@绵阳市引进人才
领补助啦 ~
10月29日
中共绵阳市委人才工作领导小组办公室发布
《关于绵阳市2024年第一批
拟发放引进人才安居补助人员名单公示》
快看看有多少补助
↓↓
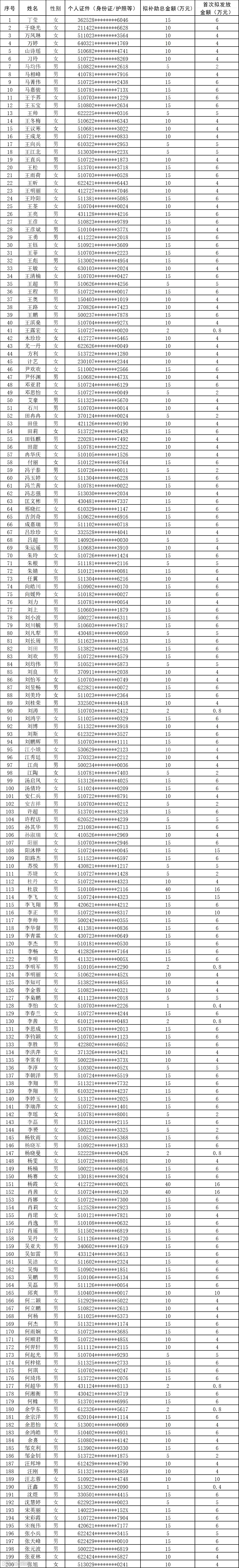
根据《绵阳市引进人才安居补助实施办法(暂行)》(绵委人才组〔2022〕3号)和《关于2024年第一批绵阳市引进人才安居补助申报评审的通知》有关要求,经个人申报、用人单位审核、市委人才办及市政务服务中心初审、市级有关部门联审,现对2024年第一批拟发放引进人才安居补助人员名单公示(见附件)。
公示期间接受社会监督。如有情况需反映,请于公示期内(2024年10月29日—11月4日,共5个工作日)以真实姓名书面反映或面谈,并提供必要调查线索。书面材料及调查线索要实事求是、客观公正并提供联系方式,以便调查核实。
监督电话
绵阳市纪委监委驻市委组织部纪检监察组:0816-2540372。
绵阳市委组织部(市委人才办):0816-2985203。
绵阳市2024年第一批拟发放引进人才
安居补助人员名单
(按姓氏笔画排序)


中共绵阳市委人才工作领导小组办公室
2024年10月29日

内容来源:科技城人才
编辑:曹雨婷 审核:谭汝江
如需转载,请注明以上内容


