
“
#最新消息#
2021年大虹桥红盘
再上新品
【俊灿星城】三期
少量房源可认购
将推约72-130㎡2-3房
低分福音
均价63000元/㎡
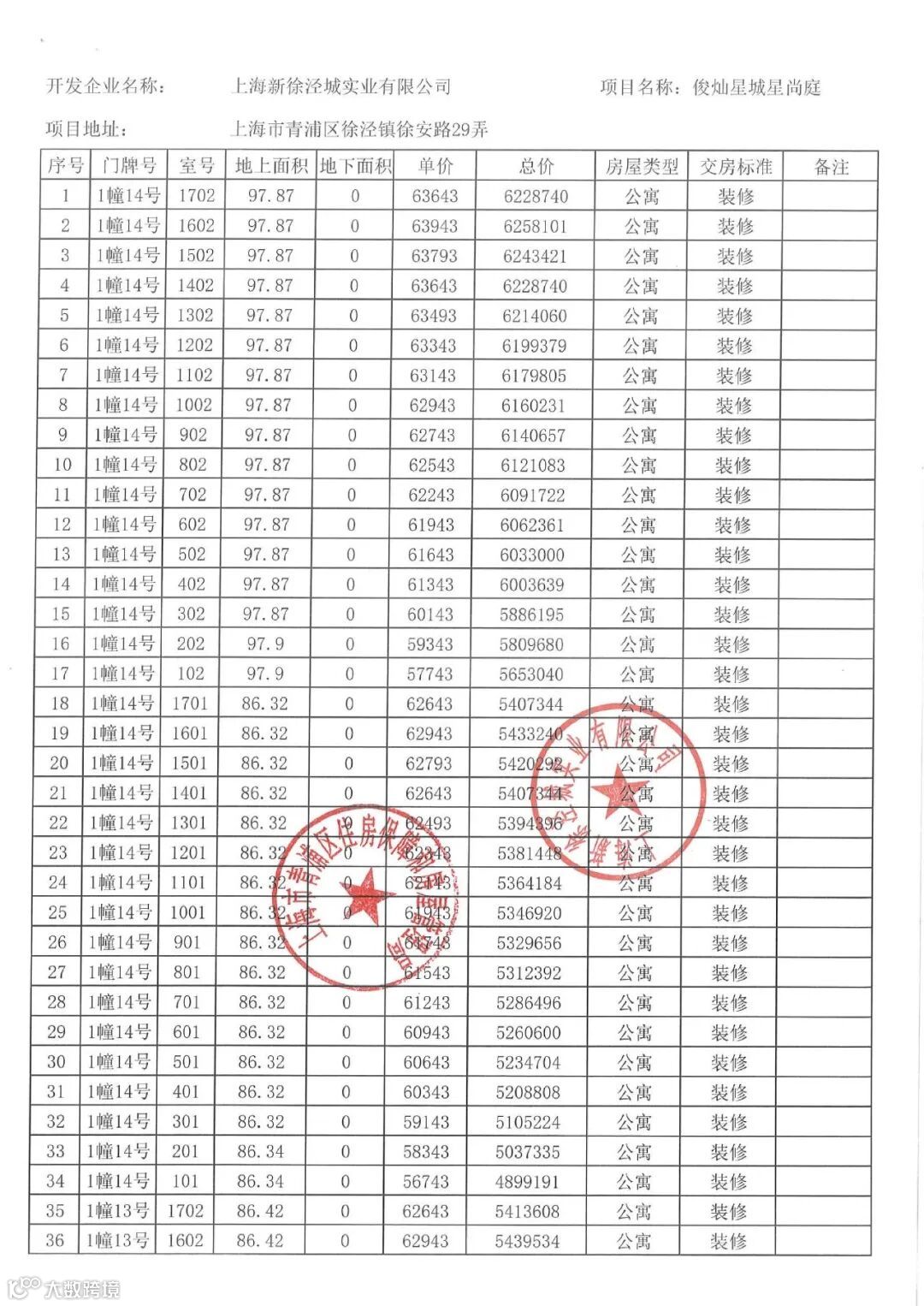
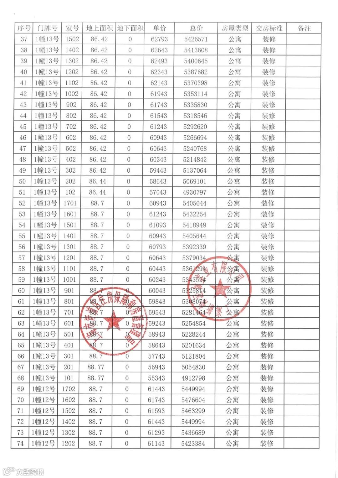
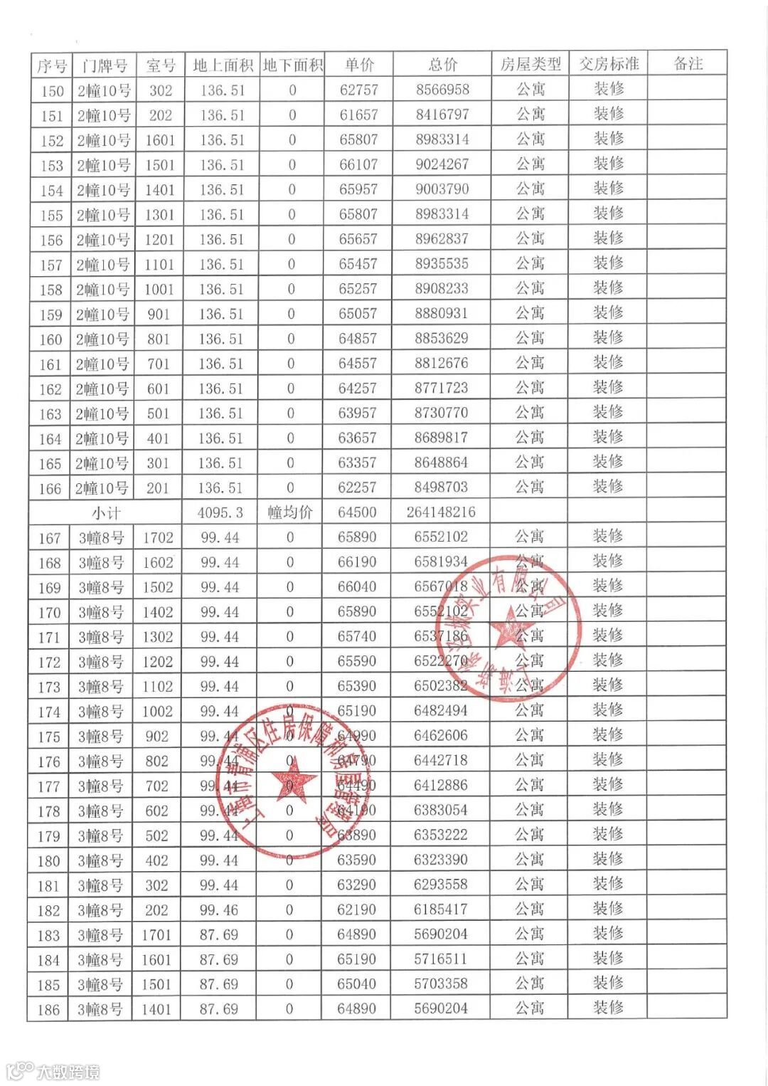
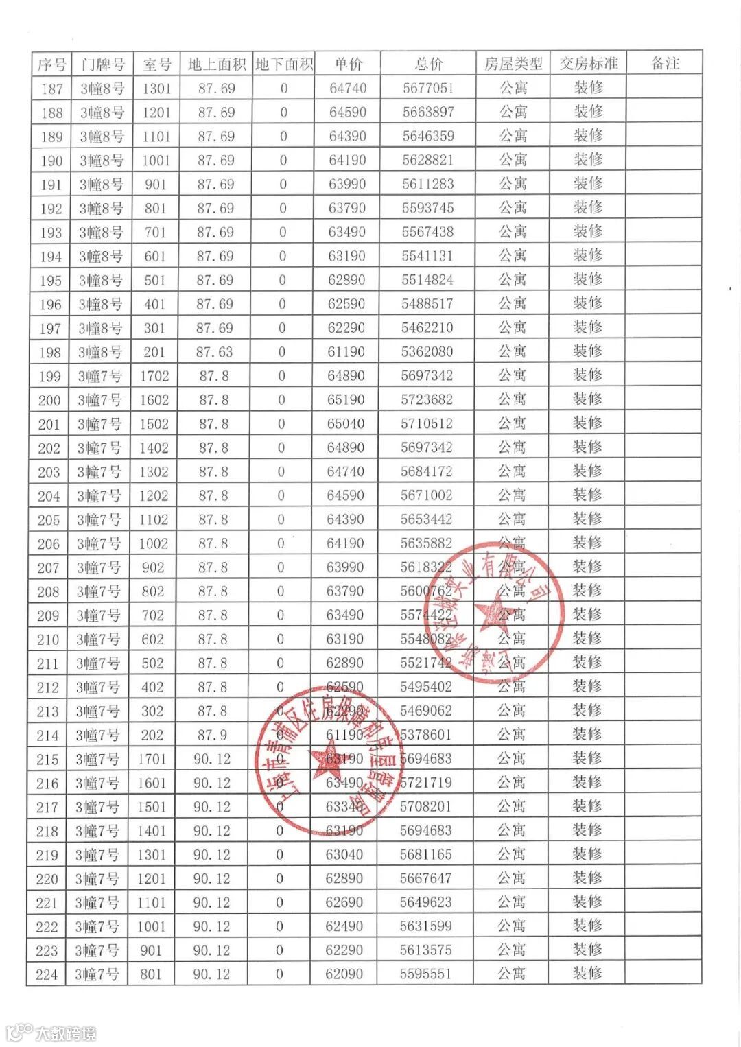
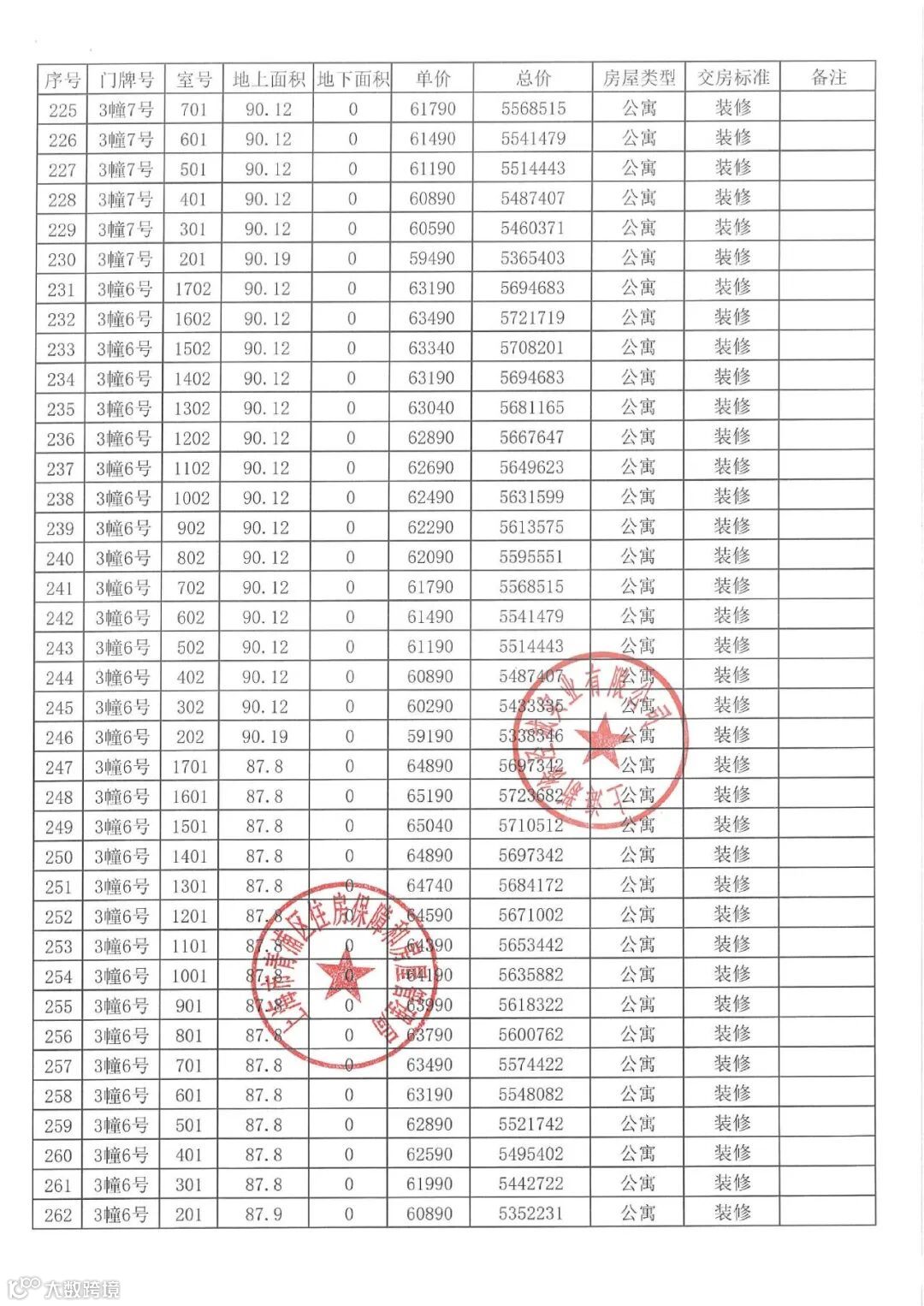
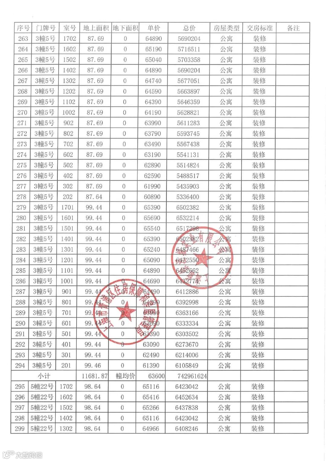
