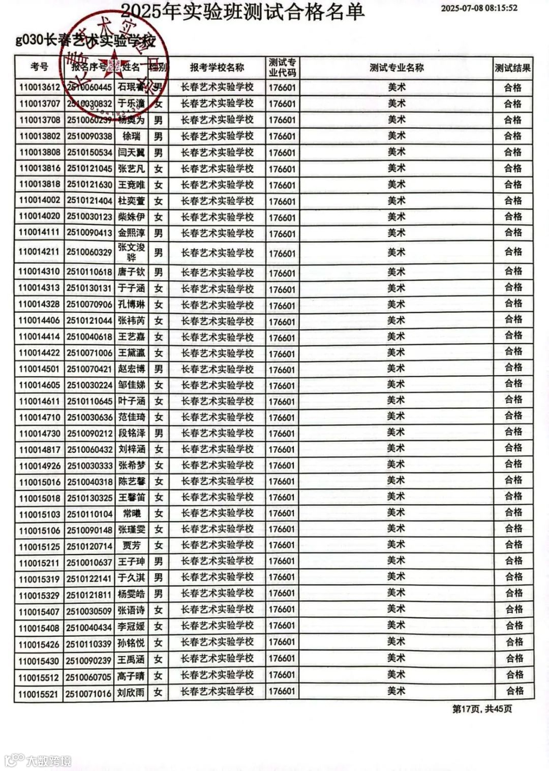
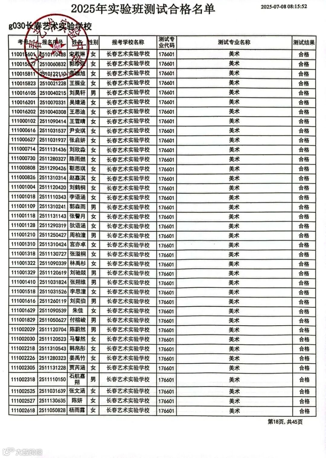
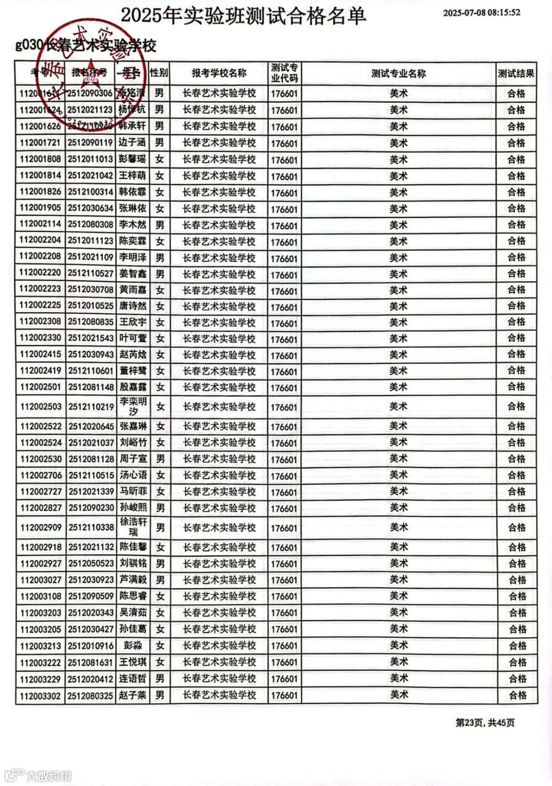
长春各高中实验班和自主招生加试名单陆续公示,帮帮给大家搜集了几所高中的加试合格名单,快来看看你“上榜”了吗?
点击下方名片关注【长春教育帮】
7月12日即可查询中考成绩
↓微信长按识别二维码查询艺术加试成绩↓













































↓微信长按识别二维码查询艺术加试成绩↓
注:家长可点开图片后扫描

