在电子技术领域,变压器作为能量转换与传输的核心组件,其性能直接影响设备的效率与稳定性。随着电子设备向高频、高效、小型化发展,变压器材料的选择愈发关键。在数百kHz的高频应用中,铁氧体与纳米晶材料成为主流选择。本文将深入探讨两种材料的性能差异,并分析如何通过工艺优化降低涡流损耗,提升高频变压器性能。
一、高频变压器材料的重要性
高频变压器通常工作在数百kHz甚至更高频率,对材料的磁性能和损耗特性要求严苛。铁氧体和纳米晶材料因具备优异的磁性能和可加工性,成为高频应用中的主要选择。
(一)铁氧体材料
铁氧体具有高磁导率、低矫顽力和良好的温度稳定性,广泛应用于低频至中频变压器。其优势包括:
- 高磁导率:提升变压器能量转换效率;
- 低损耗:适用于长时间稳定运行;
- 温度稳定性好:在宽温范围内保持性能稳定。
但在高频下,铁氧体损耗显著增加,磁导率下降明显,限制了其在高频场景的应用。
(二)纳米晶材料
纳米晶是一种新型软磁材料,具备更高的磁感应强度和更低的高频损耗,优势如下:
- 高磁感应强度:可达铁氧体的3倍以上,显著提高功率密度;
- 低高频损耗:经工艺优化后,损耗可低于铁氧体;
- 可加工性强:可通过带材工艺制成超薄结构,抑制涡流。
然而,纳米晶材料在高频下仍存在涡流损耗偏高的问题,需通过材料与结构优化加以控制。
二、涡流损耗的基本原理
涡流损耗是高频变压器磁芯的主要能量损耗之一。当交变磁场穿过磁芯时,在垂直方向产生闭合旋涡状感应电流,导致发热并消耗能量。
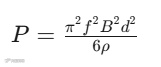
(一)涡流损耗公式
涡流损耗 \( P \) 可表示为:
其中:
- f:工作频率;
- B:磁感应强度;
- d:材料厚度;
- ρ:材料电阻率。
(二)影响因素分析
- 频率 f:损耗与频率平方成正比,频率越高,损耗急剧上升;
- 材料厚度 d:损耗与厚度平方成正比,减薄材料可显著降低损耗;
- 磁感应强度 B:损耗随B线性增长;
- 电阻率 ρ:电阻率越高,涡流越小,损耗越低。
三、铁氧体与纳米晶材料的性能对比
(一)铁氧体材料
在低频至中频段表现优异,但随频率升高,磁芯损耗迅速增加,磁导率衰减严重,难以满足高频高效需求。
(二)纳米晶材料
在高频下具备明显优势。通过超薄带材工艺和掺杂改性,其涡流损耗可控制在低于铁氧体水平。同时,更高的磁感应强度有助于缩小磁芯体积,提升功率密度。
(三)综合性能对比
四、降低纳米晶材料涡流损耗的方法
(一)带材工艺
采用超薄带材(如20–30μm)可大幅降低涡流损耗。由于损耗与厚度平方成正比,厚度减半,损耗降至原来的1/4。
(二)掺杂工艺
通过引入高电阻率元素(如铌、硅等)进行掺杂,提升材料整体电阻率,从而抑制涡流,降低损耗。
(三)优化设计
结合多层绕组结构与合理磁芯几何形状设计,减少磁场集中与涡流路径,进一步提升能效。
五、实际应用案例
(一)高频变压器设计
某电子制造商在200kHz高频变压器中采用纳米晶材料,结合超薄带材与掺杂工艺,成功将涡流损耗控制在低于铁氧体水平,整机效率显著提升。
(二)车载电感设计
汽车电子系统中,车载电感选用优化后的纳米晶材料,经工艺与结构双重改进,实现低损耗、高稳定性运行,满足严苛的车规级要求。
六、未来发展趋势
随着电子设备持续向高频化、小型化、高功率密度演进,对磁性材料性能提出更高要求。纳米晶材料凭借其优异的高频表现,有望在更多高端应用场景中替代传统铁氧体。
(一)材料工艺创新
未来将聚焦于更精密的带材制备技术,实现更薄、更均匀的纳米晶带材。同时,新型掺杂与热处理工艺将进一步提升材料电阻率与稳定性。
(二)设计优化
变压器设计将更加注重电磁场分布优化,采用多层绕组、复合磁路结构及智能监测技术,实现损耗最小化与运行可靠性最大化。
综上所述,铁氧体在中低频段仍具优势,但在高频应用中,纳米晶材料通过材料工艺与结构设计的协同优化,已展现出更强的竞争力。未来,随着技术进步,纳米晶将在高频电力电子领域发挥更大作用。