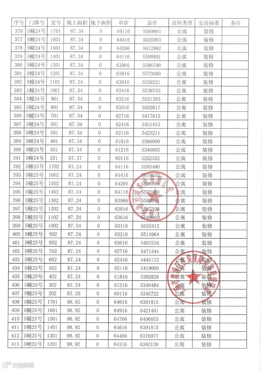
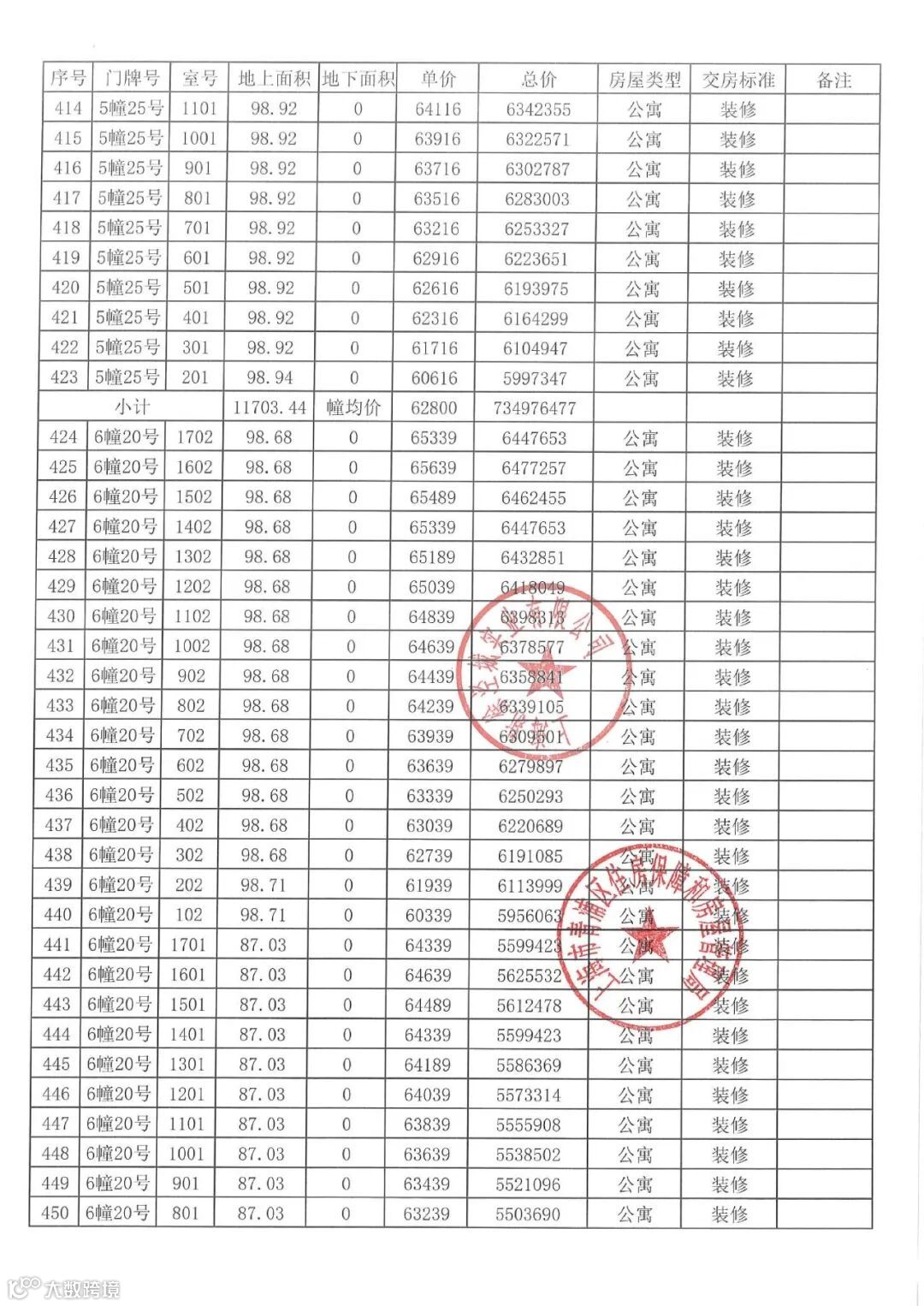
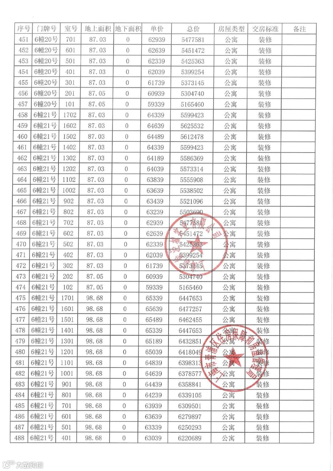
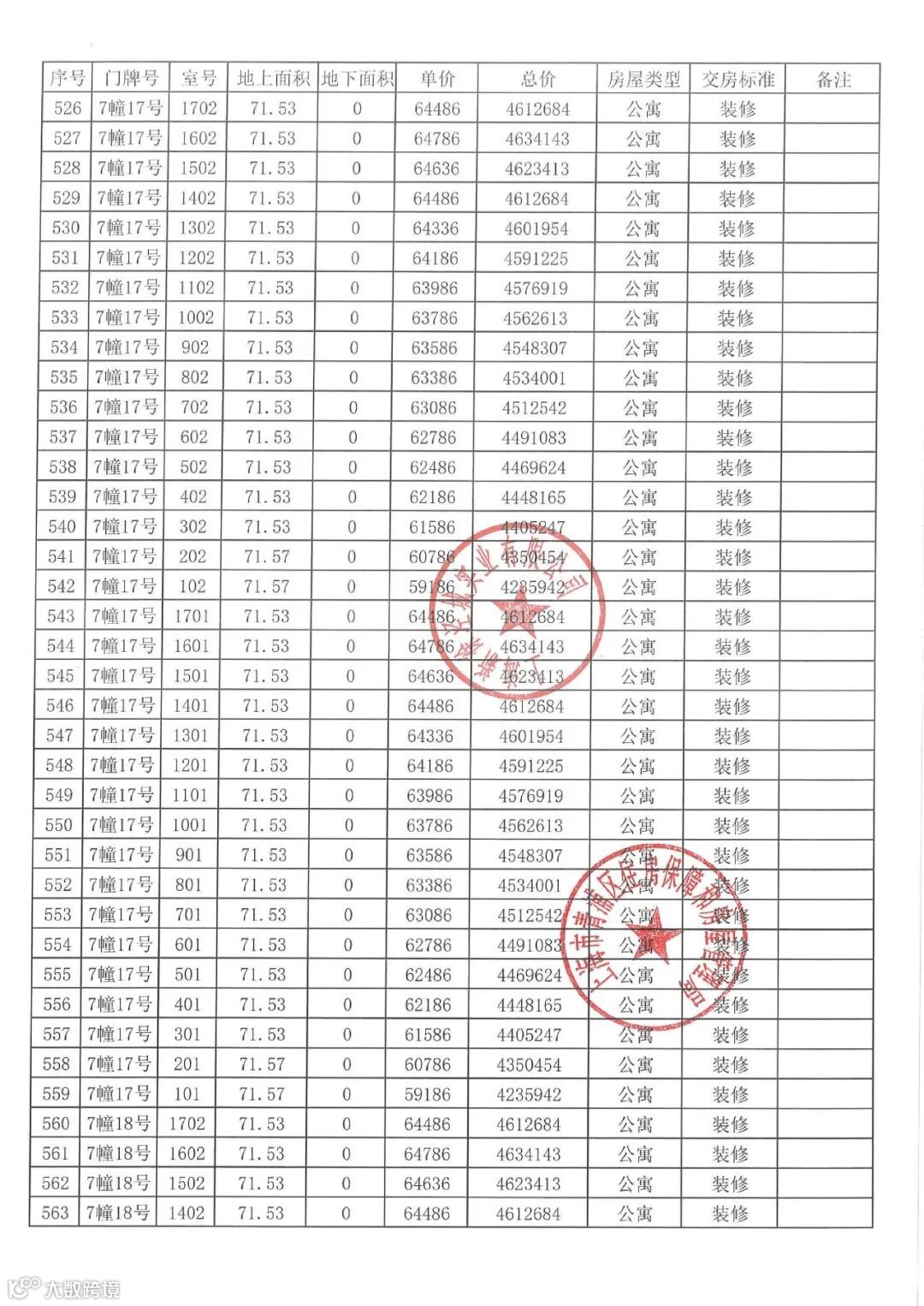
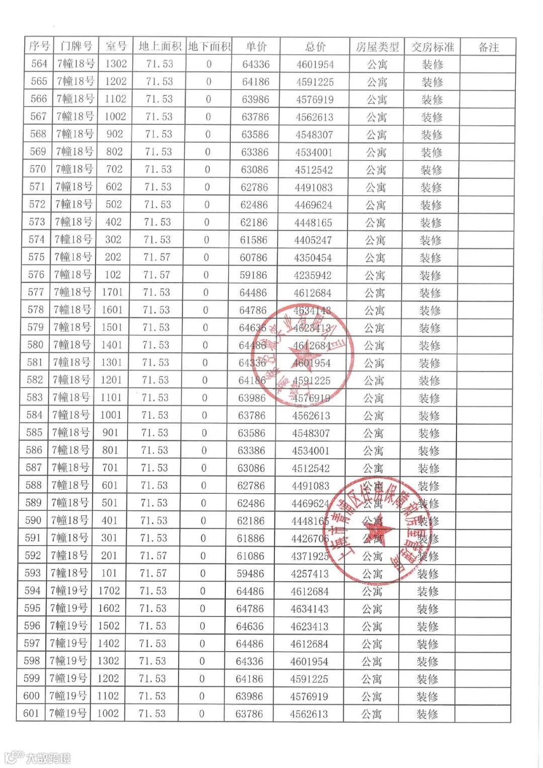
「一房一价表」
上下滑动查看完整一房一价表▲▲▲
识别二维码
进入“【俊灿星城】”看房通道
案场销售会第一时间与您联系
01
基本信息
俊灿星城三期 位于沪青平公路以北,明珠路以东,北临河南临公园,4.6万方绿地公园环绕,景色宜人。
