作者:王 帅 赵 琳 韩雨哲 孙永欣 任同军
牙鲆鱼为暖温性底层鱼类,多在中国、日本等北太平洋沿岸水域活动,不仅是我国重要的渔业对象,也是优秀的增养殖品种[1]。牙鲆鱼体呈长椭圆形、扁平,尾柄短而高。有眼侧栉鳞、无眼侧圆鳞,侧线在前部有颞上分枝,在胸鳍上方有弯曲。腹鳍基底均短,且左右近对称。有眼侧褐色,有暗色斑点,无眼侧为白色[2]。在产卵和索饵时期,牙鲆鱼有季节性的向浅水或深水处移动的习性,其回游性小,回归性强,由于其移动范围有一定界限,所以在不同范围会有不同的群体[3]。
益生菌具有多种功能,包括调节体内微生态的平衡、促进机体的生长和防御病害等,多是利用对生物体内或者外界环境有益的微生物菌株制作而成[4]。不同种类的益生菌对机体的作用机制不同,复合益生菌通常由2种或2种以上的益生菌复合制成,达到彼此作用互补或增强的效果[5-6]。因此市场上存在的微生态制剂多是复合益生菌制剂[7]。肠球菌是一种重要的乳酸菌,它参与宿主的多种生理功能,具有很重要的微生态学意义。益生肠球菌自身及其代谢产物可以协调菌群之间的关系,维持优势菌群的稳定和平衡,还可作为非特异性免疫调节因子,增强非特异性免疫能力,从而提高机体抵抗病原菌的能力[8]。有研究表明,由肠球菌组成的益生菌可以降低饲养对象的死亡率,提高增重率等,且由肠球菌代谢产生的物质具有提高机体免疫力、抑制病原菌等显著功效[9]。本文通过研究饲料中添加不同剂量复合益生菌(主要成分为肠球菌)对牙鲆的生长性能和非特异性免疫能力的影响,探究复合益生菌制剂的促进效果及其在饲料中的适宜添加量,为其在生产中应用提供依据。
1
材料与方法
1.1 试验饲料
本试验所用复合益生菌由大连百安泰生物科技有限公司提供,经热灭活后的菌粉,在上海派诺森生物科技股份有限公司进行16S rDNA鉴定,该复合益生菌主要含有Enterococcus、Clostridium-sensu-stricto-18、Paraclostridium,其相对丰度分别为0.253、0.202、0.19。
试验饲料以鱼粉、豆粕、小麦粉、鱼油、大豆油、大豆卵磷脂、预混料、磷酸二氢钙、氯化胆碱和微晶纤维素为主要原料,将其混合均匀制成基础饲料(T0组),处理组饲料在基础饲料中添加复合益生菌粉,T1、T2、T3组的复合益生菌的添加量分别是饲料重量的0.5%、1.0%、1.5%。具体饲料配方见表1。将混合均匀的饲料成分放入制粒机(东南干燥设备有限公司,XL-250)压成粒径为3 mm的颗粒,放入-20 ℃冰箱保存。
1.2 试验对象及饲养
牙鲆购于辽宁省大连市甘井子区营城子镇双台沟村天正大黑石养殖场,先投喂基础饲料一周适应试验环境后,随机挑选180尾状态良好、初始体质量为(17.50±0.73) g的牙鲆幼鱼进行试验。试验开始前将180尾试验鱼随机分配到4×3个200 L圆形水槽中,每个水槽15尾,分为四组,每组3个重复,禁食24 h。饲养试验进行30 d,每日投喂两次,分别在9:00及18:00,按试验鱼体重的2%投喂。每日投喂前,利用虹吸法吸取残饵粪便。试验使用循环水方法养殖,养殖全程充气,温度与光照相同。
1.3 样品采集
养殖试验结束后迅速取样,试验鱼测定体质量,用1 ml注射器在鱼尾静脉取血(注射器已提前用肝素钠溶液润洗),4 ℃ 静置24 h后离心取上清液,测定血清部分非特异性免疫指标。取血后于冰袋上解剖,将所取肝胰脏先于液氮中速冻,后保存于-80 ℃冰箱中用于分析非特异性免疫活性。
1.4 血清非特异性免疫指标测定
采用南京建成生物工程研究所的试剂盒测定ACP、AKP、CAT和T-SOD的活性。
