
2021年全国乙卷理科数学通用省份:河南、山西、江西、安徽、甘肃、青海、内蒙古、黑龙江、吉林、宁夏、新疆、陕西
声明:此文来源于网络,由七馨教育编辑整理发布,欢迎大家收藏及转发到朋友圈,本次转载重在分享,如涉及版权问题,请及时联系删除!
赞是一种鼓励 分享是最好的支持
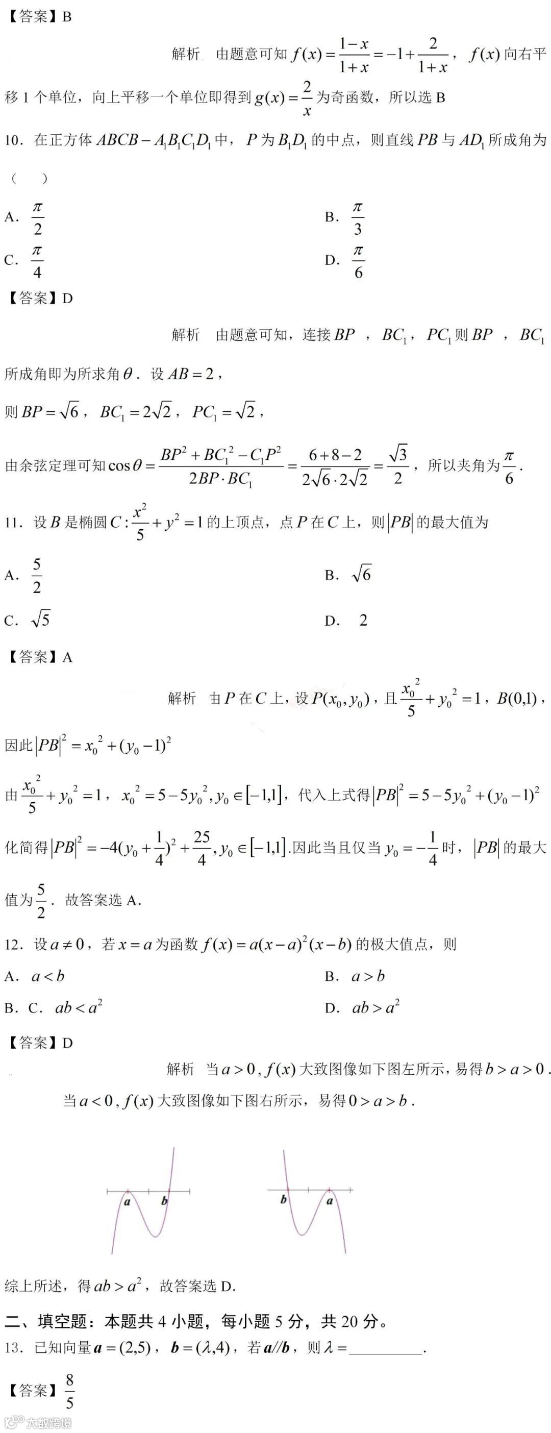
放 到 你 的 朋 友 圈 里 朋 友 们 会 感 激 您

