天气小贴士
2021/2/19星期五
多云 4℃/-9℃
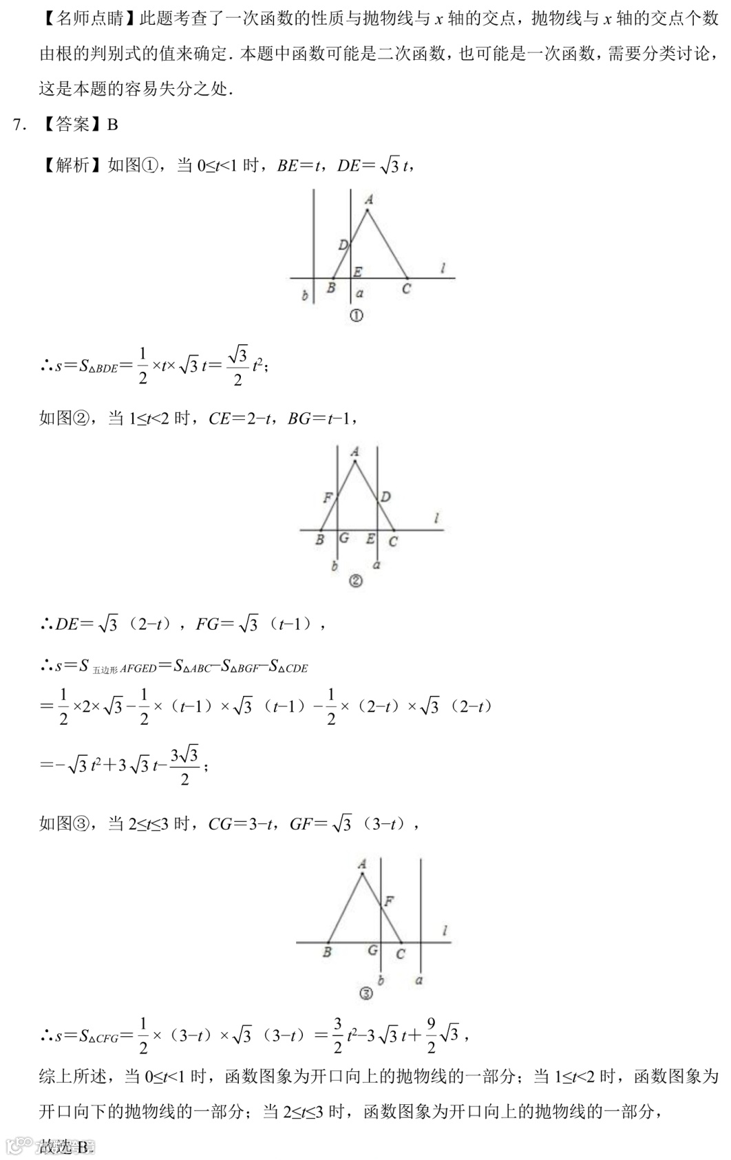
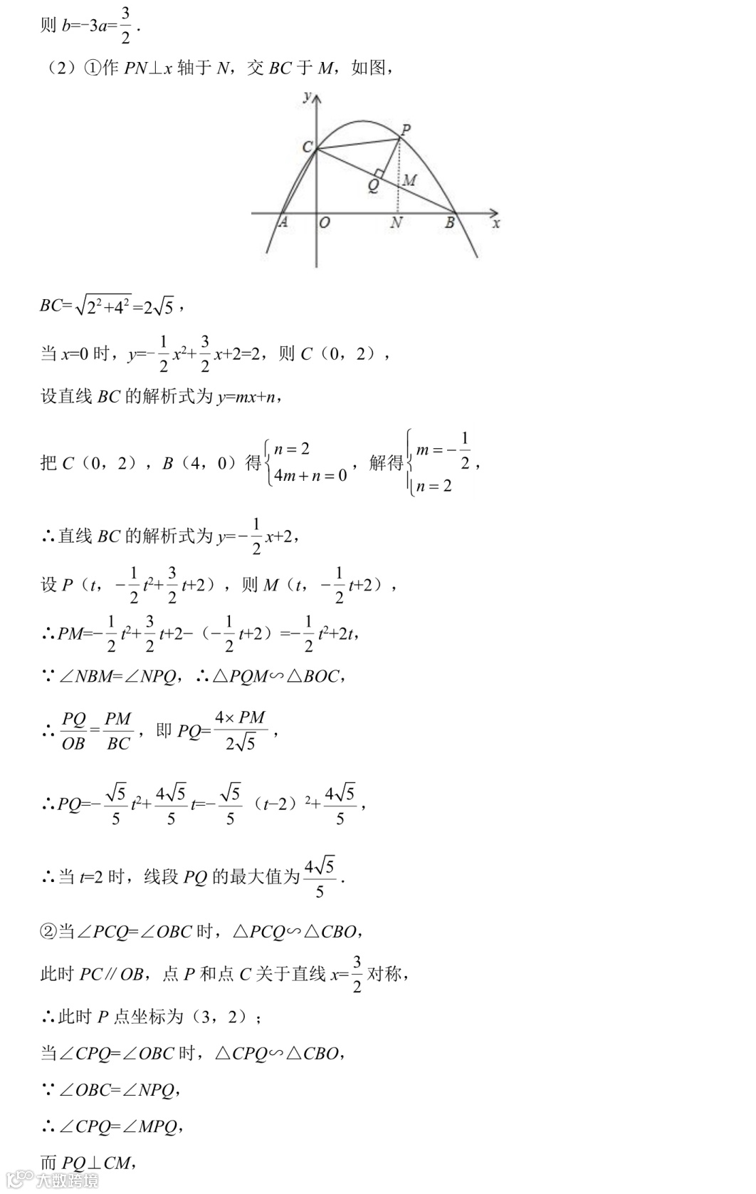
今天小编老师给大家整理了中考最难的【二次函数】,看这一篇足够了!























长春市二批次民办高中详细介绍,附学费!
牛气冲天!长春部分高中新春贺词曝光!
从名不见经传,一跃成为“师大系”中考“黑马”!这所学校开挂……
爆冷!“挤破头”都想去省二,竟然空余近百学位!中考成绩曝光,仨校区都咋招生?
视频号直播首秀温暖来袭,这场直播收获2万点赞
惊艳了!寒假学霸是咋偷着学的?附师大附中各科老师放出“碾压”攻略
加周老师
了解更多中考报考相关问题
长按识别码联系我们
加周老师
长按识别码联系我们
备注“家长进群” 帮帮带您进2021中考报考专家指导群
在看 点这里呦


