如何根据地球化学,特别是微量元素地球化学标志,鉴别撞击作用的类型,是生物大灭绝地球化学研究中的一个重要问题。
地球岩石受撞击后的产物(角砾、岩石熔融物)的化学成分是受被撞击岩石的成分及其在撞击产物中的比例,以及撞击体——地球外物质的类型所控制的。不同地区的撞击坑中地球外物质所占比例是不同的,例如,在Saakazarvi撞击坑中,C1球粒陨石物质占0.5%,而在Mieu和Dellen坑中约为0.1%。在Gardaos撞击产物的含熔体角砾中,球外物质成分占≤0.15%。但在加拿大Clear-water East撞击物中,根据铂族元素资料,C1球粒陨石的量可达8%。因此,陨石类型的鉴别标志可用于鉴别撞击物类型。
目前,应用最多的是检测亲铁元素,特别是铂族元素PGE的正异常。以及应用Re-Os、Mg-Cr和W-Hf同位素体系。Cr、Ni、Co(10-6级)及铂族元素Os、Re、Ir、Ru、Pd和Au(10-9级)的富集,表明有富集这些元素的非地球物质组分存在,而上述元素的比值可以帮助鉴别撞击体的类型———是球粒陨石还是铁陨石.但不可能鉴别无球粒陨石。
用亲铁及铂族元素作为鉴别地球外物质的标志,是基于这些元素在陨石中的丰度比地球岩石高得多。如铂族元素高达2~5个数量级(表5-40)。铂族元素之间的比值也明显不同。然而,由于撞击时产生的高温可以使直径大于40m的撞击体蒸发,此外,陨石在地球表面抗风化能力非常弱,石陨石一般是几千年。铁陨石是几万到几十万年。
表 5-40 地球岩石、陨石及撞击产物的亲铁和铂族元素含量比较 (Munoz-Espadas et al.,2003)

陨石碎片一般仅保留在年轻的小的陨石坑(<0.1Ma,直径<1.5km)。球粒陨石Cr丰度高,而铁陨石的Cr含量变化大。其典型值比球粒陨石低100倍,因此,Cr的富集和低Ni/Cr或Co/Cr值可以区分球粒陨石和铁陨石的撞击物(铁陨石为Ni/Cr~4000.Co/Cr~100)。铂族元素PGE(Ru、Rh、Pd、Os、Ir、Pt)和Au非常适于鉴别陨石的类型。在球粒陨石和铁陨石中.这些元素的丰度比地球高几个数量级。例如,在球粒陨石中,Ir和Os的典型含量一般为(400~800)×10-9。
然而,必须指出的是,在地幔来源的岩石中的铂族元素型式与球粒陨石很相似。在确定撞击熔体中的地球外物质时必须了解基底岩石中的亲铁元素的量,用混合方法可以计算不同类型的受撞击岩石的相对比例。谐波最小二乘法混合计算程序可用于此种计算。
然而,这种计算由于受冲击岩周围岩石确切类型识别和成分的不确定性限制而使计算变得很复杂。剥蚀或部分被年轻岩石覆盖也使其很困难。相关性分析方法是较好的替代方法。常采用PGE-Ir的回归分析,如果陨石的成分均匀分布,受撞击岩石原来固有的Ir又是可忽略不计的,这时的相关性及它们的斜率(主要由PGE组分中PGE/Ir值控制)就可确定,它代表了冲击体(球外物质)的PGE比值(如Ru/Ir、Pt/Ir等)。其Y轴在Ir为0的截距可用来限定原来固有的PGE的贡献。