1.5 肝胰脏非特异性免疫指标测定
准确称取组织样品,在4 ℃冰箱缓溶,肝胰脏按质量体积比1:9(W/V)的比例加入0.9%的生理盐水,在冰浴条件下匀浆制成组织匀浆,采用南京建成生物工程研究所的试剂盒测定ACP、AKP、CAT、T-SOD和LZM的活性。
1.6 数据分析
试验结果用SPSS 21.0软件进行单因素方差分析,用Tukey's多重比较对全部数据进行方差分析,数据以“平均值±标准差”(mean±SD)表示,检验组间差异以P<0.05为显著性差异。
2
结果
2.1 复合益生菌对牙鲆生长性能的影响(见表2)
如表2所示,添加一定量的复合益生菌有提高牙鲆增重率的趋势,当添加量为0.5%和1.0%时,增重率显著高于对照组(P<0.05),当添加量为1.5%时,与对照组无显著性差异(P>0.05)。
2.2 复合益生菌对牙鲆血清非特异性免疫指标的影响(见图1)
为期30 d养殖试验结束后,如图1所示,与对照组T0组相比,添加复合益生菌的T1、T2组和T3组的血清中ACP活性显著升高(P<0.05);T2和T3组的血清AKP活性显著升高(P<0.05),T2组T-SOD活性显著高于其他组(P<0.05);与T0组相比,各处理组CAT活性无显著性差异。
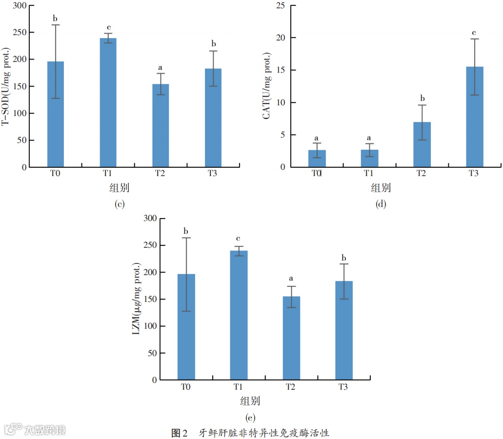
2.3 复合益生菌对牙鲆肝脏非特异性免疫指标的影响(见图2)
为期30 d养殖试验结束后,如图2所示,与对照组T0组相比,添加复合益生菌的T2组和T3组的肝脏中ACP活性显著下降(P<0.05);T1、T2组和T3组的AKP活性显著下降(P<0.05);T1组的T-SOD活性比T0组明显升高(P<0.05);T2组和T3组的CAT活性显著高于T0组(P<0.05);T1组的LZM活性明显高于T0组(P<0.05)。
3
讨论
3.1 复合益生菌对牙鲆生长的影响
有研究表明,饲料中添加适量的复合益生菌,可以显著提高饲养对象的生长速度。赖凯昭等[11]研究显示,添加复合益生菌试验组奥尼罗非鱼的平均体重最大增幅达到了11.98%,表明复合益生菌可以促进奥尼罗非鱼的生长性能。刘爱君等[12]用含有微生态制剂的饵料饲喂罗非鱼30 d后,增重率提高了25.26%,表明复合益生菌可以促进罗非鱼的生长性能。刘淑兰等[13]对大西洋鲑使用复合益生菌制剂,大西洋鲑的生长状况明显改变,增重率显著升高。Wang等[14]在粪肠球菌浓度为107 CFU/ml的水中养殖罗非鱼40 d,试验组的体质量及日增重比对照组显著升高(P<0.05)。黄旺等[15]在饲料中添加适量粪肠球菌(1.5×107 CFU/g)投喂吉富罗非鱼,不仅饲料的利用效率显著提高,吉富罗非鱼的增重率也显著提高。刘翠玲[16]将粪肠球菌用壳聚糖包被,投喂鲤鱼幼鱼,发现添加量为600 mg/kg的粪肠球菌组的饲料可以显著提高鲤鱼幼鱼的增重率和特定增长率(P<0.05)。Dawood等[17]研究了经灭活的植物乳杆菌对真鲷的影响,结果发现灭活的植物乳杆菌也可降低饲料系数,并且增强真鲷的生长性能。本研究中,牙鲆投喂了添加有复合益生菌的饲料后,生长性能显著升高,与上述研究的结果相似。
3.2 复合益生菌对牙鲆血清非特异免疫指标的影响
