作者:宋占腾 肖志明 王 石 樊 霞 索德成
磺胺类药物(sulfonamides,SAs)是指具有对氨基苯磺酰胺结构的一类药物的总称,是一类用于预防和治疗细菌感染性疾病的抗生素[1]。1935年磺胺类药正式应用于临床。具有抗菌谱广、性质稳定、体内分布广等优点。磺胺类药物在畜牧业,被广泛用于治疗食源性动物疾病,同时可以添加到饲料中作为预防和促生长使用[2-4]。磺胺增效剂(sulfonamide potentiators,SAP)是指含有5-取代苄基-2,4-二氨基嘧啶的一类化合物,包括三甲氧苄氨嘧啶、二甲氧苄胺嘧啶和二甲氧甲基苄胺嘧啶等,多与磺胺合用使细菌的叶酸代谢受到双重阻断,可以增加磺胺抗菌作用。磺胺增效剂与磺胺联合使用于畜禽养殖业中治疗大肠杆菌引起的败血症、鸡白痢及球虫病等[4-6]。但是近年研究表明, 该类药物存在较为严重的副作用, 过量使用会导致其在动物源性食品中残留,会致使其在人体中蓄积,导致人类对许多细菌产生抗药性,从而对人类的身体健康造成很大的危害[7~9]。因此,很多国家对磺胺种类的使用和用量有严格的规定。我国农业农村部规定动物源性食品中的SAs总量及磺胺二甲基嘧啶等单个SAs的含量不得超过0.1 mg/kg,磺胺增效剂限量不得超过0.05 mg/kg[10]。由于抗生素潜在的威胁,美国FDA从2017年开始禁止在牲畜饲料中使用预防性抗生素[11。2019年农业农村部发布194号公告,饲料生产企业停止生产含有促生长类药物饲料添加剂(中药类除外)的商品饲料,磺胺和其增效剂正式在饲料中禁用[12]。作为常用的抗生素,饲料中磺胺和磺胺增效剂的测定技术是必不可少的。
国内外对磺胺类药物和增效剂的文献报道较多。主要有高效液相色谱法(HPLC)[13-17]、酶免疫分析法(EIA)[18-22]、液/质联用法(LC/MS)[23-30]等。目前文献报道涉及的样品主要以动物组织和环境样品为主[15-32],对饲料的检测报道相对较少。目前有关饲料中磺胺类药物检测方法标准主要包括《饲料中磺胺类药物的测定—高效液相色谱法》(GB/T 19542—2007)和《饲料中9种磺胺类药物的测定 高效液相色谱法》(农业部1486号公告-7-2010),检测仪器主要集中以高效液相色谱法为主,检测灵敏度低,无法作为确证检测技术,并且分析的药物覆盖面窄,不能满足现今磺胺类药物的监测要求。目前现有的磺胺类检测方法存在样品处理方法繁杂、费时、成本高等问题,不利于实现快速、简便、高通量、低成本筛查。同时目前尚缺磺胺类药物与磺胺增效剂的同步测定方法。为此,本文在查阅有关文献的基础上,建立了多重机制杂质吸附结合LC-MS/MS同时检测和确证饲料中26种磺胺及3种磺胺增效剂的方法。
1
试验部分
1.1 仪器与试剂
Waters TQS型高效液相色谱-串联质谱仪[带有电喷雾电离源(ESI源)],购于美国Waters公司;Waters BEH C18色谱柱(100 mm×3.0 mm,1.7 μm)、Waters CSH C18色谱柱(100 mm×3.0 mm,1.7 μm)、Waters TSS T3 C18色谱柱(100 mm×2.1 mm,1.7 μm),购于美国Waters公司。