闵行·颛桥 地铁新盘


“
#最新消息#
闵行·颛桥板块 5号线地铁新盘
【华发·四季半岛】
明天上午九点开启认购
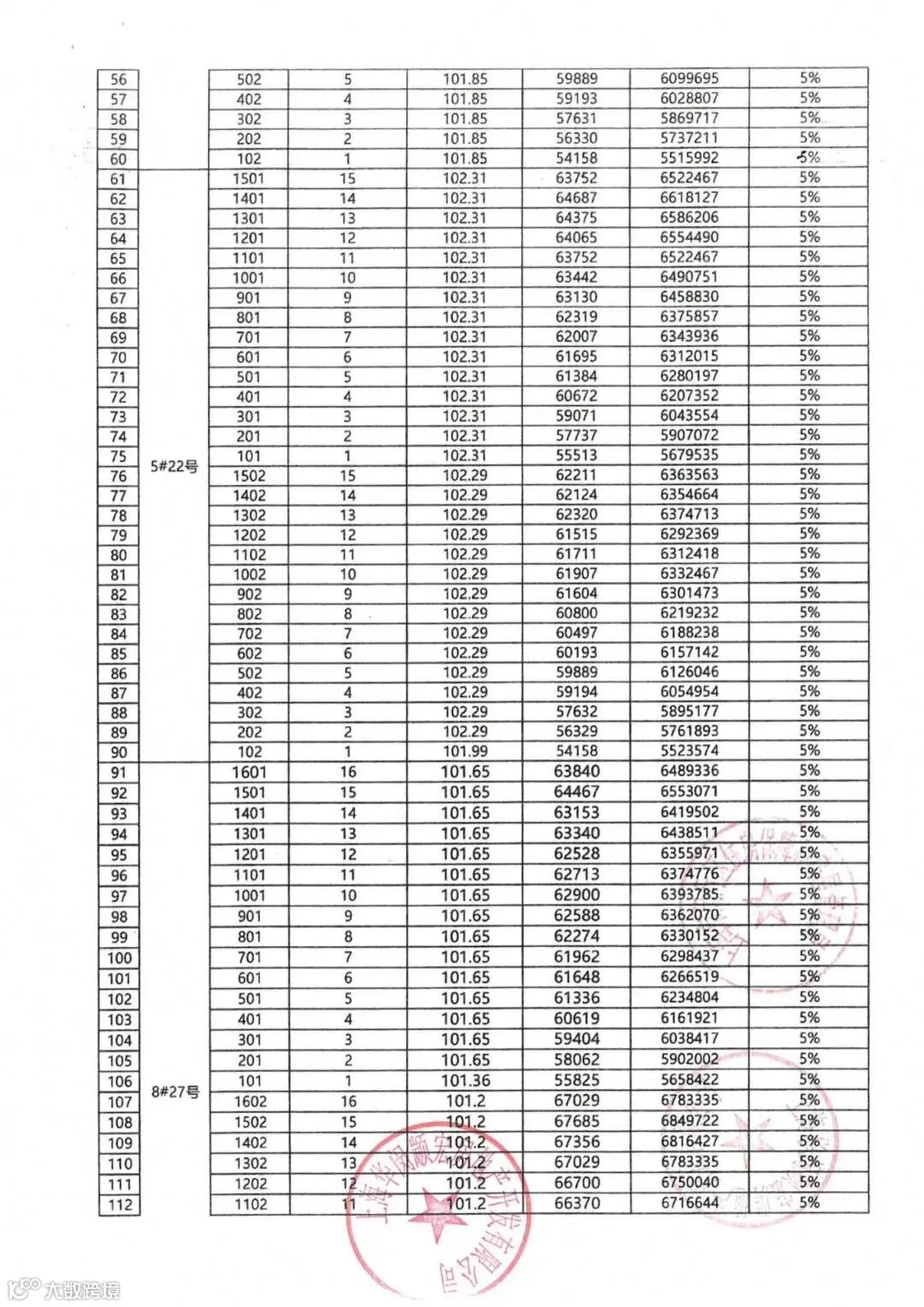
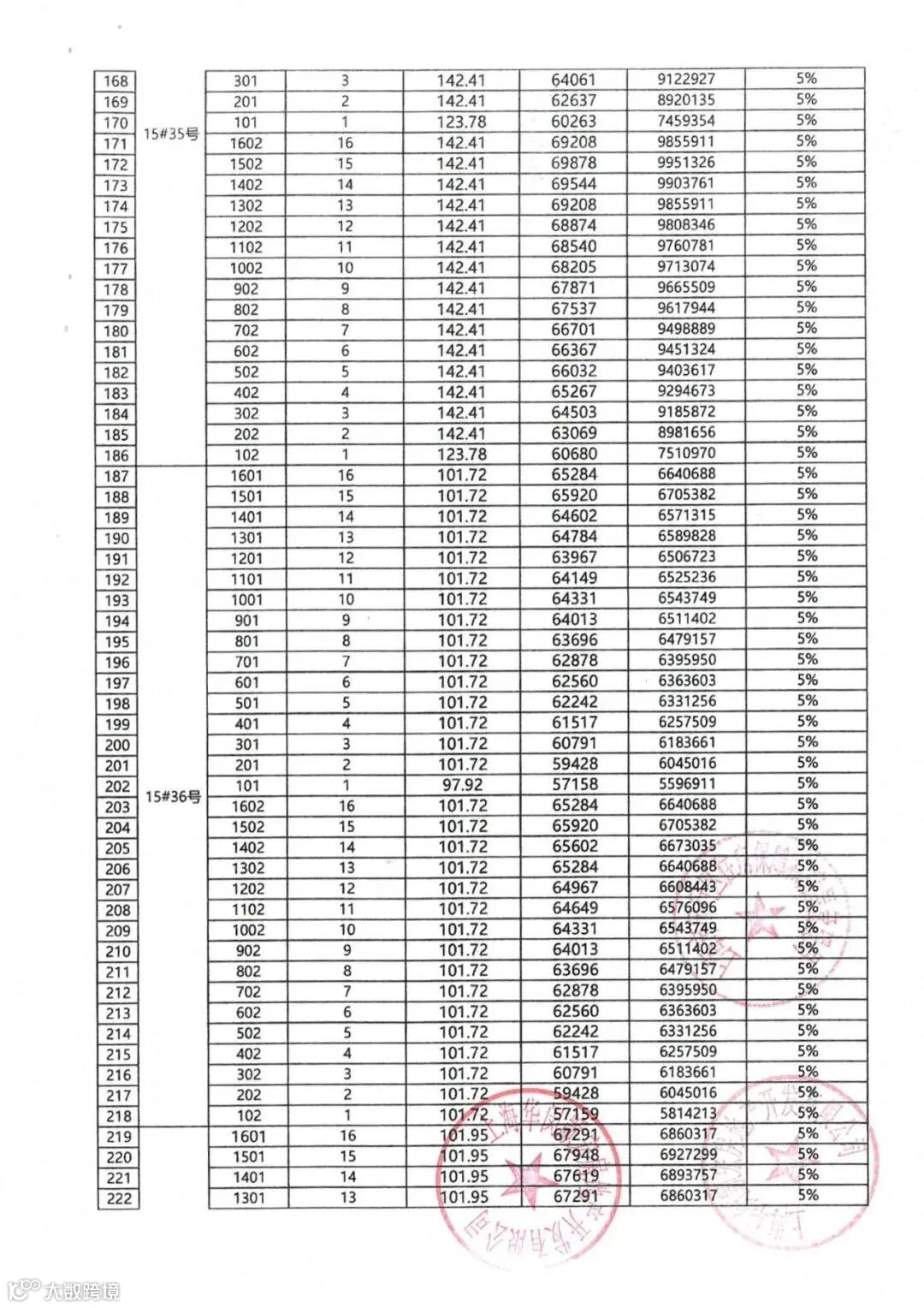
一房一价表公布!
