
附件一:
2021年度普通高等学校本科专业备案和审批结果
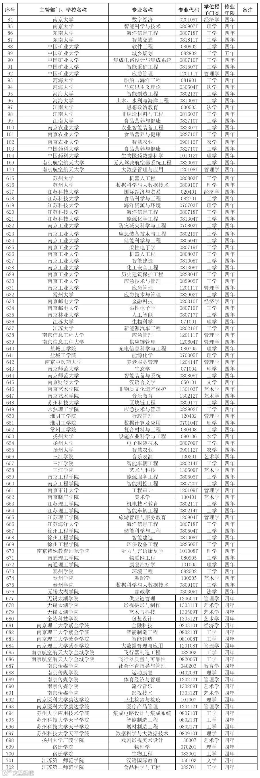
一、新增备案本科专业名单(江苏)

二、新增审批本科专业名单(江苏)

三、调整学位授予门类或修业年限专业名单(江苏)
四、撤销专业名单(江苏)

附件二:
列入普通高等学校本科专业目录的新专业名单
教育部在本科专业设置调整工作中,支持高校主动服务国家战略、区域经济社会和产业发展需要,设置符合办学定位和办学特色的专业;引导高校用好学科交叉融合的“催化剂”,推进新工科、新医科、新农科、新文科建设,增设文理、理工、医工等交叉融合的新专业。
为确保专业设置质量,教育部要求,高校增设专业应满足《普通高等学校本科专业类教学质量国家标准》基本要求。同时,加强了线上评议环节,组织4300余名专家审读专业申报材料,对人才培养方案、师资队伍、教学条件等提出了意见和建议。高校根据评议意见,优化人才培养方案,加强师资配备,改进教学和实习实践条件等。
经申报、公示、审核等程序,教育部对各地各高校申请备案的专业予以备案,并根据高等学校专业设置与教学指导委员会评议结果,确定了同意设置的国家控制布点专业和尚未列入专业目录的新专业名单。
据了解,2012年以来,教育部聚焦全面提高人才培养能力这个核心点,主动适应经济社会发展需求变化,支持全国高校增设了1.7万个本科专业点,撤销和停招了近1万个专业点,推动高等教育专业结构不断优化。
教育部高等教育司负责人
就有关问题回答了记者提问
跟小编一起来看——
1.请简要介绍此次专业备案和审批工作的基本情况。
根据《普通高等学校本科专业设置管理规定》,我部组织开展了2021年度普通高等学校本科专业设置和调整工作。经申报、公示、审核等程序,新增备案专业1773个、审批专业188个(含145个国家控制布点专业和43个目录外新专业),调整学位授予门类或修业年限专业点48个,撤销专业点804个。碳储科学与工程、空天智能电推进技术、生物育种科学、资源环境大数据工程、湿地保护与恢复、智慧林业、劳动教育、科学史等31种新专业正式纳入本科专业目录。本次备案、审批和调整的专业点,将列入相关高校2022年本科招生计划。
2.专业设置和调整工作,总体是如何考虑的?
专业是高校人才培养的基础平台和基本单元,专业的质量和结构,直接关系高等教育支撑和服务经济社会发展的能力,直接影响高校立德树人的成效。
在专业设置和调整工作中——
一是服务需求,高校要主动服务国家战略、区域经济社会和产业发展需要,设置符合办学定位和办学特色的专业。
二是重视质量,高校增设专业应满足《普通高等学校本科专业类教学质量国家标准》基本要求,要具有合理的人才培养方案,具备师资条件、教学资源、实验实习条件等。
三是优化结构,我们支持和鼓励高校打破学科专业壁垒,不断深化新工科、新医科、新农科、新文科建设,增设交叉融合的新专业;推动高校积极开展专业优化、调整、升级、换代和新建工作,在不同类型高校中培育特色优势专业集群,升级改造传统专业,淘汰不适应社会需求、不符合学校办学定位的专业,加快培养紧缺人才。
3.通过专业设置工作,在优化调整专业结构方面,取得了哪些成效?
此次专业增、撤工作共涉及2765个专业布点,占目前本科专业布点总数的4.6%。支持高校服务国家战略和民生急需,设置了储能科学与工程、集成电路设计与集成系统、密码科学与技术、种子科学与工程、非物质文化遗产保护、养老服务管理、预防医学、护理学、健康服务与管理、应急技术与管理等一批专业布点。经统计,2012年以来,教育部聚焦全面提高人才培养能力这个核心点,主动适应经济社会发展需求变化,支持全国高校增设1.7万个本科专业点,占专业布点总数的28%,撤销和停招了近1万个专业点。可以说,经过不懈努力,我们推进了一场数量足够多、力度足够大、频度足够高的专业结构改革。
4.在专业设置工作中,如何保障新设专业建设质量?
在深化“放管服”改革的基础上,我们通过政策引导、专家咨询和信息服务等,推动高校加强新设专业的质量保障。从程序上,要求高校结合经济社会发展需要、本校专业发展规划和师资情况、办学条件等,对照《普通高等学校本科专业类教学质量国家标准》,严格论证拟新设专业必要性和可行性,研制人才培养方案,进行校内审议和公示后方可进行网络申报。在专业申报材料集中公示期间,我们专门组织4300余名专家开展线上评议,对申报专业的人才培养方案、师资队伍、教学条件等提出了3.8万多条意见和建议,并通过平台实时反馈相应高校,指导高校在新设专业科学性、合理性、规范性上持续改进,保障专业建设的基本质量。
5.在专业设置工作中,如何突出就业导向?
在突出就业导向方面,明确要求高校在申报增设专业时,要充分调研社会需求,以详实的人才需求调研数据作为增设专业的理由和基础,要加强与用人单位沟通,明确社会对新设专业的具体要求。此次共撤销804个专业布点,主要是一些不能适应社会变化需求和就业率过低的专业。此外,为防止部分专业设置“过热”,对艺术类等专业加大调控力度,明确要求高校申请增设艺术类专业,应符合办学定位,并已列入正式发布的学校事业发展规划,同时,将新增列入目录的部分艺术类专业纳入国家控制布点专业进行管理。
E
N
D
来源 江苏教育发布、微言教育
编辑 周卉卉

