几何方程求:一般由数学知识(勾股定理、三角函数等)计算来确定。
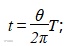
(3)如何确定“圆心角与时间”
①速度的偏向角φ=圆弧所对应的圆心角(回旋角)θ=2倍的弦切角α,如图(d)。
②时间的计算方法.
方法一:由圆心角求,
方法二:由弧长求,
二、带电粒子在磁场中做匀速圆周运动的分析方法

【例1】 如图,半径为R的圆是一圆柱形匀强磁场区域的横截面(纸面),磁感应强度大小为B,方向垂直于纸面向外,一电荷量为q(q>0)、质量为m的粒子沿平行于直径ab的方向射入磁场区域,射入点与ab的距离为
。已知粒子射出磁场与射入磁场时运动方向间的夹角为60°,则粒子的速率为(不计重力)( )。


解析:带电粒子从距离ab为
处射入磁场,且射出时与射入时速度方向的夹角为60°,粒子运动轨迹如图,ce为射入速度所在直线,d为射出点,射出速度反向延长交ce于f点,磁场区域圆心为O,带电粒子所做圆周运动圆心为O′,则O、f、O′在一条直线上,由几何关系得带电粒子所做圆周运动的轨迹半径为R,由
,解得
选项B正确。
【例2】 如图直线MN上方有磁感应强度为B的匀强磁场。正、负电子同时从同一点O以与MN成30°角的同样速度v射入磁场(电子质量为m,电荷为e),它们从磁场中射出时相距多远?射出的时间差是多少?

解析::由公式知,它们的半径和周期是相同的。只是偏转方向相反。先确定圆心,画出半径,由对称性知:射入、射出点和圆心恰好组成正三角形。所以两个射出点相距2r,由图还可看出,经历时间相差2T/3。答案为射出点相距
,时间差为
。关键是找圆心、找半径和用对称。
【例3】 一个质量为m电荷量为q的带电粒子从x轴上的P(a,0)点以速度v,沿与x正方向成60°的方向射入第一象限内的匀强磁场中,并恰好垂直于y轴射出第一象限。求匀强磁场的磁感应强度B和射出点的坐标。

解析:由射入、射出点的半径可找到圆心O/,并得出半径为
;射出点坐标为
。
【例4】如图所示,一个质量为m、电量为q的正离子,从A点正对着圆心
O以速度v射入半径为R的绝缘圆筒中。圆筒内存在垂直纸面向里的匀强磁场,磁感应强度的大小为B。要使带电粒子与圆筒内壁碰撞多次后仍从A点射出,求正离子在磁场中运动的时间t。设粒子与圆筒内壁碰撞时无能量和电量损失,不计粒子的重力。

解析:由于离子与圆筒内壁碰撞时无能量损失和电量损失,每次碰撞后离子的速度方向都沿半径方向指向圆心,并且离子运动的轨迹是对称的,如图所示。设粒子与圆筒内壁碰撞n次
,则每相邻两次碰撞点之间圆弧所对的圆心角为2π/(n+1)。由几何知识可知,离子运动的半径为

声明:此文来源于网络,由七馨教育编辑整理发布,欢迎大家收藏及转发到朋友圈,本次转载重在分享,如涉及版权问题,请及时联系删除!
延期开学,是否会让学生重新分层?对中考、高考学生有哪些影响?
教育厅通知: 下学期压缩周末和暑假, 补齐延迟开学耽误课时!
赞是一种鼓励 分享是最好的支持
放 到 你 的 朋 友 圈 里,朋 友 们 会 感 激 您