前处理吸附材料Cleanert S C8:粒径50 μm;Cleanert S C18:粒径50 μm;Cleanert S硅藻土(SLE):粒径150 μm;Cleanert S中性氧化铝(Al-N):粒径150 μm;Cleanert S活性炭(Carb):粒径120~400 mesh;Cleanert S纳米碳Nano Carb:粒径10~20 nm,均购于博纳艾杰尔科技公司。吸附材料BONDESIL-SAX:粒径40 μm;BONDESIL-SCX:粒径40 μm;BONDESIL-NH2:粒径40 μm;BONDESIL-FL:粒径200 μm;均购于安捷伦科技公司。磺胺类药物及磺胺增效剂分别购于Dr. Ehrenstorfer(Augsberg,Germany)、Sigma-Aldrich(Luckenwalde,Germany)、Manhage Bio-technology Company(Beijing,China)、中国兽医药品监察所(Beijing,China)。甲酸(色谱纯,Sigma公司);乙腈和甲醇(色谱纯,Fisher ChenAlert Guide公司);其他试剂均为分析纯试剂,试验用水为Mili-Q纯化后的超纯水(>18 MΩ)。0.22 μm聚四氟乙烯(PTFE)滤膜购于上海安谱实验科技股份有限公司。
多重吸附前处理吸附材料:称取2 g BONDESIL-SAX、3 g Cleanert S C18、3 g BONDESIL-FL于50 mL三角瓶中,混合均匀,备用。
1.2 样品前处理
称取饲料样品5 g(精确至0.01 g),加入20 mL 1%甲酸乙腈溶液,超声提取30 min,以10 000 r/ min离心5 min。取上清液备用。
取3 mL上清液于10 mL离心管中,加入100 mg多重吸附前处理吸附材料,漩涡混合30 s,于10 000 r/min离心2 min。将2 mL上清液转移至10 mL离心管中,40 ℃氮气吹干,加入0.5 mL甲醇+0.1%甲酸溶液(10+90),漩涡混合30 s,过0.22 μm滤膜,上LC-MS/MS测定。若样品中含量超出线性范围,用样品稀释液稀释至线性范围内上样。
1.3 色谱和质谱条件
色谱柱:Waters CSH C18柱(100 mm×2.1 mm, 1.7 μm);柱温25 ℃;进样量 5 μL;流动相流速为0.3 mL/min,梯度淋洗,流动相组成和梯度见表1。
质谱采用电子喷雾离子源,正离子检测方式,多反应监测(HRM);喷雾电压为3.5 kV;毛细管温度为550 ℃;脱溶剂气为高纯氮气,碰撞气为高纯氩气,使用前调节各气体流量以使质谱灵敏度达到检测要求。具体的参数见表2。
2
结果与讨论
2.1 色谱和质谱条件
参考文献,本试验中比较了3种具有不同选择性的UPLC色谱柱Waters BEH C18(100 mm×3.0 mm,1.7 μm)、Waters HSS T3 C18(100 mm×2.1 mm,1.7 μm)、Waters CSH C18(100 mm×3.0 mm,1.7 μm)进行分离比较。其中HSS T3 C18分离效果较差;BEH对磺胺米隆无保留,同时饲料中一些杂质对部分磺胺类药物有干扰,部分磺胺类药物峰型拖尾。因此采用Waters CSH C18柱克服了大多数C18柱在低离子强度流动相条件下因载量所导致的拖尾问题。提高了有效的提高了磺胺类药物和增效剂分辨率。
