最新消息
浦东·三林 全新盘
「招商·臻境」正在认购
首期将推约89-148㎡高层&叠墅
共计338套房源
均价68091元/㎡
认购时间:2024年4月30日9:00—5月4日12:00
认购意向金:74万元
社保系数:0.13分/月
存款证明:首套74万,二套296万
开盘日期:2024年5月11日
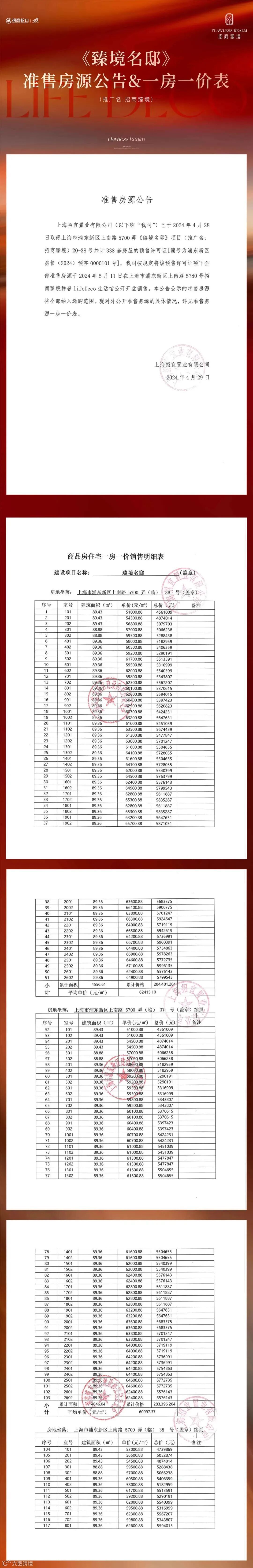
「一房一价表发布」
上下滑动查看
识别二维码
进入“「招商臻境」”看房通道
案场销售会第一时间与您联系
基本信息
2023年10月11日,招商蛇口竞得浦东新区三林环外区域PDP0-0901单元0901-07-04、0901-08-03、0901-09-02地块(定名:招商·臻境),楼板价39303元/㎡,溢价率10%,房地联动价70000元/㎡!
「臻」系,是招商蛇口继「玺」系产品系之后又一重磅力作,长期深耕一线,致力于匹配都市新贵的内在需求,重新定义改善生活的奢享标准。每一座臻系的诞生都有着严苛的打造标准,诚如北京的招商臻园、南京招商局中心臻境,自问世以来便成为各自城市的理想生活居所。
招商臻境,定鼎三林之上,以“静奢lifeDeco”的前沿理念,打造2023年三林十年来重要作品,依靠外环/中环/南北高架等交通路网,串联前滩、陆家嘴、徐家汇等一级城市节点,出入之间,相逢高阶未来。
招商·臻境位于上南路与东明路交叉口西侧,共计由3幅住宅用地组成,用地面积约8.54万方,总建筑面积约30.91万方,容积率约2.2,打造13栋23-26层建面约89-135㎡高层、16栋5-6层建面约145-148㎡叠拼,多元化产品及生活范式,为三林臻启都市新生活。
根据出让合同要求,项目住宅套数下限1565套,需配建至少7%的保障性住房,中小套户型不得低于住宅总建筑面积的60%;另外要求项目全装修比例50%,住宅部分的房屋装修标准不低于2500元/㎡。
目前三个地块设计方案均已公示:
项目分为3个地块,住宅地块为5-6层叠拼、23-26层高层住宅混合小区。其中北侧07-04地块西北角、东南侧09-02地块东南角均设置有一栋26层保障房。商品房住宅高层楼有2梯4户、3梯6户类型。
地上无车位,全人车分流,社区内部规划有室外健身点、儿童游戏场以及部分架空层。
07-04地块:容积率2.2,拟建1栋26F保障房、3栋23-26F高层住宅、5栋5-6F多层住宅以及若干社区配套用房;
09-02地块:容积率2.2,拟建1栋26F保障房、6栋26F高层住宅、7栋6F多层住宅以及若干社区配套用房;
08-03地块:容积率2.2,拟建3栋23-26F高层住宅、4栋5F多层住宅以及若干社区配套用房;
招商臻境以静奢主义lifeDeco为设计理念,打造超30万方高定住区。
从产品规划来看,招商臻境项目首次开盘地块为09-02地块,6栋26层建面约89-135㎡高层、7栋6层建面约145-148㎡叠拼,均价约68901元/㎡,最低约500万起即可买入三林!
