
初中物理可分为:声、光、热、电、力五大部分,每一部分都有关键性的概念、规律、实验原理、具体应用。很多知识点的出现看似凌乱,同学们对各个物理量和综合性、对比性较强的章节常常觉得复杂,而且同一种概括方式不能完美地梳理各个知识点。这就需要我们根据不同内容,寻找不同的学习方式。
今天给大家分享的就是几种较有普遍适用性的知识网络构建方法。
电学中出现的基本物理量较多,有电压、电流、电阻、电能、电功率,它们的定义、表示字母、单位、公式、部分测量工具等等。概念一多,同学们在整体把握上就出现混乱,甚至望而却步。对于这种情况,通过列图表的方式囊括所有概念是相当有效的。
举例如下,在自行学习完课本知识后,可以列出表格进行归类:

在此过程中,就会对这些基本概念有整体的认识,而且条理清晰,在填写表格的过程中把知识点重新理清了一边。
类似这种必要将概念进行列图表对比的内容还有很多,例如:光的三种传播(直线、反射、折射);六种物态变化过程;三力(重力、弹力、摩擦力);三能(动能、势能、内能)等等。
这种方法在计算题中应用得较多,对于某些概念的计算,它出现的具体情景很多,这时有必要针对不同情景的题目进行分类比较,找出每一种情景的一般规律。
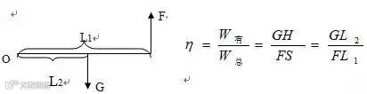
例如求“机械效率”的题型中,可以分类四种物理模型:
1.“桶装沙”子模型
当然,这里的“桶”只是一个代表,它可以是用来装物体的任何东西以及附加的某些工具,如绳子(常忽略不计)。而“沙子”代表为达到目的必须要拉动的物体,在这个情景中,对“桶”所做的功是额外功,对“沙子”所做的功是有用功,它们所用的力不同,而桶和沙子所经过的路程必然是相同的,所以求解机械效率的公式可以简化为:

2.“杠杆”模型
在拉动物体时,有时要利用杠杆,此时拉动物体所做的功是有用功,实际施加在杠杆上的力所做的功是总功,简化问题的关键在于:这两个力相应的做功距离之比等于这两个力的作用点到支点的距离之比,也等于它们沿着杆到支点的距离之比。如图所示:

3.“滑轮”模型
这类题型的简化关键在于找出动滑轮上绳子的段数,因为它决定了公式中H与S的倍数关系,假设动滑轮上有n段绳子,
(1)若滑轮是竖放的,G为挂钩上被拉物体的重量。

(2)若滑轮是横放的,f表示挂钩上物理需要克服的摩擦力,F表示绳子自由端实际所用的力,那么公式就可以简化为:

4. “斜面”模型:

这种模型求机械效率比较简单,可以直接套公式:

这些模型归纳,都需要自己在做题的过程中归纳总结、比较,才能达到相应的效果。
其它可以用构建模型方法的知识点还有很多,比如密度的测量,可以构建成两种常见的模型:“不规则形状固体的密度”和“液体的密度”;
有些知识点之间存在较强的对比性,同学们分别学习这些内容的时候可能困难都不会太大,但是一旦学到后面就会把前面的知识点混淆在一起,比如说电动机和发电机的对比,应该充分比较它们各个方面的区别,包括原理、作用(能量转化)、实验装置、应用等等。现将它们区别如下:

还有光学中照相机、投影仪、放大镜的对比也很有代表性:

电路图看起来纵横交错同学们往往会感到无从下手。在初中阶段,电学的物理概念、定律及相应的计算公式是最多的。为了突出各知识点的联系,帮助大家突破难点。在对电学进行全面的知识归纳的基础上,分为5个专题来进行学习。在电学中按各知识点的联系,可分为五个专题。
1.分析电路: 电路图是电学的重要内容。许多电学题往往一开头就有一句“如图所示的电路中”如果把电路图辨认错了,电路中的电流强度、电压、电阻等物理量的计算也随之而错,造成“全军覆没”的局面。所以分析电路是学好电学的第一步。
2.欧姆定律的运用:欧姆定律是初中电学计算的核心。它揭示了电学三个最重要的物理量:电流、电压、电阻之间的关系。
3.电功、电功率、焦耳定律公式的运用:初中生在学完欧姆定律时,还觉得电学不是很难。因只需一个公式或它的变形就可以解决问题。但学到电功(W=UIt)、电功率(P=UI)和焦耳定律(Q=I2Rt,2为平方)时,对于这三个十分接近而又联系紧密的概念,容易混淆。有同学反映,这部分内容的大小公式加起来共有十几个,经常会用错公式。学好电学,突破电学的难点,关键在于灵活运用这十几个公式。
4.电路变化:不少同学反映“变化的电路难,不只从何下手”。这是因为分析变化的电路涉及的内容广,考虑问题深。对电阻、电流强度、电压及电功率相互关系的分析,稍有不慎就会造成连错反应,得出错误的结论。电路的变化,关键是分析电阻的变化。分析电路变化的方法一般可分为四步:
(1) 从变化电阻人手。
(2) 由串并联电路的特点,看电阻的变化情况。
(3)由总电压(电源电压)不变,得出总电流的变化情况。
(4)根据电路特点以及题意,判断部分电路电流电压电功率的变化。
物理是一门注重应用的学科,特别是初中物理,几乎对于每一个知识点都强调实际应用,对实例分析有一定的要求,而部分知识点的实例分析特别多,容易混淆,不如说物态变化和光的传播这些章节,对于这些内容,进行实例归类是非常必要而有效的。
比如说,很多同学常常对“水”的各种物态变化区分不了,可以把它进行状态分类:
水:
固态:冰、雪、冰雹、霜;
液态:雾、露、雨、云、“白气”;
气态:水蒸气等等。
还有光的传播这一章,可以将光的具体实例进行归类为:
光的传播:
光的直线传播:日食、月食、小孔成像、影子;
光的反射(平面镜成像):湖中倒影、照镜子、自行车尾灯;
光的折射:钢笔错位、水中筷子弯折、池底看起来比实际浅等等。
初中物理知识看似比较零散,我们只有在学习时根据不同内容制定相应的知识网络,才能更加有效地把握整体内容。

取消分班考试、报到、军训……长春高中开学最新一波操作来啦!
开学有变化!长春部分高中开学取消登校,或转成线上上课!
完整版!长春市各高中最近五年录取分数线来了!部分高中已开学或军训!
今早官宣!长春市关于全市中小学校秋季开学下发通知,具体要求……
长春这些高中分班考试时间及细节曝光!最早15日开考!
班车来啦!长春41所高中,这些学校有班车!
延期!长春这些高中军训及开学时间有变化!
中考拼入师大附中,这些学生都来自这些初中!学校排名曝光!
看了吴亦凡的原生家庭,人们终于明白,“爱太满”的母亲多害人!
加魏老师
了解更多中考报考相关问题
长按识别码联系我们
加魏老师
长按识别码联系我们

