

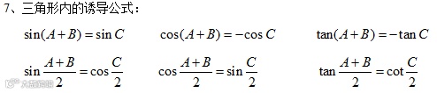
4、三角形的四心:
外心:外接圆圆心,三边中垂线的交点。
内心:内切圆圆心,三内角角平分线的交点。
垂心:三边高线的交点。
重心:三边中线的交点。


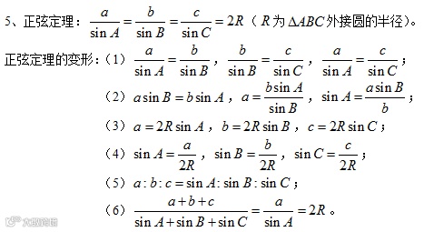
正弦定理的用途:(1)已知两角和任一边,求其他两边和一角;
(2)已知两边及其中一边的对角,求另一边和另两角;(此种情况一定要注意如何取舍角,利用内角和定理、边角关系进行取舍!)
(3)判断三角形的形状。(边化角或角化边)










声明:此文来源于网络,由七馨教育编辑整理发布,欢迎大家收藏及转发到朋友圈,本次转载重在分享,如涉及版权问题,请及时联系删除!
长大后重读《西游》才懂:孙猴子的眼泪,砸在凡人头上就是生活的洪水长大后重读《西游》才懂:孙猴子的眼泪,砸在凡人头上就是生活的洪水
高考差2分无缘清华,母亲不甘请求重查试卷,卷上11字让其清醒
赞是一种鼓励 分享是最好的支持
放 到 你 的 朋 友 圈 里,朋 友 们 会 感 激 您


