1.新疆胡杨河市事业单位招聘167人公告(第二批)
2.兵团第九师事业单位招聘205名人员公告
3.新疆大学2021年第三批招聘事业编制工作人员公告
4.新疆财经大学2021年第二批招聘工作人员公告
5.新疆财经大学2021年第二批招聘专任教师公告

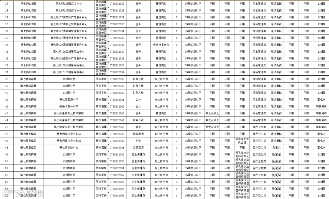
1.新疆兵团第七师胡杨河市事业单位招聘
工作人员167人公告(第二批)
为及时补充新疆生产建设兵团第七师胡杨河市(以下简称师市)事业单位工作力量,根据《事业单位人事管理条例》(国务院令第652号)和《关于做好2021年度兵团事业单位公开招聘工作有关事项的通知》(兵人社发电〔2021〕10号)等有关法规政策,第七师胡杨河市决定组织开展事业单位工作人员公开招聘工作。
一、招聘原则和方法
招聘工作坚持公开、公平、公正的原则和德才兼备的用人标准,采取笔试、面试、体检与考察相结合的方法进行。
二、招聘计划
2021年第七师胡杨河市事业单位拟公开招聘工作人员167人。其中,教育教学岗78名,医疗卫生岗26名,综合管理岗63名。




三、招聘对象和条件
(一)招聘对象
面向社会公开招聘各类高校毕业生。部分岗位招聘具有中级以上职称的专业技术人员。
(二)招聘条件
1.年龄要求:年满18周岁以上、35周岁及以下的应聘人员:即1985年8月31以后出生;年龄要求在40周岁及以下的应聘人员:即1980年8月31日以后出生;年龄要求在45周岁及以下的应聘人员:即1975年8月31日以后出生。
2.遵守宪法和法律,拥护中国共产党领导和社会主义制度;
3.具有良好的道德品行和正常履行职责的身体条件;
4.具有符合岗位要求的学历学位与工作能力;
5.具备岗位所要求的其他资格条件;
6.机关、国有企事业单位工作人员报考,须经原工作单位同意,在资格审核时需提供单位同意报考证明;
具体岗位及招聘条件详见《第七师胡杨河市事业单位公开招聘岗位表》。
(三)下列人员不属于招聘范围
1.曾因犯罪受过刑事处罚的人员和曾被开除公职的人员;
2.受到党纪政务处分期限未满或正在接受纪律审查的人员;
3.处于刑事处罚期间或者正在接受司法调查尚未做出结论的人员;
4.在公务员、事业单位招考中被认定有作弊行为且不得报考的人员;
5.现役军人;
6.在公务员和事业单位的公职人员被辞退未满5年的。
7.在公务员、事业单位录(聘)用后,未按规定时间到岗,或录(聘)用后,因故取消录(聘)用资格后,未满3年的人员。
8.法律、法规和有关政策规定的其他情形。其中,报考人员不得报考构成回避关系的招考岗位。
四、信息发布平台
兵团考试信息网(http://btpta.xjbt.gov.cn/)、兵团第七师门户网(http://www.nqs.gov.cn/)为此次招聘工作各类信息发布的官方平台。智联招聘网站为指定报名网站。报考人员可在规定的报名时间段登陆智联招聘网站进行报名。
报名连接入口:http://btdqshyhs.zsjcyxm.com/
五、招聘工作程序及相关政策
招聘工作程序为:网上报名、资格审查、线上笔试、资格复审、线上面试、体检、考察、公示、审批聘用。
(一)网上报名
网上报名时间:
2021年9月1日10:00至9月15日18:00。
1.报考人员可通过兵团考试信息网、兵团第七师门户网站查询《第七师胡杨河市事业单位公开招聘岗位表》(以下简称《岗位表》)。需要咨询时,请拨打《岗位表》中注明的政策咨询电话。
2.报考人员在规定的报名时间段登陆智联招聘指定报名网站(http://btdqshyhs.zsjcyxm.com/),通过网上报名系统如实填写(报名表),并上传以下材料的电子版:
(1)有效居民身份证、学历证书(学信网学历证明)、报考岗位要求的资格证书扫描件等材料。
(2)国家机关和国有企事业单位在职人员报考的,须提供所在单位出具的同意报考证明。
(3)中共党员证明(岗位要求需中共党员(含预备)的,应提供所在院系,单位组织部门出具的证明,未作要求的不提供)。
(4)岗位要求有“基层工作经历”的,报考人员还需开具基层工作经历证明。基层工作经历是指具有在县级及以下党政机关、国有企事业单位、村(社区)组织及其他经济组织、社会组织等工作的经历。离校未就业高校毕业生到高校毕业生实习见习基地(该基地为基层单位)参加见习或者到企事业单位参与项目研究的经历,可视为基层工作经历。退役士兵在军队团和相当于团以下单位工作的经历,可视为基层工作经历;应届毕业生在校期间的社会实践经历,不能视为基层工作经历。大学生在校期间参加相关工作的,即使与单位签订劳动合同并开始缴纳社会保险,也不视为基层工作经历。
(5)取得国(境)外学历的人员,需在报名前完成教育部留学服务中心的学历认证,并上传认证证明材料。报考人员可登陆教育部留学服务中心网站(www.cscse.edu.cn)查询国(境)外学历认证的有关要求和程序。
(6)报考岗位所需的其他材料。
报考人员只能选报一个岗位。报考人员要结合自身实际,认真阅读报考岗位设定的条件,选报自己适合的岗位,防止错报、误报。报名时,报考人员要仔细阅读诚信承诺书,提交的报考信息应当真实、准确。提供虚假报考信息的,一经查实,即按相关规定取消报考资格。对伪造、涂改证件、证明等报名材料,骗取报考资格及恶意注册报名信息、扰乱报名秩序的,将按照《事业单位公开招聘违纪违规行为处理规定》(人力资源和社会保障部第35号令)的有关规定予以处理。
(二)资格审查
资格审查时间:
2021年9月1日10:00至9月15日19:00。
招聘单位按照岗位要求的资格条件,结合报考人员上传的毕业院校、所学专业、学历等材料,对报考人员进行资格审查,确定符合笔试条件人员名单。资格审查通过人员,进入笔试环节。
考生可通过报名系统(http://btdqshyhs.zsjcyxm.com/)点击右上角【查看报名状态】,查询是否通过网上资格初审。如未通过,请及时改报其他职位。
(三)笔试
1.笔试开考比例
开考比例为1:3。报名结束后,达不到开考比例的,根据岗位报名情况取消或核减该岗位招聘计划。
2.岗位取消
对达不到开考比例的岗位取消招聘计划,取消或核减招聘计划的岗位于9月16日下午14:00在兵团第七师门户网站人事信息板块公布。被取消招聘岗位且不申请岗位改报的报考人员,报名费将于30日内通过原缴费渠道予以退费。报名成功与否以缴费为依据。
3.岗位改报
被取消招聘岗位的报考人员可于9月16日16:00-18:00,登陆报名系统进行岗位改报。资格初审合格人员不得再参与岗位改报。(岗位改报时间段内,首次报名的考生不予进行资格审查)。
4.笔试缴费时间
笔试缴费时间:
2021年9月1日12:00至9月15日24:00。
通过资格初审的报考人员必须在2021年9月15日24:00前完成网上缴费,报名成功与否以缴费确认为准。笔试岗位报名、考试费用共计95元,免笔试岗位报名费15元。报考人员由于个人原因未能参加考试的,不予退费。
5.笔试时间
笔试时间:2021年9月25日10:00
6.笔试科目
笔试包括《职业能力倾向测验》和《综合应用能力》两部分内容(汉语试卷),两部分试卷满分均为100分。
7.笔试形式
本次笔试采取在线笔试的方式进行,考生通过自备电脑登录“智联招聘笔试系统”在线笔试板块参加在线笔试。
8.软硬件设备及要求
(1)笔试电脑要求
考生自备带有麦克风、摄像头的电脑(建议使用笔记本电脑),电脑配置要求如下:
操作系统:微软系统window7、8、10、苹果系统14以上;
内存:4G(含)以上(可用内存至少2G以上);
网络:需要连接互联网(确保网络正常稳定,带宽4M以上,无线网络不稳定时使用手机热点);
硬盘:电脑总存储容量至少20G(含)以上可用空间;
摄像头:电脑自带摄像头或外接摄像头;
麦克风:具有收音功能的麦克风。
(2)笔试监控设备要求