大部分液相色谱检测磺胺类药物和其增效剂均采用以甲醇/乙腈+甲酸水/醋酸水体系作为基本流动相条件,本试验考察了磺胺类药物和其增效剂在上述流动相梯度条件下的色谱行为。结果表明:乙腈和水溶液作为流动相时,三种同分异构的磺胺类药物(磺胺对甲氧嘧啶、磺胺甲氧哒嗪、磺胺间甲氧嘧啶)和两种同分异构的磺胺类药物(磺胺胍、磺胺醋酰)无法通过调节梯度达到满意的分离效果,因此选择了0.1%甲醇和0.1%(V/V)甲酸水溶液作为流动相。同时通过梯度洗脱,可以在10 min内有效分离29种药物,缩短了保留时间,在很大程度上节省了溶剂消耗,降低了分析成本和废液产生。同时明显提高了分离效应,有效缩短了分析周期,具体色谱图见图1。同时为了避免干扰,采取分段采集的方式,有效的提高灵敏度和杂质干扰。
2.2 提取条件选择
磺胺类药物和其增效剂的结构和性质差异不大,根据文献,有机溶剂(乙腈、甲醇)提取各种类型磺胺类药物和其增效剂有较好的回收率,王恒等[17]研究了7种提取液对动物源性食品中磺胺类药物的提取效率,结果基本无差异。但杂质提取量有所区别,乙腈类的提取效果好于乙酸乙酯的提取效果,二氯甲烷是最好的提取溶剂。为了获得尽可能高的回收率,本试验分别选用甲醇、乙腈、水/乙腈、二氯甲烷作为提取溶剂。以二氯甲烷作为提取液提取时,饲料中大量脂溶维生素被二氯甲烷提出从而影响了药物回收率。甲醇提取杂质较高,下一步净化效果不明显。综合考虑,选择了乙腈作为提取液。同时,发现在乙腈中加入一定量的甲酸能提高磺胺增效剂的回收率,同时甲酸可使磺胺类药物和其增效剂在酸性条件下更易形成正离子,有利于质谱分析。为此最终选择20 mL 1%甲酸乙腈溶液作为提取溶液。
2.3 多重机制杂质吸附净化的条件选择
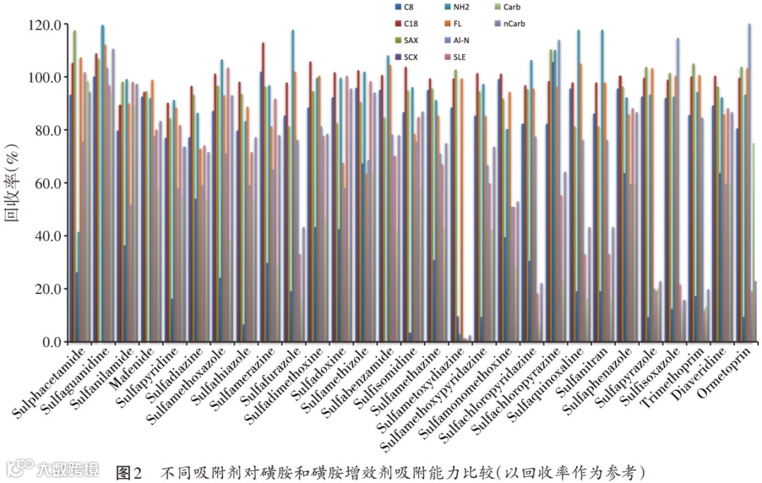
选择磺胺和磺胺增效剂与10种吸附材料(具体见表3)进行了吸附性能研究试验。具体步骤如下:取配合饲料25 g,加入100 mL提取液,离心,将上清液转移至试剂瓶中,分别吸3 mL提取液,加入0.3 mL 1 μg/mL磺胺和其增效剂标准溶液,分别加入100 mg各种吸附材料,漩涡混合30 s,在摇床上振荡15 min,10 000 r/min离心5 min,取上清液过膜,上机检测,同时吸取3 mL提取液,不加入吸附材料作为空白参考。用测定值与空白参考值计算回收率。
吸附结果见图2,虽然部分吸附材料对某些磺胺类药物和其增效剂有明显的吸附(回收率小于10),但是其对磺胺类药物和增效剂吸附率不能达到100%,无法作为富集材料使用。同时我们没有发现一种洗脱液能有效洗脱吸附在材料上的磺胺类药物和其增效剂。然而,从图2可以看出吸附材料能吸附大量干扰物质,降低了基质效应。使处理后回收率高于空白提取液。因此,最终采用多重机制杂质吸附技术(multi-function impurity adsorption cleaning,MIA)来净化样品。多重机制杂质吸附技术是一种最新提出的基于介质分散固相萃取的方法,该方法主要通过选择多种功能化吸附材料,将样品中的主要干扰杂质吸附,有效地去除基体中可能存在的磷脂、色素等物质,同时将被测物质留在样品溶液中,而达到净化和富集的目的,可大大节省样品前处理的时间。