

2019年排污许可工作处于攻坚克难的关键时期,《2019年环境影响评价与排放管理工作要点》配套了《2019年全国排污许可管理工作细化方案》作为附件,细化明确了推进年度重点行业排污许可证核发任务,部署开展固定污染源清理整顿,全面推进排污许可证后管理、强化排污者责任等多项具体工作,而且明确了责任单位、完成时限和考核要求,强化任务落实。其中,重中之重是开展“核发一个行业、清理一个行业”固定污染源清理整顿,强化证后检查和监管执法,逐步实现固定污染源全过程多要素的“一证式”环境管理。
推进2019年重点行业排污许可证核发任务
完成2019年重点行业排污许可证核发。9月底前,基本完成磷肥、汽车、电池、水处理、锅炉行业排污许可证核发,畜禽养殖、乳制品制造、家具制造、人造板制造等其他行业排污许可证发证率不少于40%,11月底前发证率不少于80%;12月20日前基本完成排污许可证年度核发任务。(环评司负责,省级生态环境部门组织实施,评估中心配合)
全面推进排污许可证后管理,强化排污者责任
组织开展排污许可证质量抽查。各级地方生态环境部门组织开展排污单位排污许可证质量抽查,重点检查污染物种类、许可排放限值、执行标准、监测频次、无组织排放管理、重点环境管理要求等内容,涉及存在整改事项的核查整改要求落实情况,排污许可证质量抽查比例占总体数量的3%左右;6月底前完成2017年核发的火电、造纸、钢铁等15个重点行业排污许可证质量抽查,12月底前完成2018年核发的屠宰、淀粉、陶瓷等6个行业排污许可证质量抽查。(省级生态环境部门负责,环评司、评估中心指导)生态环境部组织对各地排污许可证质量进行抽查,抽查比例不少于总体数量的1%,检查内容和进度同上。(环评司负责,评估中心配合)
开展重点管理排污单位排污许可执行报告检查。各级地方生态环境部门组织开展排污单位排污许可执行报告抽查,重点检查执行报告年报、季报(月报)按时报送情况,以及报告内容的完整性和规范性,抽查比例占总体数量的3%左右;9月底前完成2017年核发的火电、造纸、钢铁等15个重点行业排污单位执行报告抽查,12月底前完成2018年核发的淀粉等6个重点行业排污单位执行报告抽查。(省级生态环境部门负责,环评司、评估中心指导)生态环境部组织对各地排污单位执行报告进行抽查,抽查比例不少于总体数量的1%,检查内容和进度同上。(环评司负责,评估中心配合)
开展重点管理排污单位自行监测执行情况检查。各级地方生态环境部门重点检查排污单位自行监测方案要求落实情况抽查,重点检查执行标准、监测点位、指标、频次、采样方法、监测分析方法、信息记录和信息公开的执行情况。(省级生态环境部门负责,监测司、环评司、监测总站指导)
开展重点管理排污单位现场检查。对于已发证的重点管理排污单位、环境信用较差、排污许可证质量检查、自行监测执行情况检查中存在问题的排污单位开展现场检查,重点检查排污单位排污许可证规定的许可浓度、许可量、在线监测、信息公开要求等执行情况,抽查台账记录、执行报告记录的排污数据的真实性。根据排污许可证质量抽查、执行报告检查结果确定现场检查企业清单,现场检查结果报送上级生态环境部门。(省级生态环境部门负责,环评司、监测司、执法局、评估中心指导)
依法开展执法检查。明确将排污许可证执法检查纳入年度执法计划,规范依证执法工作内容;按照“双随机”制度要求,对排污单位持证情况进行执法检查。对已发证的重点管理排污单位,重点检查排污许可证规定的许可浓度、许可量、在线监测等情况,以及台账记录、执法报告、信息公开等制度执行情况。对发现的涉及排污许可的环境违法行为依法查处,涉嫌犯罪的,依法移送公安机关处理。(省级生态环境部门负责,执法局、环评司、监测司、评估中心指导)
近期,山东、浙江等地陆续发布关于做好2019年度排污许可证核发和管理工作的通知。
1