一台移动设备(手机),须带有摄像头、具有录像功能、能满足连续摄像两个半小时的电量。考试开始前,用移动设备摄像头环顾考试环境,并最终将移动设备固定在能够拍摄到考生桌面、考生电脑桌面、周围环境及考生行为的位置,全程进行视频监考。
未按照要求准备设备的考生,导致无法正常进行视频笔试,由考生自行承担后果。
9.笔试环境
考生所在的笔试环境应为光线充足、封闭、无其他人、无外界干扰的安静场所,考生端坐在距离摄像头1250px(误差不超过±125px),着白色或浅色无领上衣,笔试背景需保持整洁,考生需要保证双手及肩部以上全部呈现在摄像头可视范围内。
10.模拟笔试
(1)模拟笔试时间:
2021年9月23日(全天)
(2)模拟笔试前,智联招聘会以短信和邮箱形式向考生发送笔试邀请;考生须点击收到的短信或邮箱里的电子准考证链接进行模拟笔试,电子准考证上有考生信息、正式考试链接及登录账号和密码、“模拟练习”按钮等,考生通过电子准考证上的“模拟练习”按钮进行考试设备测试。
(3)为确保正式笔试正常进行,在模拟笔试前,考生须登录智联招聘笔试系统,进行模拟演练,未按照要求进行操作的考生,正式笔试出现问题,由考生自行承担责任。
(4)考生须在模拟笔试时调试完成笔试所需要硬件设备和软件要求,如因考生未参加模拟笔试、模拟笔试未将面试设备调试到可用状态等原因,导致正式笔试不能正常进行,由考生自行承担后果。
11.正式笔试
正式在线笔试时间:2021年9月25日10:00
正式笔试前,考生打开短信或邮箱里的电子准考证链接,将电子准考证里的正式笔试链接粘贴到谷歌或360极速浏览器地址栏中,输入帐号、密码进行登录。因个人原因延迟登录的,视为放弃本次应聘资格,不再提供补考机会。
正式考试设备须与模拟考试是同一台设备,如果临时换设备,导致无法进入笔试系统参加考试,考生自行承担责任。
12.成绩公布
笔试结束后,由第七师人社局根据笔试成绩总体情况,按照不同类型岗位分别划定笔试成绩最低合格分数线。笔试成绩低于最低合格分数线者,取消进入下一环节资格。
笔试成绩及最低分数线于笔试结束三天后登陆兵团第七师门户网人事信息板块查询。
13.注意事项
(1)未在规定时间内完成缴费的考生,无法参加笔试,后果由考生自行承担。
(2)在正式笔试前,请考生将设备及网络调试到最佳状态,电脑端摄像头全程开启。笔试过程中由于设备硬件故障、断电断网等导致笔试无法正常进行的,用手机开设热点保持网络通畅,笔试结束后与工作人员说明情况,未与工作人员联系的考生,自行承担后果。
(3)为保障笔试能够顺利进行,请考生在笔试过程中切勿切换浏览器、更新浏览器、自动更新系统或重装系统。同时,必须关闭QQ、微信、钉钉、内网通等所有通讯工具及TeamViewer、向日葵等远程工具。不按此操作导致笔试过程中出现故障而影响面试,由考生自行承担责任。
14.笔试行为规范
(1)在登录电脑端智联招聘笔试系统后,请务必用手机微信扫描手机监控二维码进入手机监控界面,以保证实时监控及考试全过程录像对考试公平进行佐证。《线上考试操作流程》(https://kdocs.cn/l/suytORGgXh6N?f=101)
(2)在正式开始考试前,请考生将设备及网络调试到最佳状态,电脑和移动设备端摄像头全程开启。考试过程中由于设备硬件故障、断电断网等导致考试无法正常进行的,由考生自行承担责任。
(3)系统登录采用人证核身识别,考试全程请确保为本人,如发现替考、作弊等违纪行为,一律取消考试资格。
(4)考生登录系统前,请将手机调至静音状态,考试全程未经许可,不得接触和使用手机,如考试中途出现系统故障等需要协助处理的问题,请考生主动联系技术人员,考生只允许与考试系统技术进行沟通。若考生拍摄佐证视频所使用的移动设备为手机,则在考试过程中,考生与技术人员沟通后,考生务必将手机放回原录制位置,继续拍摄佐证视频,以确保佐证视频的有效性。凡发现未经许可接触和使用通讯工具的,一经发现,一律按违纪处理。
(5)正式考试当天,请考生提前30分钟登录智联招聘在线考试系统。因个人原因延迟进入考试系统,延误时间仍计入考试总时长。在开考30分钟后,考生仍未进入考试系统,视为自动放弃考试资格。
(6)考试过程中,考试系统会全程对考生的行为进行监控,因此考生本人务必始终在监控视频范围内,同时考生所处考试环境不得有其他人员在场,一经发现,一律按违纪处理。
(7)考试系统后台实时监控,全程录像、抓拍。在考试期间禁止使用快捷键切屏、截屏以免导致系统卡顿、退出,所造成的后果,由考生自行承担责任。不允许多屏登录,一经发现,一律按违纪处理。
(8)考试过程中,考生若有疑似违纪行为,系统将自动记录,考试结束后由考务工作小组根据记录视频、电脑截屏、作答数据、监考员记录、系统日志等多种方式进行判断,以下情况会被系统判定为异常情况:①人像离屏、②面部有遮挡、③照片与本人不符、④画面内被识别到多人面部。被判定为监控异常的画面上传到考试后台的考试详情页,实属违纪的将作出违纪处理,取消考试资格,认定考试成绩无效。
(9)考试过程中,考生不得中途离开座位,不得浏览网页、线上查询,不得在考试结束后传递、发送考试内容,一经发现,一律按违纪处理,考生承担由此带来的法律责任。
(10)考试结束时,系统将提示交卷,对于超时仍未交卷的考生,系统将做强制交卷处理。
(11)考生若没有按照要求进行登录、答题、保存、交卷,将不能正确记录相关信息,后果由考生承担。
(12)如违反以上相关要求导致考试异常,由考生自行承担责任;属于违纪行为的,一律取消考试成绩。
15.请各位考生认真阅读以上内容,下载相应软件,严格遵守考场纪律,违反纪律者,考试成绩无效。
(四)面试
1.面试时间:2021年10月16日至10月17日
2.线上面试,面试采取结构化面试的形式进行(教育教师岗位采取试讲的形式进行,医疗卫生类岗位采取半结构化形式进行)。按照笔试成绩由高到低的顺序,以职位拟招聘人数1:3的比例确定进入面试人员。达不到比例的,以实际人数确定进入面试人员。免笔试的职位参加面试的人数由用人单位按照岗位招聘人数实际情况择优确定。
3.成绩公布
面试成绩满分100分,最低合格分数线为60分。考生面试成绩当场公布,面试成绩未达到面试最低合格分数线的,不能进入体检环节。
(五)考试总成绩确定
1.考试总成绩=(笔试成绩÷2)×50%+面试成绩×50%。
2.考试总成绩保留小数点后两位小数。同一岗位招聘计划内最后一名报考人员考试总成绩出现并列的,并列人员以笔试成绩排序。笔试成绩也相同的,通过加试成绩高低排序(加试形式根据实际确定)。
(六)体检
按照总成绩由高到低的顺序,以职位拟招聘人数1:1的比例确定体检人员。体检参照《关于修订〈公务员录用体检通用标准(试行)〉及〈公务员录用体检操作手册(试行)〉有关内容的通知》(人社部发〔2016〕140号,详见国家人力资源和社会保障部、公务员局网站)等规定组织实施。招聘单位在与考生签订诚信承诺书的前提下,体检可以采取委托的方式进行,并约定到岗后进行复核,如存在不诚信行为,取消考生聘用资格。
(七)递补
在考察环节之前,如有考生放弃本次招聘考试,视情况依次递补后续考生。体检环节考生只递补一次。后续环节不再递补考生。
(八)考察
体检合格的报考人员进入考察环节。用人单位及主管部门牵头组织考察,在考察中,经审定不符合招聘要求、截止公示前未能提交岗位所需学历(学位)证书或证明材料的人员,考察结论为不合格,取消进入下一环节资格。招聘单位在与考生签订诚信承诺书的前提下,考察可以采取委托的方式进行,并约定到岗后进行复核,如存在不诚信行为,取消考生聘用资格。
(九)公示
第七师胡杨河市人力资源和社会保障局按照岗位拟招聘计划数,根据报考人员的总成绩、体检结果、考察情况等确定拟聘用人员,并在兵团考试信息网进行为期7天的公示。
(十)审批聘用
公示期满未收到举报或举报问题不影响聘用的,由第七师胡杨河市人力资源和社会保障局按有关规定和程序办理审批手续,由各用人单位办理聘用手续。聘用单位与受聘人员及时签订聘用合同,初次聘期为5年,初次就业试用期为12个月。试用期包含在聘用合同期限内。
