




























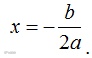
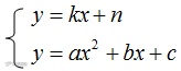
一元二次方程




二次函数

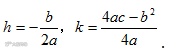
,故:
(即a、b同号)时,对称轴在y轴左侧;
(即a、b异号)时,对称轴在y轴右侧.

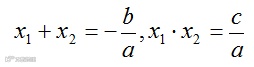
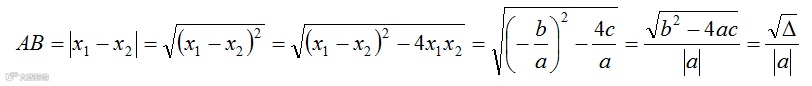
的解的数目来确定:




知识点梳理:













忒优秀!2021年高三学生100%考入本科,长春这所高中低调了!
教育部新通知,3+1+2新高考再做改变?影响2021届高一新生!
千人军体拳、校长教官军事大比拼……哪所学校最燃?长春各高中军训完美收官!
重要数据曝光!省内多所热门高中本科率大起底!
这所高中“高三”宣战!现场公布今年高考数据!
长春中小学开学第一天,除了堵车,还有一个“爆雷”……
取消分班考试、报到、军训……长春高中开学最新一波操作来啦!
开学有变化!长春部分高中开学取消登校,或转成线上上课!
完整版!长春市各高中最近五年录取分数线来了!部分高中已开学或军训!
加魏老师
了解更多中考报考相关问题
长按识别码联系我们
加魏老师
长按识别码联系我们