均价64000元/㎡
推高层&叠墅,共计274套房源
认购时间:10月31日9:00—11月6日12:00
认购意向金:120万元
存款证明:首套120万,二套360万
社保系数:0.12分/月
开盘日期:2021年11月30日
识别二维码
进入“【华发·四季半岛】”看房通道
案场销售会第一时间与您联系

01
开发商介绍
【华发股份】是华发集团旗下房地产开发上市公司,具有国家一级开发资质,2017年起连续四年跻身《财富》“中国500强”榜单,“2021中国房地产百强企业”第32位,“2021中国房地产品牌力”第21位。
2014年,华发股份首入上海,布局长三角,7年来打造了华发华润·静安府、华发四季、华发公馆等16座标杆力作。其中,华发华润·静安府,连续两年销售额突破百亿,蝉联上海销冠。
华发华润·静安府|效果图
02
社区规划
【华发四季半岛】是上海第二个通过超低能耗建筑专家评审并获得超低能耗建筑3%容积率奖励的项目。社区涵盖小高层住宅、多层叠加、保障房、公共服务设施,室内、室外配套用房。
华发·四季半岛|鸟瞰图
整个小区占地7.9万方,总建面为23.5万方,容积率2.0,是版块内在售唯一的复合型小区,称为公园半岛墅区。
项目由8幢低密叠拼、18幢小高层公寓、1幢自持住宅及2幢保障房组成,点状建筑布局错落有致,采光互相不影响且极其美观。
户型分布:精装高层:102㎡3房2厅2卫共1218套、142㎡4房2厅2卫共32套;毛坯叠加:150-168㎡上中下三叠共162套。
小区景观设计方面:约15万方公园半岛墅区,打造东南亚风情园林,通过外部鑫都路水文化公园与内部景观,形成“一湾一园一岛”的城市稀缺湾流岛居社区。
华发·四季半岛|效果图
约1.2万方的实景示范区,融合天然水系与百年银杏古树,配置功能齐全的小区会所,焕新区域生活想象。
一轴一环 两园三进院
一轴:中央景观轴。串联入口广场、入口会客、景观大道、阳光草坪、东南亚观景亭、中央水景等园区重要景观节点,沿途铺陈四时花木,收纳自然之美。
华发·四季半岛|效果图
一环:打造社区跑道运动环,一场关于运动的新美学生活,由此起步。
两园:两大运动空间。每一位家庭成员都有活动空间,互不干扰又彼此照应,实现多维度的美好生活需求。
三进院:一进院:入口广场;二进院:水上庭院(棕榈小道/景观亭/倒影池配置喷泉 );三进院:阳光草坪+树阵花园+派对空间
03
推售信息
据悉,【华发·四季半岛】首批将推约102-142㎡高层 & 148-172㎡叠墅产品,共计274套房源。(102㎡高层218套,142㎡高层32套,叠墅产品仅24套)。
户型图
现在户型图已经公布,请点击图片查看。
【约102㎡ 边套户型】
户型解析:三开间朝南;南北通透,餐客连厅;飘窗设计;南向主卧套房设计。
【约102㎡ 中间套户型】
户型解析:三开间朝南;南北通透,餐客一体;;飘窗设计;南向主卧套房设计。
【约102㎡ 边套户型】
户型解析:阔景横厅,宽逸阳台;全明空间,方正格局;飘窗设计;雅致主卧套房。
【约142㎡ 3房2厅2卫】
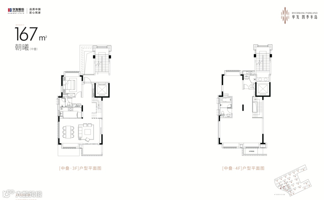
【约152-172㎡ 上、中、下叠户型】请点击图片放大查看。
04
周边配套
【华发·四季半岛】位于上海南部科创中心发展中轴上的颛桥,周边五大科创园区、三大国家级工业园区环伺,位列长三角一小时黄金经济圈,虹桥城市副中心和莘庄城市副中心双重利好辐射,潜力超越想象。
【交通方面】项目北门步行约600米可达地铁5号线颛桥站,无缝换乘1号线,7站上海南站,10站徐家汇。嘉闵线(规划中)3站到达七宝,7站到达虹桥火车站。
G60沪昆高速、元江路、申嘉湖高速,与嘉闵高架、S4沪金高速、虹梅高架路、沪闵路、中春路组成的五纵立体交通网络,纵横畅达。
【商业方面】项目直线距离约15万方的颛桥万达广场仅约1公里,距离莘庄商圈约6公里。
闵行颛桥万达|实拍
毗邻莘庄副中心[约30万方仲盛、约16万方TODTOWN(在建)],南方商城商圈[约14万方南方商城、约15万方中庚漫游城],约19万方龙湖上海闵行天街等大型商超,荟萃国际生活潮尚。
【教育方面】七宝中学附属鑫都实验中学、鑫都小学、田园第二外语实验小学等名校环伺,满足板块内教育需求。
鑫都实验中学|实拍
【医疗生态】周边闵行区中心医院,还有众多社区卫生服务站;附近水文化公园,是闲暇时的散步的好地方。
闵行中心医院|实拍
识别二维码
进入“【华发·四季半岛】”看房通道
案场销售会第一时间与您联系

本文由【沪房新资讯】团队创作
转载请声明出处
上海购房政策
点击图片了解详情
热盘推荐
【沪房新资讯】已开通定群购房服务
需要一对一咨询的小伙伴可入会咨询哦
媒体矩阵
觉得有用的话,记得“分享·收藏·点赞·在看”哦!