(十一)到岗后资格复核
拟聘用人员报到后,招聘单位对考生资格条件、体检、考察等相关情况进行复核,如存在不诚信的行为,取消其聘用资格。
六、监督
第七师胡杨河市纪委监委对本次招聘工作进行全过程监督。参加招聘工作的考官或工作人员要严格实行回避制度。对于违反规定的考官、工作人员,将按照《中国共产党纪律处分条例》《事业单位公开招聘违纪违规行为处理规定》及《事业单位人事管理回避规定》进行严肃查处、追责问责。报考人员违反规定的,视情节轻重,取消其考试资格;有舞弊等严重违反聘用纪律行为的,按照上述有关规定处理;不属于报考范围已被聘用的,取消其聘用资格。
监督电话:0992-6687681
七、招聘有关事项
1.请各位报考人员务必按时参加要求的各项考务活动,超过时限未参加者,视为自动放弃。
2.本《公告》确定的时间、方式,因特殊情况发生变化另行通知。公告及有关通知或安排发布的官方网站为兵团考试信息网。因查看其他渠道的错误信息造成的报考失误,由报考人员自行负责。
3.本公告所附相关文件与公告具备同等效力,请报考人员仔细阅读。因不遵守规定或个人疏忽造成的报考失误所带来的一切后果由报考人员自行承担。对违反招聘纪律的报考人员,按有关规定处理,触犯法律的,交由司法机关依法处理。
4.报考人员对自己报名时填写的信息负责。报考人员应信守本人在网上报名时签署的诚信承诺,在网上报名时如实填写、上传个人信息,如报名填写信息与报考人员所持证明材料不一致,将被视为失信行为,由此带来的资格审查不合格及其他后果,由报考人员自行承担。
5.对考生的资格审查贯穿招聘工作全过程,在招聘过程中任何环节发现有报考信息不实、条件不符、弄虚作假等影响聘用情形的,一律取消其聘用资格。
6.本次考试不指定考试辅导用书,不举办也不委托任何机构开展考试辅导培训,敬请广大报考人员提高警惕,切勿上当受骗。
7.本《公告》由第七师胡杨河市人力资源和社会保障局负责解释。
政策咨询电话:0992-3906059
报名网站技术支持电话:022-58703000-85606
第七师胡杨河市人力资源和社会保障局
2021年8月24日
附件1:第七师胡杨河市事业单位公开招聘岗位表.xlsx
附件2:第七师胡杨河市事业单位公开招聘专业目录.docx
附件3:第七师胡杨河市事业单位公开招聘笔试须知及考场规则.docx

2.兵团第九师事业单位招聘205名人员公告
为及时补充新疆生产建设兵团第九师事业单位工作力量,根据《事业单位人事管理条例》(国务院令第652号)和《关于做好2021年度兵团事业单位公开招聘工作有关事项的通知》(兵人社发电〔2021〕10号)等有关法规政策,第九师决定组织开展事业单位工作人员公开招聘工作。
一、招聘原则和方法
招聘工作坚持公开、公平、公正的原则和德才兼备的用人标准,采取笔试、面试、体检与考察相结合的方法进行。
二、招聘计划
此次招聘事业单位工作人员共计205名,涉及127个岗位。其中:综合管理类岗位105个,计划招聘176人;教育教师类岗位19个,计划招聘25名;医疗卫生类岗位3个,计划招聘4人。
三、招聘对象和条件
(一)招聘对象
面向社会公开招聘各类高校毕业生。具体要求详见附件1。
(二)招聘条件
1.年龄要求年满18周岁以上、30周岁及以下的应聘人员,即1990年8月30日以后出生;年龄要求在35周岁及以下的应聘人员,即1985年8月30日以后出生;年龄要求在40周岁及以下的应聘人员,即1980年8月30日以后出生。
2.遵守宪法和法律,拥护中国共产党领导和社会主义制度;
3.具有良好的道德品行和正常履行职责的身体条件;
4.具有符合岗位要求的学历学位与工作能力;
5.限在疆服务的基层项目人员(西部计划大学生志愿者、大学生村官(连官)、“三支一扶”人员、特岗教师)的,服务期限为1年服务期的须满8个月以上方可报考,服务期限为2年以上服务期的须满16个月以上方能报考(服务期限的计算截止日期为2021年8月30日);
6.具备岗位所要求的其他资格条件;
7.机关、国有企事业单位工作人员报考,须经原工作单位同
意,报名时需提供单位同意报考证明;
具体岗位及招聘条件详见《第九师事业单位公开招聘岗位表》。
(三)下列人员不属于招聘范围
1.曾因犯罪受过刑事处罚的人员和曾被开除公职的人员;
2.受到党纪政务处分期限未满或正在接受纪律审查的人员;
3.处于刑事处罚期间或者正在接受司法调查尚未做出结论的人员;
4.在公务员、事业单位招考中被认定有作弊行为且不得报考的人员;
5.现役军人;
6.法律、法规和有关政策规定的其他情形。其中,报考人员不得报考构成回避关系的招考岗位。
(四)以下岗位报考人员免笔试(具体以《岗位表》为准):
师事业单位招聘硕士及以上学历高校毕业生的岗位。
四、信息发布平台
兵团考试信息网(http://btpta.xjbt.gov.cn/,下同)、九师政务网(http://www.njs.gov.cn/)为此次招聘工作各类信息发布的官方平台,科锐国际睿聘招考一体化系统报名网站为指定报名网站,网址为:
https://zhaokao.caidaocloud.com/rp-web/#/index/ff8080817b56ba15017b811e4e685efb
五、招聘工作程序及相关政策
招聘程序主要为:网上报名、资格审查、线上笔试、面试、体检、考察、公示、审批聘用、到岗后资格复核等程序依次进行。
(一)网上报名
网上报名时间:2021年8月30日10:00至9月13日17:00。
1.报考人员可通过兵团考试信息网、九师政务网查询《第九师事业单位公开招聘岗位表》(以下简称《岗位表》)。需要咨询时,请拨打《岗位表》中注明的政策咨询电话。
2.报考人员在规定的报名时间段登录科锐国际睿聘招考一体化系统报名网站:
https://zhaokao.caidaocloud.com/rp-web/#/index/ff8080817b56ba15017b811e4e685efb
《考生网上报名及改报岗位操作说明》详见附件3
通过网上报名系统如实填写个人信息,并上传以下材料的电子版:
(1)有效居民身份证、学历(学位)证书(学信网学历证明,2021年应届毕业生暂未取得毕业证须提供《教育部学籍在线验证报告》)、报考岗位要求的资格证书扫描件等材料。
(2)国家机关和国有企事业单位在职人员报考的,须提供所在单位出具的同意报考证明。
(3)中共党员证明(岗位要求需中共党员(含预备)的,应提供所在院系,单位组织部门出具的证明,未作要求的不做用提供)。
(4)岗位要求有“基层工作经历”的,报考人员还需开具基层工作经历证明。基层工作经历是指具有在县级及以下党政机关、国有企事业单位、村(社区)组织及其他经济组织、社会组织等工作的经历。离校未就业高校毕业生到高校毕业生实习见习基地(该基地为基层单位)参加见习或者到企事业单位参与项目研究的经历,可视为基层工作经历。退役士兵在军队团和相当于团以下单位工作的经历,可视为基层工作经历;应届毕业生在校期间的社会实践经历,不能视为基层工作经历。大学生在校期间参加相关工作的,即使与单位签订劳动合同并开始缴纳社会保险,也不视为基层工作经历。
(5)取得国(境)外学历的人员,需在报名前完成教育部留学服务中心的学历认证,并上传认证证明材料。报考人员可登录教育部留学服务中心网站(www.cscse.edu.cn)查询国(境)外学历认证的有关要求和程序。
(6)考生承诺书(附件4)
(7)岗位所需的其他材料。
考生未按要求如实提供以上报考材料的,造成的一切后果由考生自行承担。
3.报考人员只能选报一个岗位。报考人员要结合自身实际,认真阅读报考岗位设定的条件,选报自己适合的岗位,防止错报、误报。报名时,报考人员要仔细阅读诚信承诺书,提交的报考信息应当真实、准确。提供虚假报考信息的,一经查实,即按相关规定取消报考资格。对伪造、涂改证件、证明等报名材料,骗取报考资格及恶意注册报名信息、扰乱报名秩序的,将按照《事业单位公开招聘违纪违规行为处理规定》(人力资源和社会保障部第35号令)的有关规定予以处理。
