一、牛顿第二定律的内容和表达式
1. 内容:物体的加速度跟所受的合外力成正比,跟物体的质量成反比,且加速度的方向与合外力的方向相同。
2. 表达式:
二、牛顿第二定律的理解
1. 瞬时性:牛顿第二定律是力的瞬时作用规律,力和加速度同时存在、同时变化、同时消失。
2. 矢量性:F=ma是一个矢量表达式,加速度a和合外力F的方向始终保持一致。
3. 独立性:物体受几个外力作用,在一个外力作用下产生的加速度只与此外力有关,与其他力无关,合加速度和合外力有关。
4. 同一性:加速度和合外力对应于同一研究物体,即F、a、m针对同一对象。
三、牛顿第二定律的适用范围
牛顿运动定律只适用于解决宏观物体的低速运动问题,它是经典力学的基础。所以作为其中之一的牛顿第二定律也同样如此,只在惯性系中才成立。
四、牛顿第二定律的常规应用
利用牛顿第二定律有利于解决两类问题:
1. 根据物体的受力情况判断物体的运动情况;
2. 根据物体的运动情况判断物体的受力情况。
五、牛顿第二定律的正交分解
当物体在不同方向上同时受到三个以上的力的作用,或者加速度方向与任何一个力都不在同一直线上时,直接利用牛顿第二定律往往较为复杂。此时,可以对牛顿第二定律进行正交分解,其正交分解表示为:
。
对牛顿第二定律进行正交分解,在建立直角坐标系时,通常可以分为以下两种情况。
1. 分解力而不分解加速度
例1. 如图1所示,质量为m的物体在倾角为的斜面上,物体与斜面间的动摩擦因数为,如沿水平方向加一个力F,使物体以加速度a沿斜面向上做匀加速直线运动,则F的大小是多少?

图1
解析:物体受到四个力的作用:推力F、重力mg、弹力N和摩擦力f,如图2所示。

图2
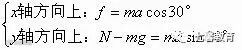
以沿斜面向上为x轴正方向建立直角坐标系,分解F和mg,则有x轴方向上
:y轴方向上
:又
解得
2. 分解加速度而不分解力
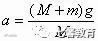
例2. 如图3所示,电梯与水平面的夹角为30°,当电梯向上运动时,人对电梯的压力是其重力的
倍,则人与电梯间的摩擦力是重力的多少倍?

图3
解析:人在电梯上受到三个力的作用:重力mg、支持力N、摩擦力f,如图4所示,以水平向右为x轴正方向建立直角坐标系,分解加速度如图5所示,并根据牛顿第二定律列方程有

图4

图5

解得
在利用牛顿运动定律进行正交分解时,究竟是分解力还是分解加速度,要灵活掌握。为了解题方便,应尽可能减少矢量的分解。通常是分解力而不分解加速度,只有在加速度和几个力既不在一条直线上又不垂直的时候才分解加速度而不分解力。
六、牛顿第二定律的整体应用
牛顿第二定律的整体应用就是对一个系统应用牛顿第二定律,当系统内的几个物体具有不同的加速度时,牛顿第二定律的表达式为
。例3. 一根质量为M的木棒,上端用细绳系在天花板上,棒上有一只质量为m的猴子,如图6所示,如果将细绳剪断,猴子沿木棒向上爬,但仍保持与地面间的高度不变。求这时木棒下落的加速度。

图6
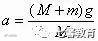
解法一(常规解法--隔离法):猴子和木棒的受力情况如图7所示,猴子相对地面的高度不变、保持静止,即受力平衡,木棒具有加速度,根据牛顿第二定律有

图7
猴子:
木棒:
由牛顿第三定律得
解得木棒的加速度为
,方向竖直向下。
解法二(整体法):把猴子和木棒看成一个整体,受力情况如图8所示,在这个整体中猴子受力平衡,木棒具有加速度,根据牛顿第二定律有

图8
解得木棒的加速度为
,方向竖直向下。通过比较可以看到,灵活的应用整体法,有时会比采用隔离法更加简单、方便。
七、利用牛顿第二定律解决物体的瞬时加速度问题例4. 如图9所示,天花板上用细绳吊起两个用轻弹簧相连的质量相同的小球A、B。两个小球均保持静止。当突然剪断细绳时,小球A与小球B的加速度分别是多少?

图9
解析:分别以A、B为研究对象,做剪断前和刚剪断时的受力分析如图10所示。剪断前A、B静止,A球受拉力F、重力mg和弹力F”三个力作用;B球受弹力F”和重力mg两个力,根据受力平衡有

图10
A球:
B球:
解得
刚剪断时,绳子的拉力立即消失,弹簧由于在剪断瞬间还来不及发生变化而保持不变,A球受重力mg、弹力F”两个力,B球受力情况保持不变。根据牛顿第二定律有A球:
B球:
解得
(方向竖直向下),
。
赞是一种鼓励 分享是最好的支持
放 到 你 的 朋 友 圈 里 朋 友 们 会 感 激 您


