01
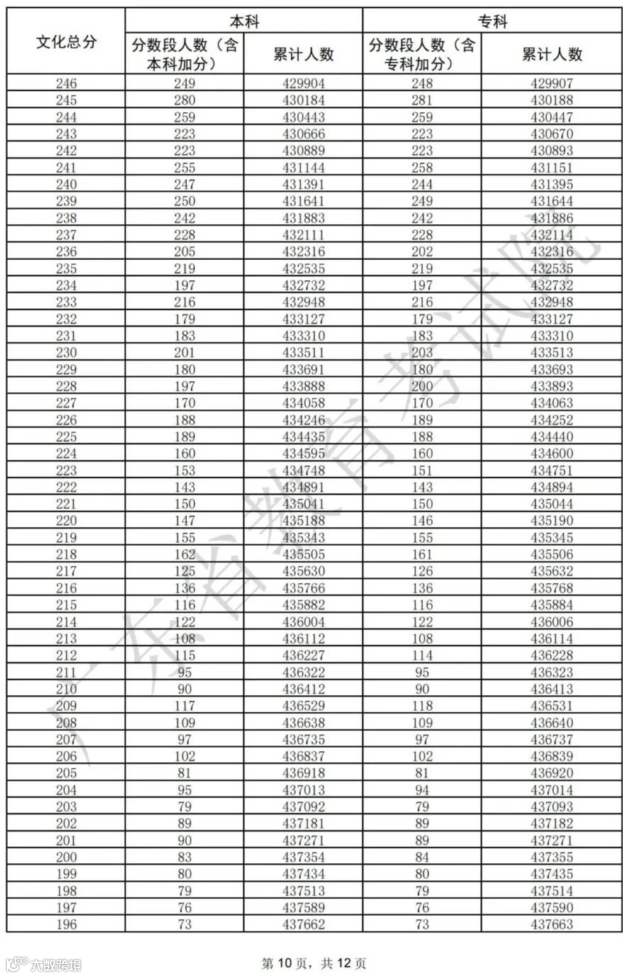
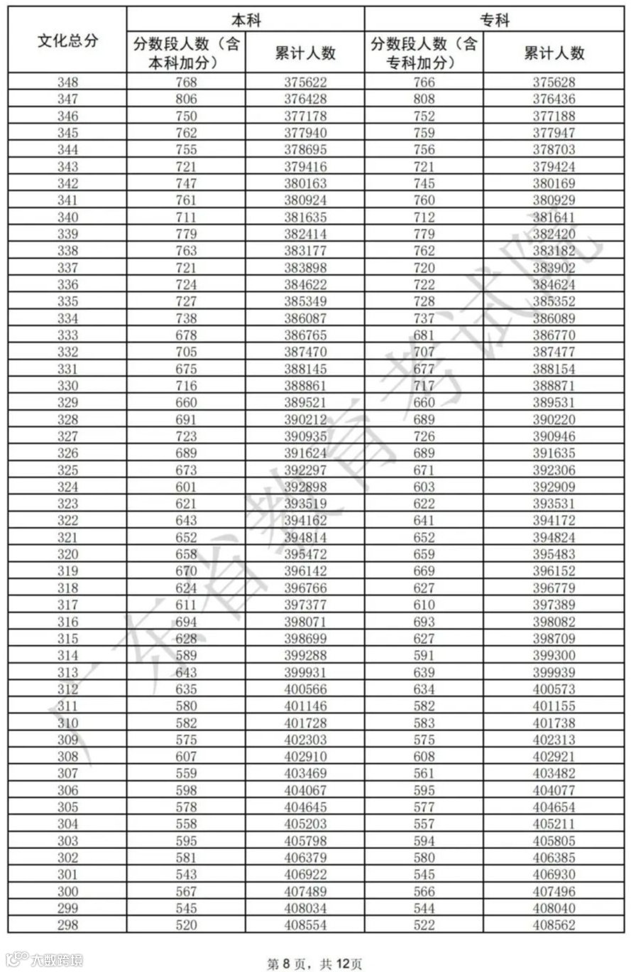
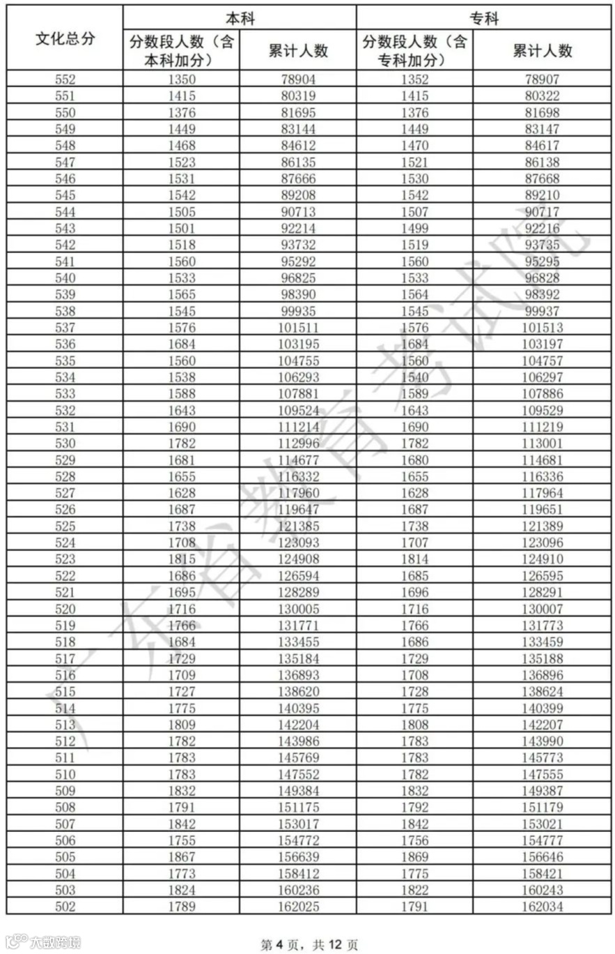
一分一段表是什么?怎么用?
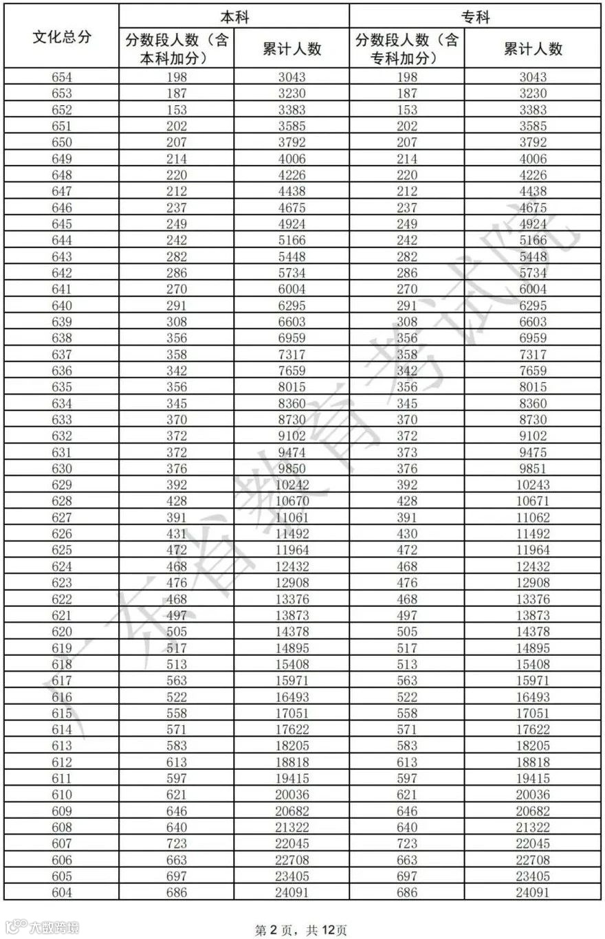
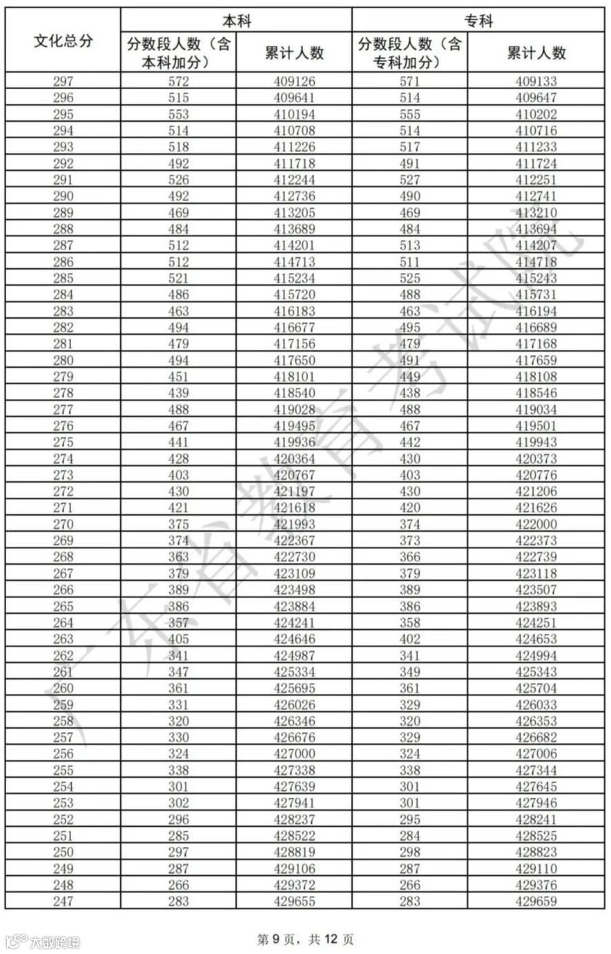
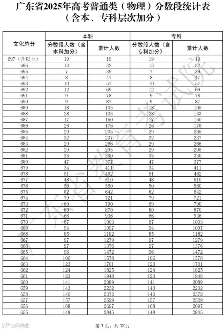
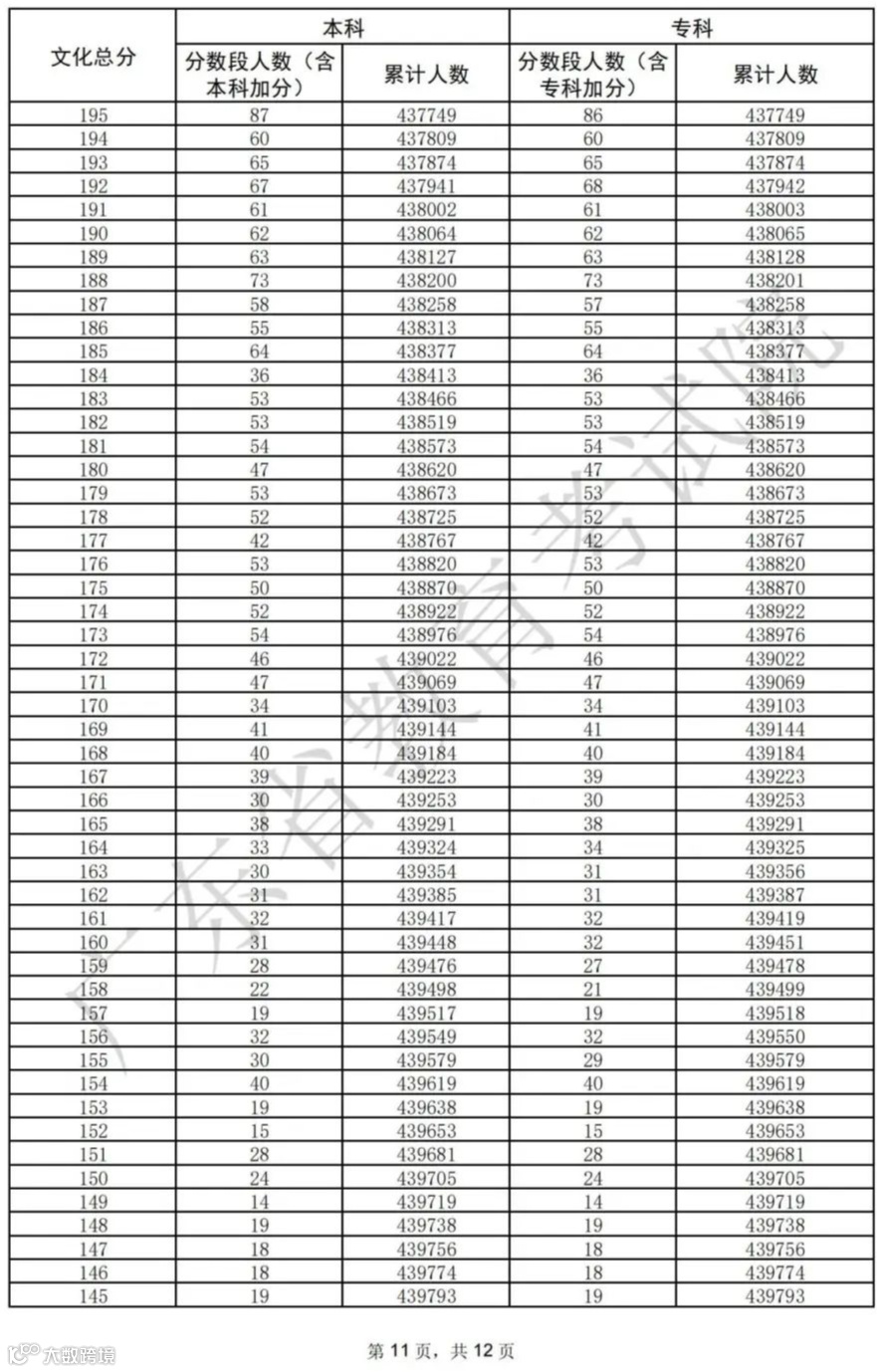