俊灿星城 是由俊发集团(房地产50强企业)和灿辉国际(上海本土开发商)两家品牌开发商共同联手打造的虹桥核心标杆产品。
俊灿星城 所在区位,地处炙手可热的虹桥国际中央商务区西虹桥片区,占位大虹桥最宜居的板块——徐泾正芯,坐拥成熟商业、高端医疗、丰富的公共配套等全维资源,生活便捷。
整个项目共55万方体量,由住宅、商业、办公、酒店、学校等业态组成的城市综合体,分四期开发。
俊灿星城 鸟瞰图
一期是本地回迁安置房(带装修);二期是去年已售罄的住宅部分,共503套;三期是今年即将入市的住宅部分,共626套;四期是商办地块。
物业类型:17层住宅
容积率:2.3
得房率:约74%-78%
建筑层高:3.15米
梯户比:2梯4户、1梯2户
车位比:1:1 (637个)
绿化率:35%
物业费:4.05元/月
交房时间:2024年
项目采用围合式布局,打造中央核心景观轴线,部分一楼架空用作社区活动空间:健身空间、儿童室内活动区、休闲书吧,老年人活动区域。
社区功能体系:星城星语六大盛境项目以现代手法结合传统精髓的创新设计将建筑、文化、艺术与景观完美交融,筑造纯粹的意境空间。
项目是由笛东执笔,筑造出【 星阙 】【星荟 】【星野 】【星际 】【星云 】【星河 】 六大盛境,营造中央景观 “景阔似海、品如繁星”的高品质人居环境;
俊灿星城还是一个专为年轻人打造的智能化社区!