于招商臻境而言,精心设计与雕琢的产品观不仅体现在示范区的场景与细节的打造上,从社区主入口、经典曲线立面、静奢自然园景,到品质公区的酒店式泳池会所、品质地库以及精装入户大堂等方方面面,无不凸显作为首个臻系——招商臻境的超硬核的产品力以及对品质的至高追求。
宽幅酒店式社区入口,以奢石锻造归家气场
酒店式门廊作为归家的第一道风景,招商臻境以空间大尺度与高级奢石的材质使用将尊崇的归家礼遇感拉满。近50米宽,高度约5.3米高,开口约11米长的高规格酒店式大门。选用了贝金米黄石材作为墙面主材,墙裙用印度蓝石材做装饰。两侧甄选了两颗名贵的罗汉松,有着恭迎归家的美好寓意。
步入门廊,营造经典酒店式环岛落客空间,环岛中央以上海市花——玉兰花为原型做了雕塑艺术水景,提升整个主入口的人文感与艺术气息。
静奢曲线建筑立面,海派风尚的前沿表达
立面建筑上,招商臻境转译武康大楼和绿房子的曲线,设计了微弧阳台。首三层设置了贝金米黄石材基座,层间运用银白色和仿木纹色金属装饰线条,顶部设计了干净利落的玻璃塔冠。提升的窗地比和种种材料交织融合成独属于现代海派臻系的立面特色。
七维六巷度假园景,静奢美学的自然演绎
景观营造方面,招商臻境也可以称得上独具匠心,酒店式门廊、六巷归家景观轴、摩登水院等串联构建的“七维六巷”海派园林,交相辉映。以点线结合的方式营造静奢风景观空间。
景观作为社区的情感纽带,招商臻境特别打造中心水景会客厅,与风雨连廊半围合,形成立体化中央水景,作为绿岛水岸,描摹都市室外客厅的景象。设有专属于业主的廊下休闲空间,搭配耐久室外家具,在此欣赏水景,畅聊趣事。
约1500㎡泳池会所,艺术馆级空间美学造诣
此外在公区的打造上,招商臻境配置约1500㎡life-Club泳池会所,穿堂入园便是下沉庭院,业主可在这里尽情放空,随时畅享休闲度假模式。
艺术馆般室内无边际泳池,在内部空间设计上,微微拱起的穹顶像云朵漂浮在上空,两侧的柱子成花瓣般的典雅造型,向上延伸,形成独特的记忆点。中央庭院一侧的落地幕墙玻璃,实现自然景观的室内延伸感。泳道尽端的景泰蓝背景墙,更是加强了空间的奢华氛围。
追光式奢石品质地库,车行入口的高级仪式
招商臻境,车行入口同样花了极大的心思进行雕琢。相比较市场普通的墙面漆,整个入库车道采用了难得一见的全铝板吊顶与通铺,配合追光式的灯带设计,车辆缓缓驶入,铝板的高级质感与柔和追光的仪式感一点点打开。
除了铝板车库同步采用高级奢石进行装饰,正对车行入口的那一块石材,来自于18000公里之外的南美——玻利维亚,也叫它玻利维亚蓝奢石。
精装双入户大堂,简雅气质里的精致海派
招商臻境地上入户大堂,源自国际奢华酒店大堂灵感,外部采用全画幅落地玻璃,同时也加入了金属弧线装饰设计,在通透感上又增加经典与时尚的设计感。顶部仿古铜纹铝板吊顶,营造出精致的海派装饰氛围。
大堂内部,氛围、灯光、装潢都非常具有格调,奢石背景墙搭配海派地砖拼花,将静奢海派的艺术展现的淋漓尽致。
地库入户大堂公区打造,招商臻境同样也极尽匠心,吊顶上采用了具有海派风格的内凹式弧面造型;廊柱腰线以及门边运用奢石点缀,柱子与柱体采用精致的弧形倒角设计,庄重而不失典雅。
通过轻盈质感的玻璃大门进入内部,地下入户大堂我们采用了天然的采光天井设计,引入自然光源,地下大堂整个休憩区同样具备地上大堂的敞亮感。设置专属等候区,如同酒店式的首层大堂,极尽礼宾仪式。
推售信息
据悉,招商·臻境 首期将推约89-148㎡高层&叠墅,共计338套房源,均价68091元/㎡,目前价格已经过会,正在认购!