(二)资格审查
网上资格审查时间:2021年8月30日10:00至9月13日21:00。
1.招聘单位按照岗位要求的资格条件,结合报考人员上传的毕业院校、所学专业、学历等材料,对报考人员进行资格审查,确定符合笔试条件人员名单。资格审查通过人员,进入笔试环节。
2.免笔试岗位按照岗位要求的资格条件对报考人员进行初审,初审通过后结合报考人员上传的毕业院校、所学专业、学习成绩、在校表现等材料,对报考人员进行面试资格审查,择优确定面试人选。资格审查通过人员,进入面试环节。
报考人员登录兵团考试信息网、九师政务网、科锐国际睿聘招考一体化系统报名网站查询是否取得笔试、面试资格。
(三)笔试缴费
网上笔试缴费时间:2021年8月30日10:00至9月14日中午12:00。
1.通过资格初审的报考人员必须在2021年9月14日中午12:00前完成网上缴费。笔试报名、考试费用共计95元。报考人员由于个人原因未能参加考试的,不予退费。
2.笔试缴费只支持电脑端链接打开,然后用手机微信扫码缴费;请勿将缴费二维码截图保存再转发缴费。未在规定时间内完成缴费的考生,无法参加正式笔试环节,视为自动放弃笔试资格,所产生的后果由考生自行承担。
3.免笔试人员不收取报名、考试费。
(四)笔试
1.笔试开考比例。第九师161团、165团、166团、167团、168团、170团、团结农场事业单位开考比例为1:2,其余单位开考比例为1:3。
报名结束后,达不到开考比例的,根据岗位报名情况取消该岗位招聘计划。因某岗位招聘计划数较多,报考人数未达到规定比例要求的,相应核减该岗位招聘计划数。
2.岗位取消。对达不到开考比例的岗位取消招聘计划,取消招聘计划的岗位于9月16日上午10:00在九师政务网公布。被取消招聘岗位且不申请岗位改报的报考人员,报名费将于30日内通过原缴费渠道予以退费。
3.岗位改报。被取消招聘岗位的报考人员可于9月16日10:00-16:00,登录科锐报名系统进行岗位改报。资格初审合格人员不得再参与岗位改报。(岗位改报时间段内,首次报名的考生不予进行资格审查)。
4.笔试时间
本次考试分为模拟笔试和正式笔试,时间安排如下:
(1)笔试通知信息发送时间
模拟笔试:2021年9月23日
正式笔试:2021年9月24日
如考生未收到模拟笔试或正式笔试通知短信,可登录科锐国际招考一体化系统查看系统通知。
(2)笔试时间
模拟笔试时间:2021年9月24日10:00-18:00(考生自行安排)
正式笔试时间:2021年9月25日10:00-12:30
5.笔试科目
笔试包括《职业能力倾向测验》和《综合应用能力》两部分内容(汉语试卷),试卷满分为100分。
6.笔试形式
本次笔试采取“线上笔试”方式进行,考生需提前准备笔记本电脑或带有摄像头及语音设备的台式电脑。
请考生认真阅读附件《在线笔试考生须知》(附件5),《在线笔试操作说明》(附件6)并提前下载相应软件,严格遵守考生考场纪律,违反纪律者,考试成绩无效。
7.笔试安排
本次笔试分为模拟笔试和正式笔试,相关安排如下:
(1)模拟笔试相关安排
①模拟笔试前,工作人员将在2021年9月23日以短信及系统通知方式向考生发送模拟笔试通知,请考生注意查收。模拟笔试通知中包含考试口令,准考证号,模拟笔试时间、笔试客户端下载链接。(如考生未收到正式考试短信通知,可于2021年9月23日18:00后登录科锐国际招考一体化系统进行查看。)
②为确保模拟笔试及正式笔试正常进行,考生须在2021年9月24日前使用最近新版本谷歌浏览器下载“科锐国际招考一体化易考”笔试客户端。下载完成后在模拟笔试时间登录笔试系统输入模拟考试口令进行模拟笔试,逾期未下载笔试客户端或未按照要求进行操作导致未能正常参加模拟笔试的考生,正式笔试出现问题,由考生自行承担责任。(如考生未收到正式考试短信通知,可于2021年9月24日18:00后登录科锐国际招考一体化系统进行查看。)
③考生须在模拟笔试前,调试完成笔试所需要硬件设备和软件要求,如因考生未参加模拟笔试、模拟笔试未将笔试设备调试到可用状态、调试完毕后更换笔试设备或笔试环境等原因,导致正式笔试不能正常进行,由考生自行承担责任。
④模拟考试成绩不计入正式成绩,完成作答后考生可随时交卷,结束模拟考试。每名考生有且仅有一次模拟考试的机会,点击结束考试后不可再次参加模拟考试。请考生务必完整体验整个作答、交卷过程,以便测试考生个人电脑的软硬件和网络条件。
(2)正式笔试相关安排
①正式笔试前工作人员将在2021年9月24日以短信及系统通知方式向考生发送正式笔试通知,请考生注意查收。请按时间要求登录笔试客户端输入正式笔试考试口令参加在线笔试,因个人原因延迟登录的,视为放弃本次应聘资格,不再提供补考机会。(正式考试口令与模拟考试口令不同,请考生注意区分,详细阅读短信内容)
②正式考试前,考生通过接收到的正式考试通知,输入考试口令进入考试。可提前30分钟登录考试系统,正式考试开始后还未登录的考生,将无法参加考试。
③本次笔试12:30统一收卷,考生不可提前交卷。
7.成绩公布
笔试结束后,由师人社局根据笔试成绩总体情况,按照不同类型岗位分别划定笔试成绩最低合格分数线。笔试成绩低于最低合格分数线者,取消进入下一环节资格。
笔试成绩及最低分数线请考生登录九师政务网、招考一体化系统查询。
(五)面试
1.面试时间及方式:公布笔试成绩时予以通知。
2.面试采取结构化面试的形式进行(中小学教师岗位采取说课或试讲的方式进行,幼儿园教师岗位采取“试讲+专业技能展示”的方式进行)。按照笔试成绩由高到低的顺序,以职位拟招聘人数1:3的比例确定进入面试人员。达不到比例的,以实际人数确定进入面试人员。因弃权或取消资格造成的空缺,按笔试成绩由高到低的顺序依次递补。免笔试的岗位参加面试的人数按照岗位拟招聘人数实际情况择优确定。
3.成绩公布
面试成绩满分100分,最低合格分数线为60分。考生面试成绩当场公布,面试成绩未达到面试最低合格分数线的,不能进入体检环节。
(六)考试总成绩确定
1.考试总成绩=笔试成绩×50%+面试成绩×50%。(免笔试岗位考试总成绩=面试成绩)
2.考试总成绩保留小数点后两位小数。同一岗位报考人员考试总成绩出现并列的,并列人员以笔试成绩排序。笔试成绩也相同的,通过加试成绩高低排序(加试形式根据实际确定)。
(七)体检
按照总成绩由高到低的顺序,以职位拟招聘人数1:1的比例确定体检人员。体检参照《关于修订〈公务员录用体检通用标准(试行)〉及〈公务员录用体检操作手册(试行)〉有关内容的通知》(人社部发〔2016〕140号,详见国家人力资源和社会保障部、公务员局网站)等规定组织实施。体检须开展吸毒人员的排查检查,吸毒人员一经确认,不予聘用。招聘单位在与考生签订诚信承诺书的前提下,体检可以采取委托的方式进行,并约定到岗后进行复核,如存在不诚信行为,取消考生聘用资格。
(八)递补
在考察环节之前,如有考生放弃本次招聘考试,视情况依次递补后续考生。体检环节考生只递补一次。后续环节不再递补考生。
(九)考察
体检合格的报考人员进入考察环节。在考察中,经审定不符合招聘要求、截止公示前未能提交岗位所需学历(学位)证书或证明材料的人员,考察结论为不合格,取消进入下一环节资格。招聘单位在与考生签订诚信承诺书的前提下,考察可以采取委托的方式进行,并约定到岗后进行复核,如存在不诚信行为,取消考生聘用资格。
(十)公示
第九师人力资源和社会保障局按照岗位拟招聘计划数,根据报考人员的考试成绩、体检结果、考察情况等,确定拟聘用人员,并在兵团考试信息网、九师政务网进行为期7天的公示。
(十一)审批聘用
公示期满未收到举报或举报问题不影响聘用的,由第九师人力资源和社会保障局按有关规定和程序办理审批手续,由各用人单位办理聘用手续。聘用单位与受聘人员及时签订聘用合同,初次聘期为5年,初次就业试用期为12个月。试用期包含在聘用合同期限内。
(十二)到岗后资格复核
