大数跨境

电源的传导测试

电源的传导测试 一点电子
2023-10-24
51
导读:我们产品在做验证时,经常会遭遇到电磁干扰(EMI)的问题,有时处理起来需花费非常多的时间,许多工程师在
开关电源在产品验证阶段常面临电磁干扰(EMI)问题,处理过程耗时且对工程师的理论与实践经验要求较高。EMI测试主要分为传导测试(150kHz~30MHz)和辐射测试(30MHz~300MHz),其中传导干扰是设计中的重点难点。
本文系统介绍开关电源传导干扰的法规标准、测试方法、基本原理,并深入解析滤波器设计、PCB布局及变压器设计等关键环节的优化策略,帮助工程师提升EMI对策效率与产品合规性。

传导测试的法规

不同产品类别适用不同的EMI法规,常见标准包括欧洲EN-55022与美国FCC Part 15,均分为CLASS A(工业/商业环境使用)和CLASS B(住宅环境使用)。家用3C类电源通常需满足EN-55022 CLASS B标准,测试频段为150kHz~30MHz。
图1为EN-55022 CLASS B限值曲线,红色线为准峰值(QP)限值,粉红色线为平均值(AV)限值。测试目标是确保所有频率点的测量值均低于限值线。
实际认证中,建议预留至少2dB余量以应对测试场地差异;客户有时要求4~6dB余量,以防量产波动。

图2展示典型测试结果:蓝色曲线为峰值扫描结果,用于快速识别干扰频点。后续针对前6个高点进行准峰值(QP)和平均值(AV)精确测量。因QP与AV反映信号重复率与平均能量,其读数必然低于峰值。若峰值已有足够余量,可省去单点QP/AV测试。

现代IC普遍采用抖频技术(如65kHz±6kHz),将能量分散至多个频点,避免差模干扰集中在主频倍频处,从而改善传导表现。

传导的测试与量测方式

图3为传导测试配置示意图。待测物通过仿真负载置于桌面,经AC线缆连接LISN(线性阻抗稳定网络),再接入接收机。输入线缆不得接触地面,负载与待测物间距≥10cm。周边设备应使用独立电源,防止共地引入共模干扰。
图4为LISN内部结构。LF与CF滤除电网低频噪声,CC与RSL/RSN提取高频干扰信号Vsn,供接收机或频谱仪分析。

LISN的作用至关重要。输入线缆是否接地可导致读数相差10dB以上。建议周边仪器也接入LISN,利用其内部滤波实现电源隔离,避免外部干扰耦合。

对策EMI传导的基本概念

差模与共模信号

传导干扰分为差模(Differential Mode)和共模(Common Mode)两类。差模信号存在于L与N之间,由开关动作产生,尤其在150kHz~1MHz频段显著。共模信号存在于L/N与FG(地)之间,形成回路。
图5:差模信号路径
图6:共模信号路径

图7显示未加对策时的传导结果,前端呈现等间隔(100kHz)的差模干扰峰,对应IC开关频率及其倍频。共模背景呈线性衰减,差模信号叠加其上。

图7:未对策传导结果
图8:对策后传导结果(余量>6dB)
测试需分别测量L与N线,两者读数差异不应过大。电压选择依据安规要求,常用110V与230V。测试前需完成长时间烧机,避免磁性元件过热导致感量变化而影响EMI性能。

电场与磁场干扰

EMI包含电场与磁场两种耦合机制。随时间变化的电场产生磁场,反之亦然,二者共同构成电磁波传播。
电场干扰源于导体间电容耦合。任何带电导体与邻近导体构成等效电容,其容量受距离、面积和介质影响。当电压快速变化(dV/dt)时,产生位移电流,形成电场回路干扰。
图9:两导体间的电容模型
图10:等效电容

图11展示电场耦合路径:左侧导体电压变化,在右侧导体感应出耦合电流(红色箭头),形成干扰回路(棕色虚线)。

图11:电场耦合效应
图12:电压变化率公式
抑制电场干扰的关键是减小耦合电容或降低dV/dt,可通过增大间距、减小面积、改变介质或优化驱动速度实现。
磁场干扰由电流回路产生。根据安培定律,变化电流(dI/dt)周围形成交变磁力线,穿过邻近导体时感应电动势,造成干扰。

图13与图14展示电流回路产生的磁力线(虚线),尤其在PCB环路中易形成闭合磁场。

图13:安培右手定则
图14:PCB电流回路磁通

图15与图16显示变压器漏磁通分布。气隙区域存在大量漏磁(虚线),部分垂直穿过周边空间,可能干扰上方或下方元件。

图15:理想磁通路径
图16:气隙处漏磁通
抑制磁场干扰的方法包括:降低dI/dt、缩小电流回路面积、增加间距、减少导体暴露面积或使用屏蔽材料。
图17:电场耦合效应
图18:磁场耦合效应
综上,EMI根源在于高速电压/电流变化(dV/dt、dI/dt)。对策思路分为两类:一是抑制干扰源本身(如调整开关速度、使用缓冲电路、优化变压器设计);二是切断耦合路径(如使用LC滤波器、铜箔屏蔽、优化布线)。