所谓"一分一段",是以"1分"为单位,统计获得该分数的考生人数和累计人数。物理/历史类分开排名,每一个分数段上有多少人一目了然,是全省每一位考生的成绩分布统计表。
通过这个表,考生不仅知道各批次的分数线,同时还能了解自己在全省考生中的排位,更有利于考生对自己进行合理的定位。
知道这个排位,对于志愿填报的意义,比分数更重要!因为各高校在各省份的招生都会有一定招生计划(招生名额),而且各高校能在某个省吸引某个分数段的学生,也是比较固定的。所以,在确定目标和填报志愿的过程中,往年录取的学生成绩可以不参考,但这些被录取学生的位次则必须了解!
2025高考分数线
广东
历史类
物理类
本科
464
436
特殊类型
534
557
(查询完整信息,请以各地官方网站为准)
02
怎么用一分一段表?
①了解自己:填报志愿最关键的第一步,是在"一分一段表"中查找与自己成绩相对应的分数排名,以及这一位次的成绩共有多少考生,以此来确定个人成绩在全省市的位置。一定要参照最近三年的同分数一分一段位次,结合往年情况综合评估自己的成绩处于什么水平。
例如,在“一分一段表”中查找与自己成绩相对应的分数,这个分数段有多少考生,自己是什么位次,排名和这一位次以上共有多少考生,这样可以确定自己成绩在全省的位置。
②评估学校:查一下目标院校在近三年的录取分数是多少,锁定该校近三年的录取分数对应当年"一分一段表"中的位置,同时,留意该院校在近年的招生人数的变化,参照今年的招生计划人数,综合判断自己的排名能否被录取。