从吸附机理上来看,C8 和 C18是主要靠非极性碳键相互作用,有助于对非极性吸附过程的样品的洗脱反相萃取,主要吸附于磷脂和中等极性的化合物, 由于C8碳键较C18短,所以吸附杂质能力弱于C18,因此选择了C18作为候选材料;氨基(NH2)是硅胶基质上键合极性氨基丙基的极性吸附剂,而且同时具有氢键和阴离子交换两种作用机理,可用于从极性样品当中分离其非极性分化合物;SAX为硅胶上键合卤化季铵盐的吸附剂;与NH2吸附机理相似,相比NH2,SAX吸附杂质效果更好。弗洛里硅土为硅胶键合氧化镁的吸附剂,主要用于去除部分色素和大分子物质。因此选择C18,弗洛里硅土,SAX作为多重机制杂质吸附材料,通过混合使用可以有效的去除饲料中各种杂质干扰,达到更好的净化效果。将各种材料按不同比例添加进行净化研究,从基质净化效果来,SAX、弗洛里硅土和C18的比例为2:2:3,能有效地吸附杂质,降低基质效应。
同时考察了吸附材料的使用量对净化效果的影响,比较了10、20、50、100、200、500 mg不同固体吸附剂加入量对3 mL饲料提取液中杂质净化效果的影响。结果表明,当固体吸附材料加入量达100 mg时,继续加大吸附剂的用量对饲料样品杂质的净化效果和回收率无明显改善。因此将吸附材料加入量设定为100 mg。当加入吸附剂吸附净化后,可以有效地除去基质中的干扰物对待测物色谱峰的影响,同时减少杂质对仪器和色谱柱的损害。
2.4 基质标准曲线线性方程和检出限、定量限
不同饲料样品的组成比较复杂,液质检测药物时基质干扰非常明显。取空白饲料样品进行前处理,以此基质提取液作稀释液配制混合标准溶液,与直接用定容液配制的标准溶液对比,大部分磺胺药物表现基质抑制。为消除基质效应,本试验绘制基质校正标准曲线来进行定量。分别取不同基质的空白样品进行前处理后,配置浓度为1~500 μg/L 磺胺类药物(磺胺胍、磺胺醋酰和磺胺为5 μg/L)和磺胺增效剂混合标准溶液,以定量离子色谱峰面积与标准溶液终浓度作标准曲线。线性试验结果见表4,可见标准溶液在1.0~100 μg/L的范围内线性关系良好(磺胺胍、磺胺醋酰和磺胺为5.0~500 μg/L)。依据定量离子色谱峰的信噪比(S/N)大于3为检出限(LOD),S/N大于10为定量限(LOQ),得出29种药物的LOD和LOQ。
2.5 回收率试验
精密称取空白配合饲料与浓缩饲料样品5 g,添加不同量磺胺类药物标准溶液制成含50、200、1 000 μg/kg标准的样品,按上述方法进行检测,每个样品5个重复,测的回收率和变异系数见表5。由表5可知,在50、200、1 000 μg/kg添加水平,该方法回收率为63.4%~110.2%,相对标准偏差小于20%。典型的饲料空白色谱图和添加回收率色谱图见图1和图2。
3
结论
本研究建立了多重机制杂质吸附结合液相色谱-串联质谱同步检测饲料中26种磺胺及3种常用磺胺增效剂的方法。通过对提取溶剂、净化等前处理条件及LC-MS/MS分析条件的优化,该方法可同时检测饲料中29种磺胺类药物及其增效剂。本方法具有简单、快速、准确和灵敏度高等优点,适合于饲料中磺胺类药物及其增效剂的监测。
参考文献及更多内容详见:
饲料工业,2021,42(6):52-59
转 载 声 明
本文为“饲料工业”独家稿件
版权合作,敬请联系gyslgy@126.com
未获书面许可,一律禁止转载!谢谢合作!
关注公众号 阅读好文章

