
详细聊聊新高考赋分的那些事~
关于新高考,考生们自然有很多担忧的问题,其中问题最多的当然要属“赋分制”了,毕竟这将直接关系到自己的高考成绩,原本学生可以考600分,赋分完之后变成了590分,学生心中肯定会有失落感。

其实“赋分制”的出现主要是因为新高考出现了“不分文理”的特点,学生能够选择的组合很多,但每一科的难度大不相同,采用赋分制,可以提升高考的公平性。
当取消了文理分科之后,赋分制的最大优势在于平衡了政治、生物、化学和地理这四门科目之前存在的难度差异。
赋分制能够让选择不同组合的考生在较公平的环境下竞争。

辽宁、重庆、河北、湖北、湖南、江苏、福建、广东第三批实行新高考的省份以及第四批甘肃、黑龙江、吉林、安徽、江西、贵州、广西七个省份统一采用五等级赋分制。
等级分是按统一规则,由原始分进行等级划定后,再由等级转换而来的分数。对于某一再选科目,考生该科目的合格性考试成绩达到合格后,转换时赋分起点为 30 分,满分为 100 分。
1.等级赋分制不是按照考生的卷面分数来计算成绩。遵循“原始分数——百分比例——等级——转化分数”的等级赋分路径。
2.等级赋分由相关主管部门自动完成,大家在查询到自己的高考成绩时,看到的已经是赋分后的分数,不需要大家自行换算。
按照考生原始分从高到低划定 A、B、C、D、E 共五个等级,各等级人数所占比例每省各不同。
将A至E五个等级内的考生原始分,依照等比例转换法则,分别对应转换到100~86、85~71、70~56、55~41和40~30五个分数段,从而将考生的等级转换成了等级分。

“3”:语文、数学、外语3科满分均为150分,总分450分,各科均以原始成绩计入考生总成绩;
“1”:物理或历史必选一科,满分为100分,以原始成绩计入考生总成绩;
“2”:政治、地理、化学、生物任选2科,每科满分均为100分,以等级赋分成绩计入考生总成绩。
也就是说,涉及到“等级转换赋分”的科目,是政治、地理、化学、生物4门,根据考生在该等级中的具体位置,在相应的赋分区间内进行线性插值计算,得出最终的赋分成绩,也就是高考成绩。
这听起来有点复杂,但是简单理解就是,你的排名比卷面分更重要,排名决定了你所在的赋分等级。


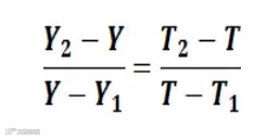
其中:
Y1、Y2分别表示原始分区间的下限和上限;
T1、T2分别表示转换分区间的下限和上限;
Y表示原始分;T表示转换分。
考虑到高考分数都以整数呈现,故上述公式的计算结果需要进行“四舍五入”处理。
假设小桥同学政治学科原始分为75分,再假设政治学科B等级原始分区间为【82~61】,则小桥同学政治学科为B等级。
下面进行赋分换算:
B等级的赋分区间【85~71】(固定不变),那么小桥同学赋分后分数为:

解得,T≈80.33;四舍五入后小桥同学政治学科最终赋分成绩为80。

在选择高考科目时,不能仅仅考虑自己对某个学科的喜好或者当前的成绩,还要考虑该学科的选考人数和竞争情况。如果一个学科选考人数过多且高手云集,即使你的原始成绩不错,在赋分后可能也得不到高分。相反,相对小众但自己有优势的学科,可能会在赋分中获得更高的分数。

我们知道,赋分制下排名很关键,所以在考试中要更加注重发挥出自己的水平,争取在同选考群体中脱颖而出。
每次考试都要当作是一次模拟赋分的机会。不要因为一次考试的原始成绩不理想而过度沮丧,只要你的排名在选考群体中有优势,赋分后成绩可能依然不错哦~
同时,在考试中也要注意策略。对于一些有难度梯度的题目,要合理分配时间,尽量保证会做的题目不失分,争取在难题上多得分,来提高自己的排名。

高考公布的分数为赋分之后的分数。
赋分和选考人数有关吗?
选考人数越多越容易被赋分?
考虑赋分因素要重点注意以下几类情况︰
1.学霸选考越集中,成为炮灰的可能性越大;
2.试题难易程度:试题难度越高,学霸区的炮灰就会越多。试题越难,学霸越容易和其他人拉开差距,考上名校。
赋分模式下,选择人数越多,赋分结果就越趋于合理,选择人数越少,偶然性就会越大。总而言之,赋分制度下不仅要求考生考虑自身的成绩,还要考虑本省其他竞争者的成绩。
新高考改革选择等级赋分制,赋分主要看排名,考生排名在前1%,基本上都可以被赋予满分。
新高考改革采取赋分制,最高100分,最低30分,如果考生交白卷,实际卷面成绩0分,选科目成绩被排到E等级。那么在等级赋分后,任选科目每科最少也有30分会被计入总成绩,两门任选科目即60分。
赋分的高低主要受考生排名的影响,选考人数越多,赋分结果就越趋于合理,选择人数越少,偶然性就会越大,冷门学科选考的人数可能较少,但是能不能被赋予高分还是看考生的实际排名,是否有优势无法准确衡量。

总之,新高考赋分制虽然给我们带来了新的挑战,但只要我们充分了解它,合理选科,认真备考,调整心态,就一定能在高考中发挥出自己的最佳水平,向理想大学迈进。


注:家长可点开图片后扫描


