一.知识要点





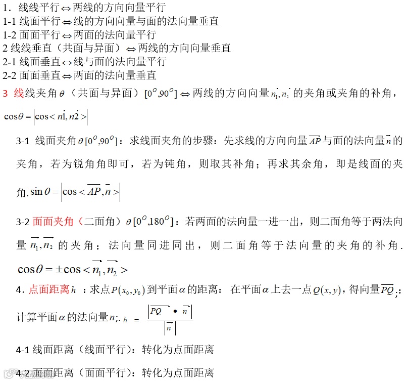
二.空间向量与立体几何

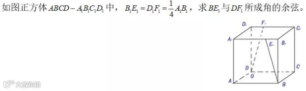
三.例题


声明:此文来源于网络,由七馨教育编辑整理发布,欢迎大家收藏及转发到朋友圈,本次转载重在分享,如涉及版权问题,请及时联系删除!
别因疫情影响你的高考!高考倒计时复习攻略来了!(附一位高三学生父亲给孩子的一封信)
赞是一种鼓励 分享是最好的支持
放 到 你 的 朋 友 圈 里,朋 友 们 会 感 激 您

长春漖育帮
一.知识要点





二.空间向量与立体几何

三.例题


声明:此文来源于网络,由七馨教育编辑整理发布,欢迎大家收藏及转发到朋友圈,本次转载重在分享,如涉及版权问题,请及时联系删除!
别因疫情影响你的高考!高考倒计时复习攻略来了!(附一位高三学生父亲给孩子的一封信)
赞是一种鼓励 分享是最好的支持
放 到 你 的 朋 友 圈 里,朋 友 们 会 感 激 您