户外WIFI、天使之眼、户外可移动伞座、可视对讲系统、24小时安防系统、一键呼叫等,社区智能化设置,让业主的生活更精致前卫!
02
推售信息
据悉,俊灿星城三期 将推约72-130㎡ 2-3房,共计627套房源,精装交付,均价6.3万元/㎡,少量房源可认购,低分可上车!
三期户型配比:
A户型99㎡ 132套 | B户型72㎡ 136套
C户型89㎡ 230套 | E户型89㎡ 98套
三期全套户型图发布:
「约99㎡ 3房2厅2卫」
「约72㎡ 2房2厅1卫」
「约89㎡ 3房2厅1卫」
「约89㎡ 3房2厅1卫」
「项目样板房实拍」
装修标准方面,项目全部采用国际一线品牌
公共区域+卧室:日立中央空调、德国威能全屋地暖、松下新风系统,博士智能门锁,入户玄关柜、实木复合地板、白low-E双银中空玻璃内置百叶窗;
厨房:老板油烟机、灶台、洗碗机,海德泰克净水器,松下凉霸,厨柜组合;
卫生间:TOTO智能马桶(卫洗丽)、toto台盆、高仪龙头花洒,松下暖风机,摩恩小五金,镜柜组合;
阳台:电动晾衣架;(所有精装品牌最终以预售合同为准)
03
周边配套
项目位于虹桥主城区徐泾镇中心位置,对面是虹桥食尚天地。周边商业,交通出行,酒店,教育资源配套非常丰富。
交通出行三横三纵立体自驾交通网络。
项目门口多条公交线路7站直达徐泾东站,约8分钟一班。
商业配套方面:项目对面就是约5万方的虹桥食尚天地,永业购物中心,夏都小镇,家乐福。1.5km范围圈有首位奥特莱斯,兰韵文化中心,美国百老汇歌剧院等大型商业购物中心。
教育配套方面:徐泾幼儿园(一级幼儿园)、徐泾中小学(全国示范学校)、私立学校:德国学校,青浦世外等。
医疗配套方面:徐泾卫生医院(公立)、华山医院西院(三甲公立)、远大医疗、德达医疗、新虹桥医学中心等。
本文由【沪房新传播】团队创作
转载请声明出处
上海购房政策
点击图片了解详情
热盘推荐
识别二维码
进入“【俊灿星城】”看房通道
案场销售会第一时间与您联系
识别二维码
进入“群”看房通道
案场销售会第一时间与您联系
媒体矩阵
觉得有用的话,记得“分享·收藏·点赞·在看”哦!