寄生参数的影响

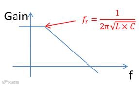
实际电路中广泛存在寄生电感(nH级)和寄生电容(pF级),在MHz频段影响显著。例如电感具有等效并联电容(ESC)和等效串联电阻(ESR),使其阻抗特性在自谐振频率(Fr)后由感性转为容性,失去高频抑制能力。
图19:电感阻抗-频率曲线
建议将EMI问题按频段划分:10MHz以下侧重变压器、滤波器、布线设计;10MHz以上还需关注缓冲电路、开关器件速度、屏蔽等措施。

布线(Layout)设计概念

不良布线是60%以上电源问题的根源。合理布局可有效控制电场与磁场耦合路径,降低EMI风险。

电源路径与信号路径分离

大电流路径(电源路径)包括输入、滤波、桥堆、大电容、变压器、MOSFET、二极管、输出电容等;小电流路径(信号路径)包括反馈、IC周边电路等。两者应尽量分离,避免相互干扰。
高电压节点(如MOSFET Drain、二极管阳极)应缩短走线、减小面积,以降低电场辐射;大电流回路(特别是次级侧)应缩短路径、加粗线宽,以减小磁场辐射。
图20:PFC+Flyback架构电流路径
图21:MOSFET Drain端电压波形
图22:二极管阳极端电压波形
可在大电容旁并联高频陶瓷电容(MLCC),提供局部高频电流回路,缩短路径,改善EMI。
图23:高频旁路电容布置

信号路径设计要点

辅助绕组(Vcc)回路应短而紧凑,避免形成大环路天线。IC供电引脚附近应放置0.1μF MLCC电容,就近接地,以滤除高频噪声。
图24:辅助绕组回路
小信号线路(如电流检测、反馈)极易受干扰,应远离高压、大电流区域。Rsense采样信号线应靠近IC布置RC滤波器,地线路径应短而粗,减少寄生电感影响。
图25:反激式架构小信号路径
GND走线对EMI影响重大。推荐“心脏接地”方式:以IC旁MLCC为中心,所有周边地线汇聚于此,再统一连接至功率地,确保信号地清洁。
图26:推荐GND布局
大面积导体(散热片、外壳、线缆)如同天线,必须妥善接地,避免浮空耦合高频干扰。

EMI滤波器设计概念

基本原理

EMI滤波器通常为二阶低通结构,置于输入前端,越靠近入口效果越好。由电感与电容组成,用于衰减高频干扰。
图27:EMI滤波器结构
图28:滤波器频率响应

差模与共模滤波路径

差模滤波由X电容与差模电感(L1/L2)构成;共模滤波由共模电感与Y电容组成。需明确干扰类型,针对性设计。
图29:EMI滤波电路

实际元件选型考虑

真实元件存在寄生参数。电容有等效串联电感(ESL)和电阻(ESR),在自谐振频率后阻抗上升,表现为电感性。
图30:电容等效电路
图31:电容阻抗-频率特性
图32:0.47μF X电容实测特性
图33:不同容值电容阻抗对比
图34:Z5U与NPO电容特性对比
图35:不同封装电容ESL影响
电感同样存在寄生电容,导致高频阻抗下降。绕法(如交叉绕、蝴蝶绕)可降低分布电容,提升高频性能。
图36:电感等效电路
图37:电感阻抗-频率特性
图38:不同圈数电感阻抗对比

变压器在传导的设计概念

基本结构与电场耦合

变压器初级与次级间存在层间电容,开关瞬间的高压变化(dV/dt)通过该电容耦合电流,引发共模干扰。绕组电位差越大(如MOSFET Drain端),耦合越强。
图39:磁通方向
图40:反激电路简图
图41:开关波形
图42:电容耦合电流路径
建议从高dV/dt点起绕,外层用低电位导体包裹,形成屏蔽效果。

内铜箔与Y电容

在初次级间加入内铜箔并接至初级地,可引导耦合电流返回本侧,大幅降低跨级电容效应。
图47:内铜箔结构
图48:内铜箔作用等效
Y电容为共模电流提供低阻抗回流路径,减少对外泄漏。其容值与连接位置需根据具体设计调整。
图49:Y电容作用路径

漏磁与外铜箔

气隙区域是漏磁集中区,易引发磁场干扰。可通过中心气隙设计、加装屏蔽铜箔等方式缓解。
图50:漏磁通分布
外铜箔(包裹铁芯或线包)可产生涡流抵消漏磁,同时抑制电场耦合,实现双重屏蔽。
图51:外铜箔包覆方式

对策EMI——传导的方法

进行传导测试前应确认:
  • 测试标准、电压条件、负载类型(仿真或系统)、工作模式是否正确;
  • 周边设备(显示器、USB等)是否引入干扰;
  • 输入/输出线材是否使用量产规格;
  • 散热片、外壳是否良好接地;
  • 是否已完成烧机验证。
150kHz~10MHz频段干扰多为操作频率倍频(差模)叠加共模成分,可通过优化EMI滤波器、变压器结构、Y电容值及PCB布局加以抑制。

结语

EMI防控是开关电源设计的核心挑战之一。其本质源于高速电压/电流变化与寄生参数的交互作用。掌握电场与磁场干扰机理,理解元件非理想特性,结合科学的布线、滤波与变压器设计,方能系统性解决传导干扰问题,确保产品顺利通过认证。
【声明】内容源于网络
0
0
一点电子
1234
内容 723
粉丝 0
一点电子 1234
总阅读12.3k
粉丝0
内容723