
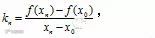
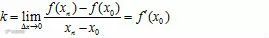
处的瞬时变化率是
趋近于P时,直线 PT 与曲线相切。容易知道,割线的斜率是
趋近于 P 时,函数y=f(x)在x=
处的导数就是切线PT的斜率k,即
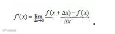
便是x的一个函数,我们称它为f(x)的导函数. y=f(x)的导函数有时也记作
,即
>0,那么函数y=f(x)在这个区间单调递增;
<0,那么函数y=f(x)在这个区间单调递减;
附近的左侧
>0 ,右侧
<0,那么
是极大值;
<0 ,右侧
>0,那么
是极小值;
)时成立,这是递推的基础;
,且n∈N)结论都成立。
,当
时取得极大值,当
时取得极小值,求点
对应的区域的面积以及
的取值范围.
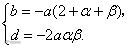
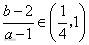
的线性不等关系,点
所对应的区域.第(2)问利用斜率求出
的取值范围.
的导数为
,当
时取得极大值,当
时取得极小值,则方程
有两个根,一个根在区间
内,另一个根在区间(1,2)内.
的图象与方程
的根的分布之间的关系可以得到
平面内满足约束条件的点
所对应的区域为
(不包括边界,其中点
,
,
如右图所示).
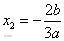
的面积为
(
为点
到
轴的距离)
与点
连线的斜率为
,显然
,即
.
是定义在
上的函数,其图象交
轴于
三点.若点
的坐标为
,且
在
和
上有相同的单调性,在
和
上有相反的单调性.
的值;
的图象上是否存在一点
,使得
在点
的切线斜率为
?
的取值范围.
在
和
上有相反的单调性,
是
的一个极值点.
,即
有一个解为
,
.
交
轴于点
,所以
,即
.
,得
,
,
.
在
和
上有相反的单调性,
,
.
,使得
在点
的切线斜率为
.
,
.
.
,
.
,使得
在点
的切线斜率为
.
的函数图象交
轴于点
的坐标为
、点
的坐标为
.
,
.得
.
,
,
,
,∴当
时,
;当
时,
.故
.
的值,大大简化了运算.运用整体思想解题是不是很巧妙?这种整体思想在其它知识板块中都有广泛的应用,在以后的学习中可要留心哟.
,求
的单调区间.
的导数
.
时,若
,则
;若
,则
.
在
内为减函数,在
内为增函数.
时,由
或
,
在
或
内为增函数,在
内为减函数.
时,由
,
在
内为增函数,在
和
内为减函数.
函数为增函数,
函数为减函数.但要确定
的符号,须对参数进行分类讨论.
,
.
的最大值.
,证明:
.
的定义域是
,则
.
时,
;
时,
.
,则当且仅当
时,
取最大值0.
,设
.
.
时,
,
在
内为减函数;
时,
,
在
内为增函数.
时,
有极小值
.
,
,
,即
.
,
,
时,
,
在
上为减函数.
,
,所以
,
.












声明:此文来源于网络,由七馨教育编辑整理发布,欢迎大家收藏及转发到朋友圈,本次转载重在分享,如涉及版权问题,请及时联系删除!
如果孩子不想读书,请和他看这部片:没有选择的人生到底有多可怕
家庭教育才是关键的关键!他的这10点教育心得,关乎孩子的未来……
老师处罚被撤销!央视、人民日报发声:跪着的老师,教不出站着的学生!
赞是一种鼓励 分享是最好的支持
放 到 你 的 朋 友 圈 里,朋 友 们 会 感 激 您


