1、均价2.8万/㎡,保利云禧新领241套毛坯房源销许;
2、南京又一批新房申领销许,城北嘉誉山即将收官;
3、云台天境昨日迎二次开盘,当晚一小时去化9成;
4、南京再挂8幅纯租赁住房用地!均在江北新区。
今天下午,位于江北雨山路的保利云禧新领了17#、23#、24#楼3幢小高层房源销许,共计241套毛坯房源,销许均价为26034-29982元/㎡,户型面积为89㎡、99㎡和127㎡,拟交付时间为2019年7月30日。据置业顾问介绍,项目预计在周末开始报名。

保利云禧上一次开盘是在7月4日,推出了135套叠墅,这也是项目最后一批叠墅房源,销许均价为3万/㎡,目前还有少量叠墅房源在售。

保利云禧鸟瞰图
保利云禧所在的雨山路板块在售的新房有金地保利悦风华,其现在也在售叠墅房源,均价在为3万/㎡。

保利云禧项目所在区位及周边楼盘
新地块中,周边有2017年出让的世茂G24地块、五矿G25地块,以及今年出让的中粮G21地块以及招商G43地块。
该板块内的品牌房企二手房主要有融创臻园、中海万锦熙岸,根据链家二手房数据显示,中海万锦熙岸的二手房挂牌价在2.6-2.7万元/㎡左右,融创臻园的二手房挂牌价在3万元/㎡左右。

雨山路板块周边二手房挂牌价格(截图来自链家)
根据房产局网站公示,南京又有一批楼盘正在申领销许啦!其中包括城北的电建洺悦府、嘉誉山;城东的中垠紫金观邸;以及城中的公寓项目诚通龙蟠汇。

1电建洺悦府
城北燕子矶板块的电建洺悦府预计加推3、9、21号楼,面积有106、130、160㎡,预计为154套房源,拟交付时间为2020年6月。电建洺悦府上一次开盘的时间为9月17日,当时开盘的楼栋为2、8、23号楼,共计170套房源销许,均价22380元/㎡。面积为106、130㎡,拟交付时间为2020年6月底。

电建洺悦府实景图
目前城北燕子矶板块,还有电建地产海赋尚城预计近期加推3号楼房源,面积有99、140㎡,2梯4户,预计均价25800元/㎡;
保利国际社区目前仅剩10号楼尚未加推,具体加推时间待定;
金浦紫御东方在售二期房源,均价 28600元/㎡,面积有78、87、106、126㎡,2梯4户,拟交付时间为2020年12月31日,一房一价。
2嘉誉山
城北迈皋桥板块的嘉誉山预计近期加推最后4栋住宅,面积段86-141㎡,预计均价28507元/㎡,2梯4户,此前在售2、3号楼,面积为86、112、127㎡,均价28507元/㎡,2梯4户,拟交付时间为2019年3月底。

嘉誉山实景
目前城北迈皋桥板块,恒大翡翠华庭项目在售1、2、3号楼成品房源,均价为31650-32459元/㎡,一房一价,面积均为230㎡,1梯1户;
大地伊丽雅特湾项目仅剩少量78㎡房源,均价27000元/㎡,毛坯交付;
星叶瑜憬湾预计11月加推7、8、12、13#洋房,面积有137、147、376㎡,共108套房源,1梯2户,毛坯交付;
3中垠紫金观邸
城东马群的中垠紫金观邸预计加推三期5号、8号楼住宅,面积为90-140㎡三房和四房,共计168套,一梯两户,交付时间2020年6月底。目前中垠在售公寓紫金公馆的1号楼成品小户型,面积45-68平方米,均价22000元/平米。
目前安居客上中垠紫金观邸的二手房均价已经达到32422元/㎡,比之前7月加推的的销许价格高出近6000元/㎡,所以上一次加推的房源,当天全部售罄。

效果图
4诚通龙蟠汇
城中的诚通龙蟠汇,预计本月首开,主力户型42-88㎡的公寓,项目地处南京主城秦淮区龙蟠中路,位于东水关公园旁,紧邻秦淮河和夫子庙,是集5A甲级办公、购物中心、高端服务式公寓等功能为一体的城市综合体项目,49㎡样板间现已公开。

效果图
昨晚,南九龙湖银城旭辉云台天境在售楼处迎来了二次开盘,项目推出了2号楼的72套精装住宅,户型面积约120㎡、140㎡,均价29000元/㎡,据开发商公布数据显示,开盘当晚一小时去化9成!
本批房源共吸引了341组买房人参与报名摇号,中签率21%。项目昨日(11月1日)下午3点刚刚公证摇号结束,晚上7点就迎来了开盘,可以说是非常急切了。
据了解,银城旭辉云台天境最受欢迎的是120平户型,开盘不到一小时,120平户型就基本被抢光,而140平的西边户还剩余部分房源。

9月30日,银城旭辉云台天境首开1、4、5、6号楼精装住宅房源,均价28900元/平米,开盘当天去化9成,截止目前还剩少量120、140平米房源在售。据了解,项目今年再无加推计划,预计明年才会加推后续楼栋,具体时间未定。
银城旭辉云台天境为精装修交付。精装标准不但采用了新风系统和净水系统,而且全屋都带地暖和中央空调,本次加推的首批房源预计于明年6月交付。

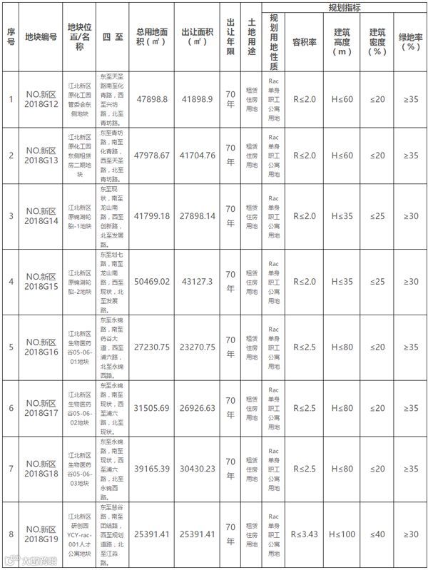
根据《中华人民共和国土地管理法》、《招标拍卖挂牌出让国有建设用地使用权规定》(国土资源部令第39号)等法律、法规规定,经南京市江北新区管委会批准,南京市江北新区管理委员会规划与国土局对下列建设用地使用权进行公开出让,地块范围内原土地使用权同时收回。现就有关出让事项公告如下:
一、基本情况

二、出让价格

本次挂出的8幅地块预计将于12月5日进行拍卖。值得注意的是,8幅地块均为租赁用地。这是南京今年以来第二次大批量的出让租赁地块,前一批次5幅租赁用地均为底价成交。
去年7月,南京成为全国首批开展住房租赁试点的12个城市之一,目前南京租赁住房用地的供应规模居全国前列,仅次于上海。截至目前,南京已推出6幅租赁住房用地,南京也始终“坚持房子是用来住的、不是用来炒的”的定位,加快建立多主体供给、多渠道保障、租购并举的住房制度,让全体人民住有所居。

2017年8月,南京成立住房租赁企业联盟,包括住房租赁企业、转型的房地产开发企业、经纪机构、租赁服务网络平台、金融服务企业、文体投资企业、网络服务企业、设备提供商、运营管理服务商,形成了初具规模、结构完整、模式合理、规范高效的产业链,不断满足日益增长的住房租赁需求,“租购并举”的美好愿景正在朝我们加速走来。


