“人生为一大事来。
他一生就做了一件事,
但却是新中国血脉中
激烈奔涌的最雄壮力量。
细推物理即是乐,
不用浮名绊此生。
遥远苍穹,他是最亮的星。”
这是感动中国2011年度人物
——朱光亚颁奖词
今天
是他诞辰百年的日子
让我们一起缅怀
“两弹一星”元勋
朱光亚

他是中国核事业的领航人
保卫的是国,捍卫的是大国尊严
展示的是中华民族的铮铮傲骨
他是我国核科学事业的主要开拓者之一
吉林大学物理学创始人之一
“两弹一星功勋奖章”获得者
被誉为“中国工程科学界支柱性的科学家”
“中国科技众帅之帅”

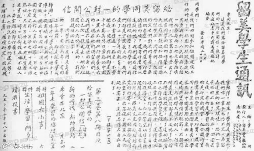
给留美同学的一封公开信
1924年12月,朱光亚出生于湖北省武汉市,1941年,于国立西南联合大学物理系大学本科毕业。在西南联大学习期间,朱光亚受到共产主义思想的影响和熏陶。




朱光亚在西南联大学习时的作业本
朱光亚(前排左二)在西南联大时期与同学合影
1946年9月,物理学家吴大猷推荐朱光亚和李政道赴美留学。朱光亚进入美国密歇根大学,一边作为吴大猷的助手做理论和计算研究,一边攻读核物理学博士学位。读博四年他的成绩全是A,并先后在《物理评论》等顶级期刊上发表了4篇学术论文,在核物理研究领域崭露了头角。1950年2月,朱光亚取得博士学位,成为当时核物理研究领域留学生中最年轻的博士。
1949年10月1日,中华人民共和国成立,消息传到美国后朱光亚立即与未婚妻许慧君商定,回国参加社会主义建设。年底,朱光亚牵头组织起草了《给留美同学的一封公开信》,并送给美国各地区中国留学生传阅、讨论、联合署名,到第二年2月下旬,已有52名决定当时回国的留学人员签了自己的名字。
1950年3月18日,《给留美同学的一封公开信》公开发表在《留美学生通讯》第3卷第8期。这份信一经公开发表,就在留美学生中引起了巨大反响,数以千计的海外留学生义无反顾地回到祖国,投身祖国的建设事业之中。
“同学们,听吧!祖国在向我们召唤,四万万五千万的父老兄弟在向我们召唤,五千年的光辉在向我们召唤,我们的人民政府在向我们召唤!回去吧!让我们回去把我们的血汗洒在祖国的土地上灌溉出灿烂的花朵!”
——摘自朱光亚牵头组织起草的《给留美同学的一封公开信》

《给留美同学的一封公开信》
赴朝谈判
1952年,朱光亚作为中国人民志愿军停战谈判代表团的英文高级翻译,到板门店参加了朝鲜停战谈判。此次,他有两个任务。一个任务是担任代表团秘书处翻译,另一个任务是作为观察员考察美国是否在朝鲜使用了原子弹。
这段经历对于朱光亚来说意义重大,亲眼见到美方谈判代表的嚣张。因为有核武器作底牌,美方代表非常强硬,谈判异常艰难。这让朱光亚明白:年轻的共和国要想真正独立,不受人欺侮,必须拥有强大的现代化国防。
惟愿一生成一事
1956年
新中国决定发展自己的原子能事业
这一年
朱光亚参与筹建近代物理研究室
担负起为新中国培养
第一批原子能专业人才的重任
从这一年开始
他全身心投入到
中国原子弹氢弹和核工业的
伟大建设事业达半个多世纪
朱光亚说:
“我这一辈子主要做的就这一件事
——搞中国的核武器。”

在中华大地上,第一颗原子弹爆炸、第一颗氢弹爆炸、第一次核航弹空投爆炸试验、第一次“两弹”结合试验、第一次地下核试验等一系列重大试验,都是在朱光亚的参与组织领导下进行的。
1959年朱光亚担任核武器研究所副所长时,核武器的研制还是一片空白。当时的核武器研究院,朱光亚说既像工厂、又像学校,是个有些奇特的研究机构,当时各个实验室天天晚上灯火通明,每个人都投入到核武器的研究之中。
1962年,第九研究所向领导人提出将在两年内进行第一次核试验,为此,朱光亚亲自编写了我国核武器的两个“纲领性文件”,这两个文件对后来的原子弹研制工作起到了十分关键的作用。

而在中国第一颗原子弹
研制的关键时期
美、苏、英签订了《部分禁试条约》
妄图把中国核武器事业
扼杀在摇篮里
朱光亚在调研后写出了
“停止核试验是一个大骗局”的报告
还说“我们绝对不能上他们的当
我们不仅能试
反而还要抓紧时机
时不我待”

1966年12月28日,聂荣臻(左)与朱光亚(中)在核试验基地
1964年10月16日中国第一颗原子弹爆炸成功。接下来的几年里,朱光亚与其他科学家一起进行了原子弹空投、研究核航弹空投、“两弹”结合、氢弹原理等试验,为我国核事业的长足发展奠定了基础。我国第一枚核导弹发射成功、第一颗氢弹爆炸成功……捷报频传,朱光亚等人为之注入全部心血,也收获颇丰。

1991年5月23日至27日,中国科学技术协会第四次全国代表大会在北京人民大会堂召开,朱光亚当选为中国科学技术协会第四届全国委员会主席。图为朱光亚(右)和钱学森在会议期间亲切交谈。
一生中唯一一次醉酒
一次采访中,记者问朱光亚之子朱明远:“听说,我国第一颗原子弹成功爆炸当晚,您父亲难得的酩酊大醉?”
“这是他第一次喝醉,也是唯一一次。”朱明远答道,他的印象里,父亲一直是一个内敛且控制力极强的人,但那天破例了。
“他不承认自己酒量不行。”朱明远回忆,自己曾经听记者问首次核试验副总指挥刘西尧,原子弹爆炸高兴吗?刘老说,高兴。记者再问,怎么个高兴法?刘老想了想说,朱光亚都喝醉了。
朱光亚被称作“两弹”研制中的“科技众帅之帅”
隐姓埋名 为国铸剑
“主持某次核试验取得成功”
中国一共进行了40多次核试验
朱光亚曾30多次亲临现场
1994年6月
朱光亚成为
中国工程院的第一任院长
1999年9月18日
朱光亚被国家授予
“两弹一星”功勋奖章
直到这时
朱光亚才从幕后被推到台前
他的事迹才渐渐开始
为人们所知晓
中国核武器研制基地总部
即如雷贯耳的“九院”
(中国工程物理研究院)
考察了大西南70余座城市
从遥远的青海搬迁到了今绵阳梓潼
有9位曾在绵阳生活
其中就有朱光亚
(绵阳“两弹城”,摄影师@蒋小翼)
▼

“两弹一星”精神
跨越时空、历久弥新
已经成为中华民族的宝贵精神财富
激励着一代代科技工作者
攻坚克难,勇攀高峰
今天,让我们一起致敬
朱光亚
点击下方卡片
关注绵阳发布微信
内容来源:绵阳发布综合
编辑:曹雨婷 审核:谭汝江
如需转载,请注明以上内容