方案过程图,仅供参考,以官方最终发布为准
「首开地块户型分布图」
示意图,仅供参考,以官方最终发布为准
首开楼栋:
高层2栋5栋;叠加3、4、6、7栋
小高层:89㎡154套,103㎡75套,135㎡25套
叠墅:上叠145㎡28套,中叠146㎡28套,下叠148㎡28套
外立面效果图,仅供参考
叠墅外立面效果图,仅供参考
高层户型图:
「约89㎡ 3房2厅1卫」
「约103㎡ 3房2厅2卫」
「约135㎡ 4房2厅2卫」
叠拼户型图:
以“臻”之名
开启浦东三林的人居梦想
「臻」系,是招商蛇口继「玺」系产品系之后又一重磅力作!
臻系,招商蛇口旗下的高端产品系,致力于为精英人群打造高阶产品及生活方式。凡所落子之处,便填补一方人居生活的重要空白,诚如北京的招商臻园、南京招商局中心臻境,自问世以来便成为各自城市的理想生活居所。
北京招商臻园效果图
南京招商局中心臻境实景图
「招商臻境」正是百年招商上海首座臻系作品,将以“臻”之名,开启浦东三林的人居梦想。
项目以上海海派建筑的设计元素为基因,将经典海派的艺术精粹与摩登优雅的现代审美相融合,流动曲线勾勒优雅大气的建筑轮廓,将“静于已心,奢享世界”的静奢主义lifeDeco前沿生活理念融入其中,以建筑语言对国际化审美与趋势作出新的诠释。
站位前滩南
抢占陆家嘴升级版2.0高地
百年招商洞察城市发展脉络,「臻」系力作落子前滩南。
「招商臻境」地处前滩南三林区域,这里不仅汇聚着上海无限潜力的经济主动脉,未来更是静奢合一的国际高端宣居主场!
示意图
上海经济引擎,金色中环热势领航。
2021年浦东新区正式启动“金色中环发展带”建设工作,主要聚焦“3+5”重点地区,其中前滩被定为中央活动区,将要打造成为集总部商务、高端商业、国际教育、文化传媒、体育休闲于一体的汇集国际化奢潮的中央商务区,更要成为复合、生态、宜居的自然静谧中央活动区。如今,“国际范”的前滩,高端繁华堪比陆家嘴。
示意图
前滩门户新界面,前滩南三林片区。金色中环发展带和滨江商务文化休闲走廊的交汇处,中心城区八大生态楔形绿地之一,将建设成为以生态体验、文化艺术,健康宜居为主导的多元复合滨江楔形绿地,打造成为最生态、最海派、最未来的21世纪海派生活实践区,滨江国际高端宜居片区。
前滩南三林板块,不仅是板块发展的领航之地,更是当下丰盛日常的不二之选。前滩中央商务区旁+一线滨江资源+主城楔形绿地,辐射周边丰盛资源,优享收获生活的繁华与便捷,更心享日常的美好与从容。
立体交通枢纽+醇熟全维配套
演绎美好生活新主场
「招商臻境」有着立体交通枢纽,坐拥外环/中环/南北高架,串联前滩、陆家嘴、徐家汇等一级城市节点,轻松与世界会晤!
直线距离约5KM前滩:经上南路转华夏西路,直达前滩商务核心区;
直线距离约15KM陆家嘴:上南路转世博大道,直连陆家嘴环路,即达国际中心、正大广场陆家嘴核心商圈;
直线距离约14KM徐家汇:上南路进外环高架入口,转南北高架,过卢浦大桥转内环高架,出宛平南路即达徐家汇商圈。
示意图
项目近距离即达摩登前滩,尽享太古里、晶耀前滩、太古汇(在建中),信德文化中心(在建中)等奢潮生活圈。便捷执掌三林,新达汇、中房金谊广场、东方懿德城、上海中欧街,浸润主城静逸烟火。
示意图
值得一提的是,项目周边更有T型绿地公园规划;三林滨江约240公顷公园绿境还是城心为数不多的“城市绿肺”,是大多数人向往的“闹中取静”之地。
项目南向还将预留空地,用作学校、绿地公园规划,城市塔尖资源荟聚。未来居于此,1公里范围内,三林最核心的资源都可以享受到!
识别二维码
进入“「招商臻境」”看房通道
案场销售会第一时间与您联系
本文由【沪房新传播】团队整理
转载请声明出处
觉得有用的话,记得“分享·收藏·点赞·在看”哦!

