
1、将军饮马模型(对称点模型)


2、利用三角形两边差求最值


3、手拉手全等取最值


4、手拉手相似取最值



5、平移构造平行四边形求最小



6、两点对称勺子型连接两端求最小


7、两点对称折线连两端求最小


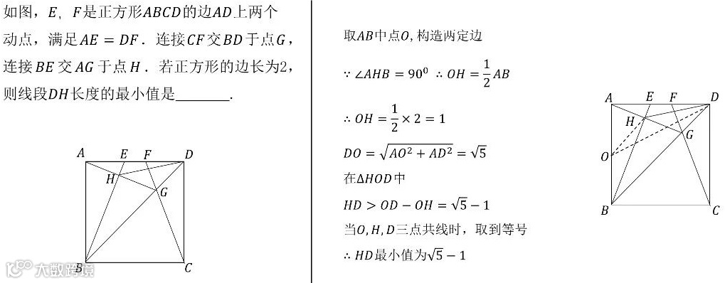
8、时钟模型,中点两定边求最小值



9、时钟模型,相似两定边求最小值


10、转化构造两定边求最值

11、面积转化法求最值


12、相似转化法求最值

13、相似系数化一法求最值

14、三角函数化一求最值

15、轨迹最值

16、三动点的垂直三角形

17、旋转最值

18、隐圆最值-定角动弦

19、隐圆最值-动角定弦

动点最值类典型题练习











2022中考将有大变化!明年升学的孩子有多难?
小提琴、长笛、萨克斯……孩子有这些特长,中考可降分录取!
为啥要在学校吃饭?看看长春各高中食堂“必点菜”都有啥!
长春“藏着”这些高中,历史超过半个世纪!
我省普通高中综合素质评价实施办法公布!从2021年新高一开始实施!
“十一”假期后,长春高一、高二迎来月考,“牛”校高考录取数据曝光!详情点击进入……
长春这两所高中“高手过招”!一个是公木、吴伯箫牵头办学,一个请杨振宁来讲学……
官宣!全国高考这类招生政策将有重大变化!不同专业将实施分类录取
加魏老师
了解更多中考报考相关问题
长按识别码联系我们
加魏老师
长按识别码联系我们