根据《控制污染物排放许可制实施方案》(国办发﹝2016﹞81号)、《排污许可管理办法(试行)》、《固定污染源排污许可分类管理名录(2017年版)》、《关于做好污水处理厂排污许可管理工作的通知》(环办环评〔2019〕22号)、《2019年环境影响评价与排放管理工作要点》有关要求,现就水处理、汽车制造业、电池工业、肥料制造工业、锅炉行业、电镀工业、家具制造工业排污许可证申领工作有关事项公告如下:
一、申领范围:水处理、汽车、电池、磷肥、锅炉、电镀及家具制造业有关企业,详见《固定污染源排污许可分类管理名录(2017年版)》(如有更新,以新版《固定污染源排污许可分类管理名录》为准)。
二、申领时限:磷肥、汽车、电池、水处理、锅炉行业企业应于9月底前取得排污许可证,其他行业排污单位应于2019年12月20日前取得排污许可证,其中渤海沿岸城市(滨州市、东营市、潍坊市、烟台市)污水处理厂应于8月底前取得排污许可证。
各市生态环境局:
根据《浙江省排污许可证管理实施方案》(浙政办发〔2017〕79号)、《排污许可管理办法(试行)》和《固定污染源排污许可分类管理名录》(以下简称《管理名录》)等相关要求,结合《2019年浙江省排污许可管理工作细化方案》,为做好全省排污许可证核发和管理工作,现将有关事项通知如下:
一、 工作目标
2019年6月底前,完成2019年拟发排污许可证行业企业的摸底调查,并按照生态环境部要求,及时将企业清单上传至全国排污许可证管理信息平台。
2019年8月底前,完成2018年已发排污许可证的企业自查、现场检查和整改工作,提升排污许可证核发质量。
2019年11月底,按照分类处置原则,完成拟发行业的企业排污许可证申请与核发及登记管理工作,确保所有排污单位纳入环境管理范围。
积极探索排污许可制度与环评、执法等制度的衔接,强化固定污染源信息化管理,建立和完善固定源环境管理制度体系。
二、 工作范围
(一)摸底及核发范围
纳入《管理名录》2019年排污许可证核发的共计16个行业大类中23个细分行业小类。其中16个行业大类为:畜牧业03、非金属矿采选业10、农副食品加工业13、食品制造业14、酒饮料和精制茶制造业15、木材加工和木竹藤棕草制品业20、家具制造业21、化学原料和化学制品制造业26、汽车制造业36、电气机械和器材制造业38、计算机通信和其他电子设备制造业39、废弃资源综合利用业42、电力热力生产和供应业44、水的生产和供应业46、生态保护和环境治理业77、通用工序。23个细分行业小类详见附件1。
(二)自查及检查范围
全省2018年已完成核发的排污许可证行业,包括但不限于有色金属、陶瓷砖瓦、屠宰及肉类加工、淀粉、合成材料制造和污水处理厂(杭州和宁波市)等行业。





哪些单位需要办理排污许可证?

排污许可证如何办理?

每个流程需要注意些什么?






