
01
公式推导

02
特点
洛伦兹力的方向与电荷运动方向和磁场方向都垂直,洛伦兹力只改变带电粒子的运动方向,不改变速度的大小,对电荷不做功。
03
洛伦兹力与安培力的关系
安培力是洛伦兹力的宏观表现,洛伦兹力是安培力的微观解释。
电流是带电粒子定向运动形成的,通电导线在磁场中受到磁场力(安培力)的作用,揭示了带电粒子在磁场中运动时要受磁场力作用的本质。
大小关系F安=NF洛。
式中的N是导体中的定向运动的电荷数。
04
洛伦兹力的方向
洛伦兹力的方向可用左手定则来判断:伸开左手,使大拇指与其余四指垂直,并且都与手掌在同一平面内;让磁感线垂直穿过手心,若四指指向正电荷运动的方向,则大拇指所指的方向就是正电荷所受的洛伦兹力的方向。若沿该方向运动的是负电荷,则它所受的洛伦兹力的方向与正电荷恰好相反。
1、我们只研究电荷的运动方向与磁场方向垂直的情况,由左手定则可知,洛伦兹力的方向既与磁场方向垂直,又与电荷的运动方向垂直,即洛伦兹力垂直于v和B两者所决定的平面。
2、由于洛伦兹力F总是跟运动电荷的速度方向垂直,所以洛伦兹力对运动电荷不做功,洛伦兹力只能改变电荷速度的方向,不能改变速度的大小。
例1:质量为m、带电荷量为q的小物块,从倾角为
的光滑绝缘斜面上由静止下滑,整个斜面置于方向水平向里的匀强磁场中,磁感应强度为B,如图所示.若带电小物块下滑后某时刻对斜面的作用力恰好为零,下面说法中正确的是( )

A.小物块一定带正电荷
B.小物块在斜面上运动时做匀加速直线运动
C.小物块在斜面上运动时做加速度增大,而速度也增大的变加速直线运动
D.小物块在斜面上下滑过程中,当小物块对斜面压力为零时的速率为
C
【解析】
试题分析:已知小物块下滑某时刻对斜面作用力恰好为零,由左手定则可知小物块带负电,A错误;对小物块下滑过程受力分析如图所示,
物块向下加速v增大,F洛也在增大,

例2:质量为m、电荷量为q的带正电小球,从倾角为θ的粗糙绝缘斜面(µ<tanθ)上由静止下滑,斜面足够长,整个斜面置于方向水平向外的匀强磁场中,其磁感强度为B,如图所示。带电小球运动过程中,下面说法中正确的是( )

A.小球在斜面上运动时做匀加速直线动
B. 小球在斜面上运动时做加速度增大,而速度也增大的变加速直线运动
C.小球最终在斜面上匀速运动
D.小球在斜面上下滑过程中,当小球对斜面压力刚好为零时的速率为
BD
【解析】C
据题意,小球运动过程中受到重力,支持力、摩擦力和垂直斜面向上的洛伦兹力,小球加速度为:
,小球做加速运动,则加速度也增加,故选项AC错误而选项B正确;
当小球对斜面压力为0时,有:
,速度为:
,故选项D正确。
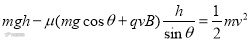
例3:如图所示,表面粗糙的斜面固定于地面上,并处于方向垂直纸面向里的匀强磁场B中。质量为m、带电量为+q的小滑块从斜面顶端由静止下滑。对滑块下滑的过程,下列判断正确的是( )

A.滑块受到的洛仑兹力方向垂直斜面向上
B.滑块受到的摩擦力大小不变
C.滑块一定不能到达斜面底端
D.滑块到达地面时的动能与B的大小有关
D
【解析】
据题意,滑块受到的洛伦兹力由左手定则可以确定为:垂直斜面向下,故选项A错误;
滑块受到的摩擦力为:
,速度变化则摩擦力也是变化的,故选项B错误;
如果重力做功大于摩擦力做功,滑块能达到斜面底端,故选项C错误;
据动能定理
可知选项D正确。
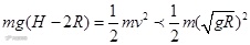
例4:如图,光滑半圆形轨道与光滑曲面轨道在B处平滑连接,前者置于水平向外的匀强磁场中,有一带正电小球从A静止释放,且能沿轨道前进,并恰能通过半圆形轨道最高点C.现若撤去磁场,使球从静止释放仍能恰好通过半圆形轨道最高点,则释放高度H′与原释放高度H的关系是( )

A.H′<H
B.H′=H
C.H′>H
D.无法确定
C
【解析】
有磁场时,设小球刚好通过最高点C时的速度为v,则小球在最高点有:
,显然
,
R为半圆形轨道半径,根据动能定理得
,
解得
.
没有磁场时,小球刚好通过最高点时的速度
,根据动能定理有:
,
,所以
,选项C正确.
每日一题解析
如图所示,带正电的物块A放在不带电的小车B上,开始时都静止,处于垂直纸面向里的匀强磁场中.t=0时加一个水平恒力F向右拉小车B,t=t1时A相对于B开始滑动.已知地面是光滑的.AB间粗糙,A带电量保持不变,小车足够长.从t=0开始A、B的速度-时间图象,下面哪个可能正确( )

A.
B.
C. 
D.
正确对物体进行受力分析,弄清运动过程中的物体加速度的变化是解本题的关键.分析时注意A所受洛伦兹力随着速度的增大逐渐增大,因此A与B之间的压力减小,最大静摩擦力减小,当A、B之间的静摩擦力不能提供A的加速度时,A、B发生相对运动,当A的重力等于洛伦兹力时,A恰好与B脱离,此后A匀速运动,B继续以更大的加速度匀加速运动.
【解析】
分三个阶段分析本题中A、B运动情况:
开始时A与B没有相对运动,因此一起匀加速运动.A所受洛伦兹力向上,随着速度的增加而增加,对A根据牛顿第二定律有:f=ma.即静摩擦力提供其加速度,随着向上洛伦兹力的增加,因此A与B之间的压力减小,最大静摩擦力减小,当A、B之间的最大静摩擦力都不能提供A的加速度时,此时AB将发生相对滑动.
当A、B发生发生相对滑动时,由于向上的洛伦兹力继续增加,因此A与B之间的滑动摩擦力减小,故A的加速度逐渐减小,B的加速度逐渐增大.
当A所受洛伦兹力等于其重力时,A与B恰好脱离,此时A将匀速运动,B将以更大的加速度匀加速运动.
综上分析结合v-t图象特点可知ABD错误,C正确.
故选C.
声明:此文来源于网络,由七馨教育编辑整理发布,欢迎大家收藏及转发到朋友圈,本次转载重在分享,如涉及版权问题,请及时联系删除!
资深班主任提醒:80%中学生错把这三种行为当努力!叫醒无数孩子和家长
赞是一种鼓励 分享是最好的支持
放 到 你 的 朋 友 圈 里,朋 友 们 会 感 激 您