拟聘用人员报到后,招聘单位对考生资格条件、体检、考察等相关情况进行复核,如存在不诚信的行为,取消其聘用资格。
六、监督
第九师纪委监委对本次招聘工作进行全过程监督。参加招聘工作的考官或工作人员要严格实行回避制度。对于违反规定的考官、工作人员,将按照《中国共产党纪律处分条例》《事业单位公开招聘违纪违规行为处理规定》及《事业单位人事管理回避规定》进行严肃查处、追责问责。报考人员违反规定的,视情节轻重,取消其考试资格;有舞弊等严重违反聘用纪律行为的,按照上述有关规定处理;不属于报考范围已被聘用的,取消其聘用资格。
监督电话:0901—3384575
七、招聘有关事项
(一)请各位报考人员务必按时参加各项考务活动,超过时限未参加者,视为自动放弃。
(二)本《公告》确定的时间、地点,因特殊情况发生变化另行通知。公告及有关通知或安排发布的官方网站为兵团考试信息网、九师政务网。因查看其他渠道的错误信息造成的报考失误,由报考人员自行负责。
(三)本公告所附相关文件与公告具备同等效力,请报考人员仔细阅读。因不遵守规定或个人疏忽造成的报考失误所带来的一切后果由报考人员自行承担。对违反招聘纪律的报考人员,按有关规定处理,触犯法律的,交由司法机关依法处理。
(四)报考人员对自己报名时填写的信息负责。报考人员应信守本人在网上报名时签署的诚信承诺,在网上报名时如实填写、上传个人信息,如报名填写信息与报考人员所持证明材料不一致,将被视为失信行为,由此带来的资格审查不合格及其他后果,由报考人员自行承担。
(五)对考生的资格审查贯穿招聘工作全过程,在招聘过程中任何环节发现有报考信息不实、条件不符、弄虚作假等影响聘用情形的,一律取消其聘用资格。
(六)本次考试不指定考试辅导用书,不举办也不委托任何机构开展考试辅导培训,敬请广大报考人员提高警惕,切勿上当受骗。
(七)本《公告》由第九师人力资源和社会保障局负责解释。
政策咨询电话:0901-3384236
报名网站技术咨询电话:400-032-8530
附件:
1.2021年第九师事业单位公开招聘岗位表
2.2021年事业单位单位公开招聘专业参考目录
3.网上报名及改报岗位操作说明
4.考生承诺书
5.在线笔试考生须知
6.在线笔试操作说明
第九师人力资源和社会保障局
2021年8月28日
http://btpta.xjbt.gov.cn/c/2021-08-28/8161524.shtml?COLLCC=2772857204&COLLCC=3348706482&

3.新疆大学2021年第三批招聘
事业编制工作人员公告
根据《关于印发自治区事业单位面向社会公开招聘工作人员办法的通知》(新人社发〔2013〕141号)、《关于创新自治区事业单位面向社会公开招聘政策有关问题的通知》(新人社发〔2017〕81号)要求,经研究,自治区人力资源和社会保障厅批准,决定面向社会公开招聘28名工作人员,现公告如下:
一、学校简介
新疆大学的前身是始创于1924年的新疆俄文法政专门学院。抗战时期,俞秀松、林基路、杜重远、祁天民等一批共产党人、教育家、艺术家和进步人士,先后来学校担任领导、任教和讲学。经过一代代新大人的艰苦奋斗,新疆大学已经成为一所有着悠久办学历史、光荣革命传统、鲜明办学特色的综合性大学。作为新疆维吾尔自治区高等教育的领头羊和排头兵,2017年新疆大学被列入首批世界一流大学建设行列,2018年被列入部省合建高校,走上了新的历史发展阶段。
二、招聘范围及对象
面向社会公开招聘,符合岗位条件的应聘者均可报名应聘。
三、招聘岗位
详见附件1。


四、招聘原则
坚持德才兼备的用人标准,贯彻民主、公开、平等、竞争、择优的原则,采取考试与考察相结合的办法进行,做到信息公开、过程公开、结果公开。
五、招聘岗位基本条件
(一)具有中华人民共和国国籍;
(二)遵守国家法律、法规;
(三)具有良好的品行和职业道德;
(四)具有招聘岗位所需的专业知识、执业资格和工作能力(详情见招聘信息);
(五)身心健康,能承担正常工作;
(六)符合招聘岗位年龄要求,年龄要求在30周岁及以下,即1990年8月31日(含)后出生;年龄要求在35周岁及以下,即1985年8月31日(含)后出生。
(七)应聘者应具备招聘岗位所公布的学历并取得相应学位;海外留学归国人员需取得国家教育部留学认证;少数民族中民考汉应聘人员须提供普通话水平测试二级乙等及以上合格证书;少数民族中民考民应聘人员须同时提供MHK四级乙等、普通话水平测试二级乙等及以上合格证书;
(八)具备招聘职位所需的其他条件和要求(详情见附件1);
(九)下列人员不得报考:
1.曾受过各类刑事处罚的、曾被开除公职的、有违法、违纪行为正在接受审查的、尚未解除党纪、政纪处分的、有其他违反国家法律、法规行为的人员不得报考;
2.已在国家机关、国有企事业单位的在编在册正式工作人员,单位不同意与应聘人员解除人事关系(聘用合同关系)的;
3.法律法规规定其他不得聘用为事业单位工作人员情形的;
4.高校在读博士、硕士人员,本年度已考取国家统招博士、硕士人员,正处在公务员统一招考、事业单位公开招聘体检、政审、录取环节的人员;
5.参加“特岗教师”等招聘考试,已签订服务协议未满服务期的人员;
六、发布招聘信息
2021年8月31日至2021年9月12日,在自治区人力资源和社会保障厅网(http://rst.xinjiang.gov.cn/,下同)、新疆大学主页(http://www.xju.edu.cn,下同)发布招聘公告、公布招聘岗位、资格条件及招聘程序。
七、报名
(一)网络报名时间:2021年9月1日10:00-2021年9月12日18:00,为体现公开、公平、竞争、择优的原则,切实选拔优秀人员到校工作,所有应聘人员均需在网上进行报名。
(二)网络报名方式
1.报考者登录新疆人力资源和社会保障厅网、新疆大学主页认真阅读《公告》、《岗位设置一览表》(附件1)、《2018年研究生招生学科、专业代码册》(附件2)、《2012年普通高等学校本科专业目录》(附件3)等,了解招聘岗位所规定的范围、对象、条件、报名程序、有关政策规定和注意事项等内容,然后选择完全符合报考条件的岗位进行报名。
2.报考人员只能选择其中的一个岗位进行报名,选择多个岗位报名的取消报名资格。报名与考试时使用的身份证信息必须一致。
3.所有招聘岗位采用网上报名方式,报考者登陆新疆大学招聘网(http://218.195.237.47/hr80,建议使用谷歌浏览器)进行注册报名,并选择相应的报考单位和岗位。
(1)报考者注册后详细填写基本信息,其中包括基本资料、教育经历、工作经历、家庭成员、科研成果及获奖情况等,所填信息要求完整、准确,如与本人真实信息不符的,后果由报考人员自负。凡提供虚假报考申请材料的,一经查实,立即取消应聘及聘用资格。
(2)网上报名技术服务及政策咨询电话:0991-8585997、8582230。
(3)网络报名过程中,报考人员对专业、学历等资格条件及备注的内容等信息有疑问的请咨询各岗位联系人,联系方式见《岗位设置一览表》(附件1)。
4.考生在网上报名时,须同时将以下材料扫描件提交至电子邮箱xjdxrsk@163.com(压缩包命名格式:岗位代码+姓名)。邮件中不可发送链接、网盘等。
(1)新疆大学面向社会公开招聘事业单位工作人员资格审查表(附件4)扫描件;
(2)身份证扫描件;
(3)毕业证、学位证扫描件,
(4)海外留学归国人员需提交国家教育部留学认证扫描件;
(5)少数民族中民考汉应聘人员须提供普通话水平测试二级乙等及以上合格证书扫描件;少数民族中民考民应聘人员须同时提供MHK四级乙等、普通话水平测试二级乙等及以上合格证书扫描件;
(6)已在国家机关、国有企事业单位的在编在册正式工作人员需提交工作单位人事部门出具的同意报考的证明材料扫描件;
(7)岗位要求中共党员(含预备党员)的,需提交党组织关系所在单位出具的党员证明扫描件;
(8)岗位要求的其他条件材料的扫描件。