T-SOD的活性可以反映机体的抗氧化能力和非特异性免疫防御能力,不但可以催化过氧化物自由基发生歧化,还可以清除掉自由基,同时可以防御机体衰老和活性氧对机体的伤害,是生物体内存在主要的抗氧化酶类之一[18-19]。动物体内自由基的生成与机体抗氧化防御系统之间通常会处于动态平衡状态,抑制体内氧自由基的生成在一定程度上可以反映动物的抗氧化能力、应对外界环境胁迫的能力和自身的生长性能等[20]。CAT可以抵御机体衰老和活性氧对机体的伤害,可以清除体内的活性氧,也是生物体内存在主要的抗氧化酶类之一。ACP可以水解外来异物表面上的磷酸酯,提升体内吞噬细胞效率和降解异物的速度,还可以促进磷酸基团转移和代谢,在养殖动物的免疫应答、抵抗疾病等功能中体现重要作用[21-22]。血清中存在的ACP是高等动物巨噬细胞溶酶体的标志酶,其活性反映了动物机体的免疫功能、应对外界环境胁迫的能力和自身的生长性能等[23]。AKP广泛存在于各种动物体内,是动物体内重要的解毒体系,可以催化水解磷酸单酯,参与磷酸基团的转移过程[24];AKP也是一种肠上皮刷状缘膜酶,与鱼类的消化间接相关[25-26],一般认为,鱼体内AKP参与了鱼肠上皮细胞的吸收与转运,协助肠上皮细胞吸收葡萄糖、脂类、钙和无机磷[27]。黄旺等[15]用添加适量粪肠球菌(1.4×105~1.5×107 CFU/g)的饲料投喂吉富罗非鱼,显著增加了其血清碱性磷酸酶的活性。黄燕华等[28]选用5种乳酸菌投喂奥尼罗非鱼,粪肠球菌组血清中碱性磷酸酶活性有提高。鞠安琪等[29]选用3种不同浓度(1×107、1×108、1×109 CFU/g)屎肠球菌的颗粒作为试验饲料饲喂健康鲤鱼,试验组血清中碱性磷酸酶活性显著提升。本研究中复合益生菌能够显著增加血清中酸性磷酸酶活性(P<0.05),与对照组相比,投喂1.0%和1.5%复合益生素组的AKP活性显著升高(P<0.05),投喂1.0%复合益生菌组的T-SOD活性显著升高(P<0.05)。
3.3 复合益生菌对牙鲆肝脏非特异性免疫的影响
LZM是一种消化酶,也是动物机体内的非特异性生物防御因子,可以杀灭和消化致病菌,因此参与到动物的免疫防御中[30]。本研究中,投喂1.0%和1.5%的复合益生菌后牙鲆肝脏中ACP和AKP活性显著降低(P<0.05),添加复合益生菌的处理组0.5%、1.0%和1.5%组的血清中ACP活性显著升高(P<0.05),或是因为当肝脏受到损伤或者障碍时,以酶原形式存在于肝脏的AKP经淋巴和肝窦进入到血液中,同时肝内胆道胆汁排泄障碍导致反流进入血液,从而导致血清中AKP升高[10,31-32]。投喂1.0%的复合益生菌后牙鲆肝脏中T-SOD活性显著降低,这与刘淑兰等[13]研究中饲喂大西洋鲑复合益生菌制剂后T-SOD活性降低的结果一致。其机理或可能是投喂的益生菌提高了机体肠道内有益菌的数量,进而抑制了肠道其它有害菌的生长与繁殖[33-34],肠道中有害菌的数量降低,使得有害菌侵染机体的功能下降,鱼体呼吸爆发的频率下降,超氧阴离子的水平也降低,T-SOD的活性也随之降低[13]。投喂0.5%复合益生菌后牙鲆LZM活性升高,表明肝脏中巨噬细胞的分泌和吞噬活性增强。投喂1.0%和1.5%的复合益生菌后牙鲆CAT活性显著升高,表明肝脏中抗氧化能力增强。
4
结论
综上所述,饲料中添加复合益生菌制剂可以提高牙鲆某些非特异性免疫酶的活性,进而可以显著促进牙鲆的生长,但1.0%和1.5%的添加水平不利于提高牙鲆某些非特异性免疫酶的活性。因此,在本试验条件下,复合益生菌制剂的适宜添加水平为0.5%。
参考文献及更多内容详见:
饲料工业,2020,41(6):37-42
转 载 声 明
本文为“饲料工业”独家稿件
版权合作,敬请联系gyslgy@126.com
未获书面许可,一律禁止转载!谢谢合作!
关注公众号 阅读好文章