如果自己的分数比前两年的段位高,那报考的该校的机率就很大了,就可以在志愿表中做出相应的调整。
③志愿梯度分析:参照今年目标院校和录取分数相近院校的招生计划人数,综合判断被录取的可能性。由于高校招生是从高分到低分提档,一分一段表就是把定位具体化为排名,考生可以根据自己的分数对照一分一段表,再参照今年各院校招生计划数,确定自己该如何填报志愿。考生要看该层次院校招多少人,自己处于哪个层次。如果成绩所在的某一分数段上其他考生过于集中,那么在填报志愿时就应注意保持各院校、各专业的志愿填报梯度。
结合今年的特殊的情况,大家整体的分数段上去了,所以导致了部分“尴尬”分数段的同学比较集中
在志愿填报时,需要注意各个志愿之间的梯度,可以参照“冲、稳、保”的策略来选择学校,合理确定各志愿院校之间的梯度。

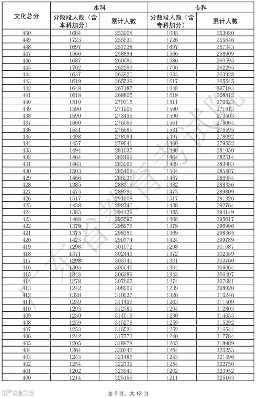
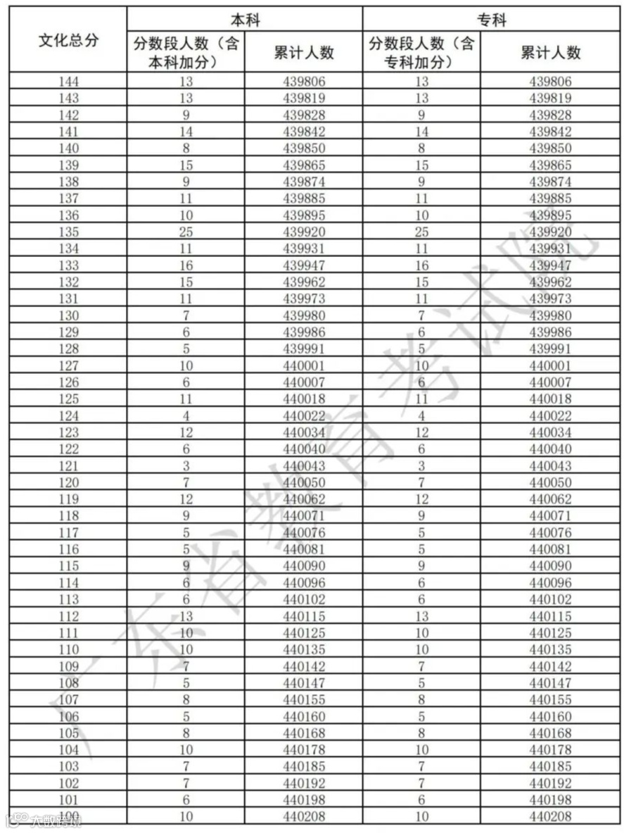
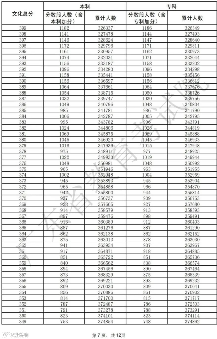
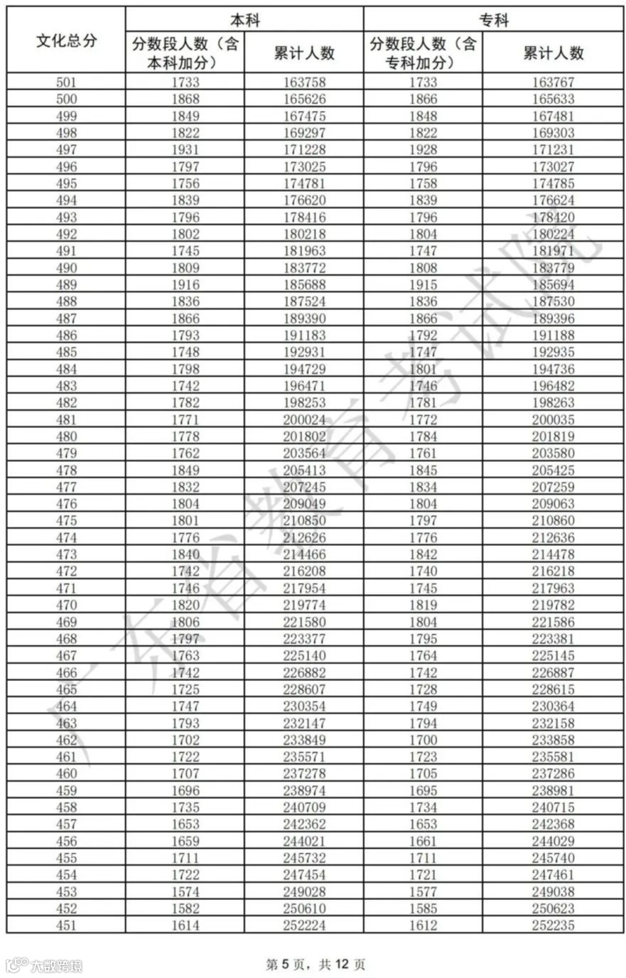
图源:广东省教育考试院,下同
2025年历史类
新高考政策 | 强基计划 | 综合评价 | 港澳台升学 | 定制学习与升学方案
来访地址:深圳市 福田区 民田路 新华保险大厦302功倍教育
WWW.GONGBEIEDU.COM
—— 多 元 升 学 规 划 ——