5.报名截止时间内,网络报名和邮件发送必须同时完成才算报名成功(邮件以系统收到时间为准)。未能在规定时间内完成以上报名步骤的报考人员,视为自动放弃报名资格,一切责任由报考人员自负。
6.报考同一岗位,报考人员与招聘人数之比应不低于3:1,达不到开考比例要求的岗位,可按规定调整为2:1或取消该岗位的招聘计划。
八、资格审查
公开招聘工作人员资格审查工作由新疆大学党委组织(人事)部负责,资格审查中如发现报考者不符合岗位条件的情况,取消其报考或聘用资格。应聘者需按时提交各项材料,资格审查资料不全者不得进入下一环节。资格审查通过人员名单将在新疆大学主页(http://www.xju.edu.cn)上发布。
请在网络报名结束后及时关注新疆大学主页的通知公告(页面中间右侧位置)。
九、考试
所有岗位均采用笔试和面试相结合的方式进行,具体笔试、面试等事项,网络报名结束后,将在新疆大学主页发布,不再另行通知。
(一)笔试
1.笔试由新疆大学组织实施。报考者持本人身份证(有效期内临时身份证)参加笔试,未按指定时间到指定地点参加考试的视为自动放弃,迟到15分钟不予进场。笔试试卷用国家通用语言文字命制,笔试成绩满分100分,合格分数线为60分,笔试成绩不合格者不予进入下一环节,实验技术岗位和校医院岗位笔试成绩在总成绩中按30%折算,专任教师岗位、辅导员岗位和附属中学岗位笔试成绩在总成绩中按40%折算。笔试采取闭卷形式进行。
2.根据笔试成绩由高分到低分,按招聘人数与应聘人数1:3的比例确定面试入围人员,凡达不到规定比例的,按实际人数进入面试。笔试成绩相同者占面试入围名额,笔试成绩相同且同为最后一名入围面试者,一同入围面试。
3.笔试成绩及入围面试人员名单将于考试结束后在新疆大学主页予以公布。
(二)面试
1.面试由新疆大学组织实施,报考者持本人身份证原件(有效期内的临时身份证)参加面试。面试时间、地点及注意事项笔试结束后在新疆大学主页公布,不再单独通知。
2.入围面试人员经确认放弃面试资格的,按笔试成绩由高到低依次等额递补;面试当日,入围面试人员经确认放弃面试资格的,不再递补。从面试当日开始,后续招聘所有环节不再进行递补。未按指定时间到指定地点参加面试的视为自动放弃,迟到15分钟不予进场。
3.实验技术岗位和校医院岗位采用实际操作加面试的方式,辅导员岗位采用结构化面试的方式,专任教师和附属中学岗位采用试讲加面试的方式。
4.面试满分为100分,合格分数线为60分,面试成绩不合格者不予进入下一环节,实验技术岗位和校医院岗位面试成绩在总成绩中按70%折算,专任教师岗位、辅导员岗位和附属中学岗位面试成绩在总成绩中按60%折算,面试成绩当场公布。
5.面试结束后,在新疆大学主页上公布笔试、面试折合成绩、总成绩排名。
(三)总成绩计算方法:实验技术岗位和校医院岗位=笔试×30%+面试×70%,专任教师岗位、辅导员岗位和附属中学岗位=笔试×40%+面试×60%。总成绩相同者,由新疆大学组织加试,加试成绩最高者进入后续招聘环节。
十、试工
本次招聘所有岗位均需进行试工,根据各岗位总成绩由高分到低分排序,按招聘岗位1:1比例确定参加试工人员,试工期为1个月,应聘者在接到试工通知5日内不能到岗的视为自行放弃。试工成绩与总成绩不存在相关性。试工满分100分,合格分数线为60分,成绩不合格者不得进入下一环节。
十一、体检
新疆大学公开招聘人员体检和考察工作由新疆大学组织实施。按招聘岗位1:1的比例确定体检人选。体检时间、地点另行通知。
新疆大学组织确定体检人选在二甲以上综合性医院进行体检。体检项目和标准参照自治区事业单位面向社会公开招聘工作人员体检通用标准执行,费用自理。体检不合格的不能进入下一环节。报考人员对体检结果有异议申请复查的,由新疆大学另选二甲以上综合性医院进行复查,有明确结论的只能进行一次复查,复查结果为最终结果。
十二、考察
1.新疆大学公开招聘工作领导小组将对拟聘用人员进行全面审查考核。着重考核应聘者的思想政治素质、能力素质、遵纪守法、道德品质修养等。
2.重点核实报考者是否符合规定的报考资格条件,确认其报名时提交的信息和材料是否真实、准确。凡不符合岗位条件要求,或报考材料造假者,一经发现取消应聘资格。应聘者如系留学回国人员,必须提供教育部中国留学服务中心出具的境外学历、学位认证书。
十三、确定拟聘用人员
新疆大学将按照岗位用人计划和要求,对试工、体检、考察合格的推荐聘用人员进行审核,确定拟聘用人员。
十四、公示
拟招聘人员确定后,在新疆大学官网对拟聘用人员进行公示,公示期为7个工作日。公示期间接受社会举报,举报者应以真实姓名实事求是地反映问题,并提供必要的调查线索。
十五、办理聘用手续
公示期满后,没有反映问题或反映问题但不影响聘用的人员,按相关规定办理聘用手续;对反映有严重问题并查有实据的,不予聘用;对反映有严重问题,但一时难以查实或难以否定的,暂缓聘用,待查实后再决定是否聘用。应聘者在规定的时间内到新疆大学报到,逾期报到者,视为放弃。新聘用人员实行试用期制度,试用期为12个月。试用期满经考核合格的予以正式聘用,不合格的,取消其聘用资格。
十六、招聘纪律与监督
(一)本次公开招聘实行回避制度。凡与我校招聘岗位所在单位领导有夫妻关系、直系血亲关系、三代以内旁系血亲或者近姻亲关系的应聘人员,不得应聘本岗位。我校领导和招聘工作人员在办理人员聘用事项时,涉及与本人有上述亲属关系或者其他可能影响招聘公正的,也应当回避。
(二)新疆大学纪检监察部门全程监督此次招聘。监督电话:0991-8581939
十七、其他事项
(一)招聘过程中有关调整、补充、提示等事项,在新疆大学主页及时进行公告,不再另行通知。
(二)报考人员必须提交准确、畅通的联系电话,并要求及时关注新疆大学主页发布的考试相关公告,以防错过相关考试时间安排和重要信息提示。
(三)本次考试不指定辅导用书,也不委托任何机构举办考试辅导培训班,敬请广大报考人员提高警惕、切勿上当受骗。
(四)本方案未尽事宜,由新疆大学负责解释。
附件:
附件1:2021年新疆大学面向社会公开招聘工作人员岗位设置一览表(下载)
附件2:2018年研究生招生学科、专业代码册(下载)
附件3:2012年普通高等学校本科专业目录(下载)
附件4:新疆大学面向社会公开招聘事业单位工作人员资格审查表(下载)
新疆大学
2021年8月31日
http://rst.xinjiang.gov.cn/rst/c100482/202108/2b5038a92b624069b80ba0ea8a1a8243.shtml

4.新疆财经大学2021年第二批面向社会
公开招聘工作人员公告
根据《事业单位人事管理条例》(国务院令652号)、《事业单位公开招聘人员暂行规定》(人事部令6号)、《关于印发自治区事业单位面向社会公开招聘工作人员办法的通知》(新人社发〔2013〕141号)及《关于创新自治区事业单位面向社会公开招聘政策有关问题的通知》(新人社发〔2017〕81号)等相关规定,经学校党委研究,决定2021年第二批面向社会公开招聘工作人员9名。具体事宜公告如下:
一、招聘岗位
详见附件1。

二、招聘范围
面向社会公开招聘,符合岗位条件要求的人员均可报名。
三、招聘原则
坚持德才兼备、以德为先的用人标准,贯彻公开、平等、竞争、择优的原则,采取考试与考察相结合的办法进行,做到信息公开、过程公开、结果公开。
四、招聘岗位基本条件
(一)具有中华人民共和国国籍,遵守宪法和法律。
(二)坚决贯彻党的教育方针,坚持立德树人根本任务,热爱党的教育事业,具有良好的职业道德素养和品行,愿意扎根西部,为边疆教育事业做贡献。
(三)岗位所需的专业知识、工作能力。
(四)适应岗位要求的身体条件,符合《自治区事业单位面向社会公开招聘工作人员通用体检标准》要求。
(五)招聘岗位年龄要求中,25周岁及以下指1995年8月30日(含)以后出生,30周岁及以下指1990年8月30日(含)以后出生,具体岗位年龄要求详见附件1。
(六)应聘人员必须具有岗位要求的相应学历及学位,2021年应届毕业生在2021年8月30日前应取得毕业证、学位证,海外留学归国人员需取得国家教育部留学认证。