如何计算实际排放量?
当前,我们有多项环境管理制度涉及污染源排放量的计算和统计,由于判断方法、时间尺度、空间范围、统计依据和管理目的都不同,所以造成多种口径多套数据。
对于排污许可执行报告及证后管理,其重点和难点内容在于实际排放量核算。执行报告中的实际排放量核算方法不同于环境统计中污染物的计算方法,须按照排污许可申请与核发技术规范中的核算方法来计算。下面小编带大家一起去梳理下石化行业主要污染物的实际排放量核算方法。
一、计算方法和使用顺序
排污单位污染物实际排放量为正常和非正常排放量之和,主要污染物实际排放量核算方法包括实测法(分自动监测和手工监测)、物料衡算法、产污系数法和排污系数法。
根据《排污许可管理办法(试行)》第三十六条:污染物实际排放量按照排污许可证规定的废气、污水的排污口、生产设施或者车间分别计算,依照下列方法和顺序计算:
(一)依法安装使用了符合国家规定和监测规范的污染物自动监测设备的,按照污染物自动监测数据计算;
(二)依法不需安装污染物自动监测设备的,按照符合国家规定和监测规范的污染物手工监测数据计算;
(三)不能按照本条第一项、第二项规定的方法计算的,包括依法应当安装而未安装污染物自动监测设备或者自动监测设备不符合规定的,按照环境保护部规定的产排污系数、物料衡算方法计算。
二、废气
(1)采用自动监测数据核算
有组织废气主要排放口具有连续自动监测数据的污染物,实际排放量计算公式如下:
式中:
E j,有组织废气—核算时段内废气有组织主要排放口第项污染物的实际排放量,t;
Ci—第项污染物在第小时的实测平均排放浓度,mg/m³;
Qi—第项污染物第小时标准状态下干烟气量,Nm³/h;
n—排放时间,h。
例 1 采样自动监测数据核算燃烧烟气污染源SO2排放量
某硫磺回收装置焚烧炉排气筒已安装符合监测规范要求的在线连续监测系统,2月份导出数据如下:
假设该焚烧炉自动监控设施未发生故障且数据未缺失,核算该焚烧炉燃烧烟气中2月份SO2排放量。
解:核算该加热炉2月SO2排放量:
(2)采用手工监测数据核算
有组织废气主要排放口具有手工监测数据的污染物,实际排放量计算公式如下:
式中:
E j,有组织废气—核算时段内废气有组织排放口第项污染物的实际排放量,t;
C—核算时段内第项污染物实测平均排放浓度,mg/m³;
Q—核算时段内第项污染物标准状态下干烟气量,Nm³/h;
h—核算时段小时数,h。
例 2 采用手工监测数据核算燃烧烟气污染源氮氧化物排放量
某装置加热炉排气筒每月监测1次,得到二氧化硫的小时平均浓度为10mg/m3,氮氧化物的小时平均浓度为45mg/m3,颗粒物的小时平均浓度为12mg/m3,烟气平均流量为120000m3/h,测得的废气量及浓度均以干基、标态计。假设该加热炉为稳定运行,3月份运行时间744h,核算该加热炉燃烧烟气中二氧化硫、氮氧化物和颗粒物3月份排放量。
解:核算该加热炉3月份二氧化硫、氮氧化物和颗粒物排放量:
(3)物料衡算法
若排污单位未按照排污许可证中的要求进行手工监测(无有效监测数据),加热炉排放SO2排放量采用物料平衡法,计算公式如下:
式中:
E—核算时段内SO2产生量,t;
B—核算时段内燃料消耗量,t;
S—燃料内硫含量,%。
例 3 采用物料衡算法核算燃烧烟气污染源二氧化硫排放量
某装置加热炉排气筒未按照排污许可证中的监测要求进行监测,在核算时段3月份内无有效监测数据。该加热炉采用燃料为天然气,3月份燃料气消耗量为450万标立,燃料气密度0.72kg/Nm3,燃料气中硫含量0.003%。假设该加热炉为稳定运行,3月份运行时间744h,核算该加热炉燃烧烟气中3月份二氧化硫排放量。
解:核算该加热炉3月份二氧化硫排放量:
(4)产排污系数法
对于排污单位废气中NOx、颗粒物、挥发性有机物污染物实际排放量,应当采用自动监测而未采用的排放口或污染因子,采用产污系数法核算实际排放量,且均按直接排放进行核算。未按照排污许可证中的要求进行手工监测(无有效监测数据)的排放口或污染物,有有效治理设施的按排污系数法核算,无有效治理设施的按产污系数法算。
例 4 采用产污系数法核算燃烧烟气污染源氮氧化物排放量
某装置加热炉额定功率≥14MW,排气筒未按照排污许可证中的要求安装氮氧化物自动监测设施。该加热炉每月监测1次,得到氮氧化物的小时浓度均值为80mg/m3,烟气平均流量为45000m3/h,测得的废气量及浓度均以干基、标态计。假设该加热炉为稳定运行,4月份运行时间720h,燃料气消耗量为240万标立,燃料气密度0.72kg/Nm3,核算该加热炉燃烧烟气中氮氧化物4月份排放量。
解:核算该加热炉4月份氮氧化物排放量:
根据石化工业污染物实际排放量核算方法,燃气工艺加热炉氮氧化物的产污系数α为18.71kg/1万标立燃料气。
(5)非正常排放
有组织非正常排放时,具有有效自动或手工监测数据时,采用实测法(自动监测或手工监测)计算。污染治理设施发生故障时去除效率按0计算,采用产污系数核算实际排放量。
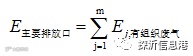
(6)全厂主要排放口污染物排放量
全厂有组织废气主要排放口污染物,实际排放量计算公式如下:
式中:
E主要排放口—核算时段内所有有组织废气主要排放口污染物实际排放量,t;
m—主要排放口数量。
根据环办〔2015〕104号文《石化行业VOCs污染源排查工作指南》,开展排污单位挥发性有机物污染源排查,并核算报告周期内的所有源项实际排放量。
火炬焚烧排放的挥发性有机物、二氧化硫和氮氧化物量,计算公式如下:
式中:
Si—火炬气中的硫含量,kg/m³;
Qi—火炬气流量,m³/h;
ti—火炬系统的年运行时间,h/a;
α—排放系数,kg/ m3,见表1;
n—火炬个数。

