用函数图象解题时作图不准
经典例题:

注意:


练一练:

参考答案:

练一练:

参考答案:

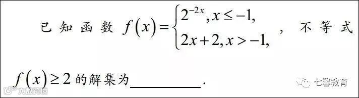
忽视分段函数各段的取值范围
经典例题:


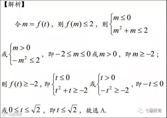
注意:


练一练:

参考答案:

练一练:

参考答案:

分段函数单调性问题,
忽略分界点函数值的比较
经典例题:

注意:


练一练:

参考答案:

误解“函数的零点”意义
经典例题:

注意:

参考答案:

函数零点定理使用不当
经典例题:

注意:


练一练:

参考答案:

声明:此文来源于网络,由七馨教育编辑整理发布,欢迎大家收藏及转发到朋友圈,本次转载重在分享,如涉及版权问题,请及时联系删除!
赞是一种鼓励 分享是最好的支持
放 到 你 的 朋 友 圈 里 朋 友 们 会 感 激 您