(七)大学本科学历应聘人员专业要求参考《2012年普通高等学校本科专业目录》(详见附件2),硕士研究生及以上学历应聘人员专业要求参考《2013年研究生招生学科、专业代码册》(详见附件3)。
(八)岗位要求中共(预备)党员的,需提供所在组织部门出具的党员证明。
(九)岗位要求要有校级或院级学生会干部工作经历的,须提供相关单位出具的证明材料。
(十)已在国家机关、国有企事业单位的在编在册工作人员需提供所在单位人事部门出具的同意报考证明。
(十一)专项招聘高校毕业生,是指2021届高校毕业生和在国家规定的毕业后2年择业期内未落实工作单位的高校毕业生,其户口、档案、组织关系仍保留在原毕业学校或转入各级公共就业人才服务机构的高校毕业生。报考该类岗位的应聘人员须按要求提供档案保管部门(原毕业学校,各级毕业生就业主管部门<毕业生就业指导服务中心>、各级人才交流服务机构和各级公共就业服务机构)出具的相关档案保管证明材料。
(十二)岗位要求的执业资格证等其它证明材料。
以上相关材料电子版需扫描清晰后在网络报名时上传,同时需要上传的还有《新疆财经大学面向社会公开招聘事业编制人员资格审查表》(附件5)。
以上相关材料的纸质版需在资格审查时提供,请妥善保管。
(十三)下列人员不得报考:
1.曾受过各类刑事处罚的、曾被开除公职的、有违法、违纪行为正在接受审查的、尚未解除党纪、政纪处分的、有其他违反国家法律法规行为的、立案审查尚未作出结论的。
2.已在国家机关、国有企事业单位的在编在册正式工作人员,单位不同意与应聘人员解除人事关系(聘用合同关系)的。
3.参加“特岗教师”等招聘考试,已签订服务协议未满服务期的。
4.法律法规规定其他不得聘用为事业单位工作人员情形的。
5.不符合招聘岗位基本条件要求的。
6.高校未毕业的在校生不在此次招聘范围内。
(十四)岗位所需的其他条件。
五、发布招聘信息
2021年8月31日-9月15日在自治区人力资源和社会保障厅网(http://rst.xinjiang.gov.cn/,下同)、新疆财经大学官网人才招聘专栏(http://www.xjufe.edu.cn,下同)发布招聘信息。
六、报名
(一)网络报名时间:2021年9月1日10:00至9月15日18:00。
(二)网络报名方式:登陆新疆财经大学人才招聘系统(http://zp.xjufe.edu.cn,下同)注册报名,注册前请先阅读《新疆财经大学招聘系统应聘人员使用手册》(附件4)。
网络报名须按以下程序进行:
1、应聘人员登录自治区人力资源和社会保障厅网、新疆财经大学官网人才招聘专栏,认真阅读“公告”、“岗位设置公告表”等,了解招聘岗位所规定的范围、对象、条件、报名程序、有关政策规定和注意事项等内容,然后选择完全符合报考条件的岗位进行报名。
2、应聘人员只能选择一个岗位进行报名,应聘人员与招聘人数之比应不低于3:1。达不到开考比例要求的,经学校招聘领导小组研究,可调整为2:1或取消该岗位的招聘计划;
3、报名与考核时使用的身份证信息必须一致(所有证件原件需提交审查)。
4、未能在规定时间内完成报名的报考人员,视为自动放弃报名资格,一切责任由报考人员自负。应聘人员所填写信息与本人真实信息不符的或提供虚假应聘材料的,一经查实,取消其应聘及聘用资格。
(三)报名联系人及电话:叶老师、依老师,0991—7842009。
(四)招聘系统技术咨询:杜老师,17795863662。
(以上电话接听时间:上午10:30-13:30;下午15:30-19:00)
七、笔试
笔试采取闭卷形式进行,试卷用国家通用文字(汉语)命制。笔试卷面满分为100分,考试总成绩中,笔试成绩按30%的比例折合计算。
笔试安排具体事宜另行通知。报考人员需按照要求参加笔试,未参加笔试的视为自动放弃。
笔试结束后,根据所招聘岗位从高分到低分排序,按照岗位招聘数和面试人数1:3比例进入面试,达不到规定比例的,按实际人数进入面试。如有放弃者,按照笔试成绩由高到低依次等额递补。
笔试成绩将于笔试结束后在新疆财经大学网站上公布。
八、资格审查
新疆财经大学将对进入面试人员进行资格审查。资格审查包括资格初审及后续考察工作中的资格确认环节。
没有通过资格初审导致所在岗位招聘数和面试人数达不到1:3比例的,按照笔试成绩由高到低依次等额递补。
通过资格初审进入面试环节人员名单将在新疆财经大学网站上公布。
九、面试
面试成绩满分为100分,在考试总成绩中按照70%折算。面试结束后,成绩当场公布,面试合格分数线为60分,不合格者不得进入下一环节。面试安排具体事宜另行通知。
入闱面试人员经确认放弃面试资格的,可按报考同一招聘岗位笔试成绩从高到低的顺序依次等额递补。面试当日,放弃面试资格的,不再递补。
面试后,根据招聘岗位总成绩得分由高到低按照招聘人数与报考人数1:1比例进入下一环节。总成绩计算方法为:
总成绩(100分)=笔试成绩(100分)*30%+面试成绩(100分)*70%。
十、试工
试工时间三天。试工人员接到通知后到校试工,无故未按要求到校试工的,视为自动放弃。试工合格者进入下一环节。
试工期间,进行心理测试。心理测试主要了解应聘人员性格特征和心理素质。心理测试结果作为对应聘人员试工鉴定的重要组成部分。没有参加测试者,视为自动放弃。
十一、体检
考生体检工作由新疆财经大学组织实施。学校将按招聘人数和体检人数1:1的比例确定体检人选。确定的体检人员在指定的三级甲等以上综合性医院进行体检,相关费用自理。未在规定时间、地点参加体检者,视为自动放弃。体检结果不合格的不能进入下一环节。
十二、考察
新疆财经大学将对体检合格人员进行全面审查考察。着重考察报考人员的政治思想、道德品质、现实表现、遵纪守法、廉洁自律及家庭社会关系等方面的情况。
报考人员应对自己所填报资料的真实性负责,在考察工作中将进行资格确认。若发现报考者不符合岗位条件的情况,取消其应聘资格。
十三、公示
拟聘用人员确定后,在新疆财经大学主页上对拟聘用人员进行公示,公示期为7个工作日。公示期间接受社会举报,举报者应以真实姓名实事求是地以书面方式反映问题,并提供必要的调查线索。公示有异议的,新疆财经大学纪检委调查核实情况,凡违反招聘政策规定、影响正常聘用结果的,取消拟聘人员聘用资格。
十四、聘用
公示期满后,无异议人员,按相关规定和程序办理聘用手续。
在上述试工及以后的各环节,因不合格、取消资格或考生放弃出现人员空缺的岗位,可按报考同一招聘岗位总成绩从高到低的顺序依次等额递补人员或取消此岗位的招聘计划。
招聘中任何环节若发现报考者不符合岗位条件的情况,取消其报考或聘用资格。
十五、招聘监督
(一)本次公开招聘实行回避制度。有关事宜按照《事业单位人事管理回避规定》(新人社规〔2020〕1号)执行。
(二)新疆财经大学纪检委全程监督此次招聘。
监督电话:0991-7842205
十六、其他事项
(一)招聘过程中有关调整、补充、提示等事项,由新疆财经大学官网人才招聘专栏及时进行公告。
(二)应聘人员必须提交准确、畅通的联系电话,并及时关注新疆财经大学官网人才招聘专栏发布的考核相关公告,以防错过相关考核时间安排和重要信息提示。
(三)本次招聘不指定辅导用书,也不委托任何机构举办考核辅导培训班,敬请广大应聘人员提高警惕、切勿上当受骗。
(四)由于现处疫情防控期间,本公告未尽事宜,由新疆财经大学适时调整并负责解释。
附件:
附件1:2021年新疆财经大学第二批面向社会公开招聘工作人员岗位设置表(下载)
附件2:2012年普通高等学校本科专业目录(下载)
附件3:2013年研究生招生学科、专业代码册(下载)
附件4:新疆财经大学招聘系统应聘人员使用手册(下载)
附件5:新疆财经大学面向社会公开招聘事业编制人员资格审查表(下载)
新疆财经大学
2021年8月31日
http://rst.xinjiang.gov.cn/rst/c100482/202108/c1ef3b6caa2047f09e25ef6ac8d3048e.shtml

