大数跨境
0
0

最新!撤销518个

最新!撤销518个 南通人
2021-03-03
0
导读:最新!撤销518个














































































































































































































































































































































































































































































































































































最新!

撤销518个本科专业


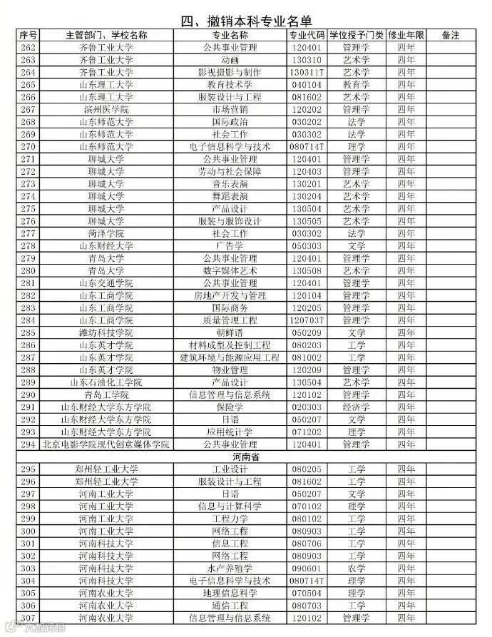
3月1日,教育部公布2020年度普通高等学校本科专业备案和审批结果,根据高等学校专业设置与教学指导委员会评议结果,共撤销518个本科专业。




被撤销专业全名单如下

快来看看

是你的母校和你学的专业吗?

↓↓↓


【声明】内容源于网络
0
0
南通人
致力打造专属南通人的生活门户网站,网罗南通购物、美食、家装、房产、人才等海量生活资讯。
内容 2869
粉丝 0
南通人 致力打造专属南通人的生活门户网站,网罗南通购物、美食、家装、房产、人才等海量生活资讯。
总阅读1.3k
粉丝0
内容2.9k