例 5 核算火炬污染物年排放量
某装置泄压气体排入火炬系统燃烧排放,年运行时间300h,进入火炬气体的平均流量是3000m3/h(干基、标态),火炬气中的平均硫含量为200mg/m3,核算该火炬系统中挥发性有机物、氮氧化物和二氧化硫的年排放量。
解:核算该火炬系统中挥发性有机物、氮氧化物和二氧化硫的年排放量:
三、废水
(1)采用自动监测数据核算
废水总排放口具有连续自动监测数据的污染物实际排放量,计算公式如下:
式中:
E废水—核算时段内废水总排放口污染物的实际排放量,t;
Ci—污染物在第日的实测平均排放浓度,mg/L;
Qi—第日的流量,m3/d;
n—核算时段天数,d。
(2)采用手工监测数据核算
废水总排放口具有手工监测数据的污染物实际排放量,计算公式如下:
式中:
E废水—核算时段内废水总排放口污染物的实际排放量,t;
C—核算时段内污染物实测平均排放浓度,mg/L;
Q—核算时段内废水流量,m3。
例 6 核算废水排放污染物量
以某石化厂废水收集及处理系统为例,该厂所在地属于总磷控制区,该厂各股废水通过泵站进入相应的污水调节罐,经隔油池、一级浮选、二级浮选、均质罐、生化池处理后通过污水总排口达标排放。污水总排口已安装符合监测规范要求的自动监测设施(COD和氨氮),总磷每周监测一次,其中2月份监测四次,日均浓度数据分别为0.355、0.404、0.299和0.366mg/L,COD和氨氮自动监测数据导出如下:
解:核算该厂2月份COD、氨氮和总磷的实际排放量:
总磷的平均浓度
再次提醒大家以下几点:
(1)废气污染物核算的排放浓度为小时均值,而废水污染物核算的排放浓度为日均值。
(2)主要污染物实际排放量一定要核算和填报准确。因为排污许可执行报告一旦提交,实际排放量数据将无法修改。
(3)主要排放口污染物年实际排放量之和不得超过相应污染物的年许可排放量,设备与管线组件、挥发性有机液体储存、挥发性有机液体装载挥发性有机物年实际排放量分别不得超过其年许可排放量。
违反排污许可证要求排污有什么处罚?
根据《排污许可管理办法(试行)》,违反排污许可自行监测要求的,由县级以上环境保护主管部门依据《中华人民共和国大气污染防治法》《中华人民共和国水污染防治法》的规定,责令改正,处二万元以上二十万元以下的罚款;拒不改正的,依法责令停产整治。

排污单位存在无排污许可证排放污染物情形的,由县级以上环境保护主管部门依据《中华人民共和国大气污染防治法》《中华人民共和国水污染防治法》的规定,责令改正或者责令限制生产、停产整治,并处十万元以上一百万元以下的罚款;情节严重的,报经有批准权的人民政府批准,责令停业、关闭。
据《排污许可管理办法(试行)》第五十八条规定,排污单位存在超标排污、偷排、篡改或者伪造监测数据、私设暗管等违反排污许可证行为的,由县级以上环境保护主管部门依据《中华人民共和国环境保护法》《中华人民共和国大气污染防治法》《中华人民共和国水污染防治法》的规定,责令改正或者责令限制生产、停产整治,并处十万元以上一百万元以下的罚款;情节严重的,报经有批准权的人民政府批准,责令停业、关闭。
排污单位违法排放大气污染物、水污染物,受到罚款处罚,被责令改正的,依法作出处罚决定的行政机关组织复查,发现其继续违法排放大气污染物、水污染物或者拒绝、阻挠复查的,作出处罚决定的行政机关可以自责令改正之日的次日起,依法按照原处罚数额按日连续处罚。
对此,大家怎么看,欢迎留言讨论,
您的点赞、分享、收藏、转发
都是对小编的支持!
关注本地:热点 资讯 ↓↓↓

推荐阅读

↓↓↓免费发布-便民信息·招聘求职·房屋租售
下方⇙⇙阅读原文