5.新疆财经大学2021年第二批招聘专任教师公告
根据《事业单位人事管理条例》(国务院令652号)、《事业单位公开招聘人员暂行规定》(人事部令6号)、《关于印发自治区事业单位面向社会公开招聘工作人员办法的通知》(新人社发〔2013〕141号)及《关于创新自治区事业单位面向社会公开招聘政策有关问题的通知》(新人社发〔2017〕81号)等相关规定,经学校党委研究,决定2021年第二批面向社会公开招聘专任教师20名。具体事宜公告如下:
一、招聘岗位
详见附件1。


二、招聘范围
面向社会公开招聘,符合岗位条件要求的人员均可报名。
三、招聘原则
坚持德才兼备、以德为先的用人标准,贯彻公开、平等、竞争、择优的原则,采取考核(考试)与考察相结合的办法进行,做到信息公开、过程公开、结果公开。
四、招聘岗位基本条件
(一)具有中华人民共和国国籍,遵守宪法和法律。
(二)坚决贯彻党的教育方针,坚持立德树人根本任务,热爱党的教育事业,具有良好的职业道德素养和品行,愿意扎根西部,为边疆教育事业做贡献。
(三)具有岗位所需的专业知识、工作能力。
(四)适应岗位要求的身体条件,符合《自治区事业单位面向社会公开招聘工作人员通用体检标准》要求。
(五)招聘岗位年龄要求在30周岁以下,指1990年8月30日(含)以后出生。
(六)应聘人员必须具有岗位要求的相应学历及学位,2021年应届毕业生在2021年8月30日前应取得毕业证、学位证,海外留学归国人员需取得国家教育部留学认证。
(七)硕士研究生及以上学历应聘人员专业要求参考《2013年研究生招生学科、专业代码册》(详见附件2)。
(八)已在国家机关、国有企事业单位的在编在册工作人员需提供所在单位人事部门出具的同意报考证明。
(九)岗位要求的执业资格证等其它证明材料。
以上相关材料电子版需扫描清晰后在网络报名时上传,同时需要上传的还有《新疆财经大学面向社会公开招聘事业编制人员资格审查表》(附件4)。
以上相关材料的纸质版需在资格审查时提供,请妥善保管。
(十)下列人员不得报考:
1.曾受过各类刑事处罚的、曾被开除公职的、有违法、违纪行为正在接受审查的、尚未解除党纪、政纪处分的、有其他违反国家法律法规行为的、立案审查尚未作出结论的。
2.已在国家机关、国有企事业单位的在编在册正式工作人员,单位不同意与应聘人员解除人事关系(聘用合同关系)的。
3.参加“特岗教师”等招聘考试,已签订服务协议未满服务期的。
4.法律法规规定其他不得聘用为事业单位工作人员情形的。
5.不符合招聘岗位基本条件要求的。
6.高校未毕业的在校生不在此次招聘范围内。
(十一)岗位所需的其他条件。
五、发布招聘信息
2021年8月31日-9月15日在自治区人力资源和社会保障厅网(http://rst.xinjiang.gov.cn/,下同)、新疆财经大学官网人才招聘专栏(http://www.xjufe.edu.cn,下同)发布招聘信息。
六、报名
(一)网络报名时间:2021年9月1日10:00至9月15日18:00。
(二)网络报名方式:登陆新疆财经大学人才招聘系统(http://zp.xjufe.edu.cn,下同)注册报名,注册前请先阅读《新疆财经大学招聘系统应聘人员使用手册》(附件3)。
网络报名须按以下程序进行:
1.应聘人员登录自治区人力资源和社会保障厅网、新疆财经大学官网人才招聘专栏,认真阅读“公告”、“岗位设置公告表”等,了解招聘岗位所规定的范围、对象、条件、报名程序、有关政策规定和注意事项等内容,然后选择完全符合报考条件的岗位进行报名。
2.应聘人员只能选择一个岗位进行报名,应聘人员与招聘人数之比应不低于3:1。达不到开考比例要求的,经学校招聘领导小组研究,可调整为2:1或取消该岗位的招聘计划。
3.报名与考核时使用的身份证信息必须一致(所有证件原件需提交审查)。
4.未能在规定时间内完成报名的报考人员,视为自动放弃报名资格,一切责任由报考人员自负。应聘人员所填写信息与本人真实信息不符的或提供虚假应聘材料的,一经查实,取消其应聘及聘用资格。
(三)报名联系人及电话:叶老师、依老师,0991—7842009。
(四)招聘系统技术咨询:杜老师,17795863662。
(以上电话接听时间:上午10:30-13:30;下午15:30-19:00)
七、资格审查
新疆财经大学将对报名人员进行资格审查,资格审查包括资格初审及考察工作中的资格确认环节。招聘中任何环节若发现报考者不符合岗位条件的情况,取消其报考或聘用资格。
八、考核
分为专业测试、面试两部分。
(一)专业测试。专业测试成绩100分,根据得分由高到低按照招聘人数与报考人数1:3比例进入面试环节,达不到比例的按实际人数进入。如有放弃者,可按报考同一招聘岗位专业测试成绩从高到低的顺序依次等额递补进入下一环节或取消此岗位的招聘计划。
(二)面试。面试成绩满分为100分,合格分数线为60分。学校面试成绩当场公布。面试当日,入闱面试人员经确认放弃面试资格的,不再递补。面试成绩合格者,根据面试成绩得分由高到低按照招聘人数与报考人数1:1比例进入下一环节。
专业测试、笔试时间另行通知。
九、试工
根据面试成绩,由高到低排序,按照招聘计划数与试工数1:1比例确定试工人员。试工时间三天。试工人员接到通知后到校试工,无故未按要求到校试工的,视为自动放弃。试工合格者进入下一环节。
试工期间,进行心理测试。心理测试主要了解应聘人员性格特征和心理素质。心理测试结果作为对应聘人员试工鉴定的重要组成部分。没有参加心理测试者,视为自动放弃。
十、体检
考生体检工作由新疆财经大学组织实施。学校将按招聘人数和体检人数1:1的比例确定体检人选。确定的体检人员在指定的三级甲等以上综合性医院进行体检,相关费用自理。具体时间、地点另行通知。未在规定时间、地点参加体检者,视为自动放弃。体检结果不合格的不能进入下一环节。
十一、考察
新疆财经大学将对体检合格人员进行全面审查考察。着重考察报考人员的政治思想、道德品质、现实表现、遵纪守法、廉洁自律及家庭社会关系等方面的情况。
报考人员应对自己所填报资料的真实性负责,在考察工作中将进行资格确认。若发现报考者不符合岗位条件的情况,取消其应聘资格。
十二、公示
拟聘用人员确定后,在新疆财经大学主页上对拟聘用人员进行公示,公示期为7个工作日。公示期间接受社会举报,举报者应以真实姓名实事求是地以书面方式反映问题,并提供必要的调查线索。公示有异议的,新疆财经大学纪检委调查核实情况,凡违反招聘政策规定、影响正常聘用结果的,取消拟聘人员聘用资格。
十三、聘用
公示期满后,无异议人员,按相关规定和程序办理聘用手续。
在上述面试以后的各环节,因不合格、取消资格或放弃出现人员空缺的岗位,可按报考同一招聘岗位面试成绩从高到低的顺序依次等额递补人员或取消此岗位的招聘计划。
十四、招聘监督
(一)本次公开招聘实行回避制度。有关事宜按照《事业单位人事管理回避规定》(新人社规〔2020〕1号)执行。
(二)新疆财经大学纪检委全程监督此次招聘。
监督电话:0991-7842205
十五、其他事项
(一)招聘过程中有关调整、补充、提示等事项,由新疆财经大学官网人才招聘专栏及时进行公告。
(二)应聘人员必须提交准确、畅通的联系电话,并及时关注新疆财经大学官网人才招聘专栏发布的考核相关公告,以防错过相关考核时间安排和重要信息提示。
(三)本次招聘不指定辅导用书,也不委托任何机构举办考核辅导培训班,敬请广大应聘人员提高警惕、切勿上当受骗。
(四)由于现处疫情防控期间,本公告未尽事宜,由新疆财经大学适时调整并负责解释。
附件:
附件1:2021年新疆财经大学第二批面向社会公开招聘专任教师岗位设置表(下载)
附件2:2013年研究生招生学科、专业代码册(下载)
附件3:新疆财经大学招聘系统应聘人员使用手册(下载)
附件4:新疆财经大学面向社会公开招聘事业编制人员资格审查表(下载)
新疆财经大学
2021年8月31日

