
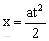
如图1所示,水平传送带以5m/s的恒定速度运动,传送带长s=7.5m,今在其左端A将一工件轻轻放在上面,工件被带动,传送到右端B,已知工件与传送带间的动摩擦因数
,试求:工件经多少时间由传送带左端A运动到右端B?(
)

图1
解析:工件被轻轻放在传送带左端,意味着工件对地初速度
,但由于传送带对地面以
向右匀速运动,所以工件相对传送带向左运动,故工件受水平向右的滑动摩擦力作用,即:
依牛顿第二定律,工件加速度
,a为一恒量,工件做初速度为零的匀加速直线运动,当工件速度等于传送带速度时,摩擦力消失,与传送带保持相对静止,一起向右做匀速运动,速度为
。
工件做匀加速运动的时间
,工件做匀加速运动的位移
由于
,所以工件1s后做匀速运动,匀速运动的时间

因此,工件从左端运动到右端的时间:
。
变一:若传送带长s=2.5m,则工件从左端A运动到右端B一直做匀加速运动,依
有:
。
变二:若工件以对地速度
滑上传送带,则工件相对传送带无运动趋势,工件与传送带间无摩擦力,所以工件做匀速运动,工件运动时间
。
变三:若工件以速度
滑上传送带,由于工件相对传送带向右运动,工件受滑动摩擦力水平向左,如图2所示。工件做匀减速运动,当工件速度等于传送带速度后,二者之间摩擦力消失,工件随传送带一起匀速运动。

图2
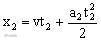
工件做匀减速运动时间
工件做匀减速运动的位移
工件做匀速运动的时间
所以工件由左端A到右端B的时间
。
变四:若工件以
速度滑上传送带,由于
,工件先匀加速运动,后匀速运动。
工件匀加速运动的时间
工件做匀加速运动的位移
工件做匀速运动的时间
所以工件由左端A到右端B的时间
。
变五:本题若传送带与水平面间倾角
,如图3所示,其他条件不变,那么工件由A滑到B时间为多少呢?

图3
首先应比较动摩擦因数
与
的大小,由于
,所以
,即
,故工件一定沿传送带相对地向下滑。当工件刚放在左端A时,工件相对传送带向上运动,工件受的滑动摩擦力沿传送带向下,工件做匀加速运动的加速度

即
工件与传送带速度相等的时间
在0.5s内工件的位移

随后,工件不会像传送带水平放置那样,工件与传送带一起匀速运动,而是沿传送带向下滑动,当工件速度超过传送带速度时,工件所受滑动摩擦力沿传送带斜面向上,如图4所示,工件的加速度

图4

即
工件以
加速度运行的位移

设这段位移所需时间为
,依
有

(舍去)
故工件由A到B的时间
。
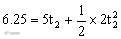
变六:当传送带以5m/s速度向上运动时,如图5所示,工件相对传送带向下运动,所以工件所受滑动摩擦力方向始终沿传送带向上,工件一直向下匀加速运动,工件的加速度

图5

依
,有
故工件由A到B的时间
。
变七:本题若求工件在传送带上滑过的痕迹长L是多少?
由题意可知:痕迹长等于工件相对传送带滑过的距离。
依几何关系:痕迹长L=传送带对地的距离x-工件对地的距离
x——工件匀加速运动的时间内传送带匀速运动的位移
——工件匀加速运动的位移
即
声明:此文来源于网络,由七馨教育编辑整理发布,欢迎大家收藏及转发到朋友圈,本次转载重在分享,如涉及版权问题,请及时联系删除!
赞是一种鼓励 分享是最好的支持
放 到 你 的 朋 友 圈 里,朋 友 们 会 感 激 您