图 5-92 加拿大Clearwater East撞击熔体PGE之间的关系 (McDonald,2002)
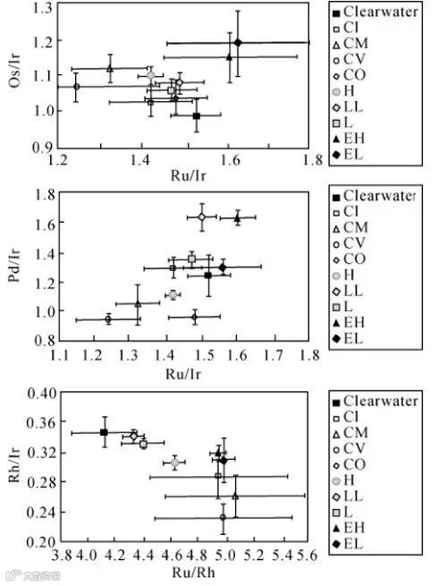
Mc-Donald(2002)用这种方法重新解释了加拿大Clearwater East陨石坑中的撞击熔体中的PGE组成(图5-92)。Ru/Ir和Ru/Rh值对于区分碳质球粒陨石、顽火陨石和普通球粒陨石很有效。用Os/Ir对Ru/Ir,Pd/Ir对Ru/Ir和Rh/Ir对Ru/Rh作图(图5-93),然后将Clearwater East的撞击熔体与不同类型球粒陨石对比,发现撞击熔体只有与LL型球粒陨石相似的Os/Ir和Ru/Ir值。但Pd/Ir低,Ru/Ir和Pd/Ir值比H型球粒高,Os/Ir值低,而Ru/Ir比任何球粒陨石都高。Ru/Rh值则都低(L型和LL型除外)。这表明,根据PGE比值比较,最合适的撞击体是普通的(最可能是L型)球粒陨石,而不是原来认为的碳质球粒陨石。这与Cr同位素资料一致。对俄罗斯西伯利亚波皮盖(Popigai)陨石坑的铂族元素组成的系统分析研究表明。

图5-93 加拿大Clearwater East 撞击熔融岩石与不同类型陨石PGE比值的比较 (McDonald,2002)
在陨石坑熔融岩石的Ru/Rh-Pt/Pd等比值图解中,波皮盖(Popigai)陨石坑冲击熔体的分布与普通球粒陨石(L型)重叠,该结果与Cr同位素资料一致,表明它形成于普通球粒陨石的撞击作用,可能的源区为S型小行星。
当撞击熔体仍然是熔融状态时亲铁元素可能会发生分异,在一个大的冲击坑中,熔体可以保持几千年仍是热的。不同的矿物,如辉石、磁铁矿和铬铁矿可以含有不同比例的亲Fe元素Ni、Co和Cr。但没有PGE 。这就导致了这些元素的不均匀分布和元素比值发生变化。如Cr/Ni、Ni/Ir和Cr/Ir就被限制了应用。然而,在很多的撞击形成的熔体和全球性撞击物中,PGE分异是不强的,因此,在更大的样品中,PGE是很少分异的。
然而,与热的撞击熔融有关的热液过程可使撞击岩石中PGE浓度改变(溅出物不受影响),因此,在用这些元素的比值时必须考虑PGE的活动性。因为其活动性可以产生非球粒陨石比值。如Au/Ir,由于Au在地球条件下比Ir更易活动,使得Au/Ir值比其他PGE元素的用途减小,撞击物在不同环境中,如在海相(水下撞击)和陆相活动性也有区别,在海相白垩纪/古近纪(K/T界限).PGE的活动性顺序是Rh>Au>Pd>Pt>Ru>Ir,而在陆相条件下是:Au>Pd>Pt≈Rh>Ru>Ir。由于Ru和Ir是最不活动的PGE,因此,用Ru/Ir值可以使因PGE活动性所产生的鉴别问题最小化。
目前,PGE分析方法的进步使得其测定精度大大提高,并积累了大量有关陨石的PGE资料。用PGE资料结合Re-Os、Mn-Cr和W-Hf同位素体系,可以更精确地确定撞击的类型。
虽然小行星撞击说对生物大灭绝提供了解释,但是,为何在白垩纪末期的小行星撞击只造成恐龙的灭绝,而其他生物却免遭灭顶之灾?为何在全球白垩纪与古近纪界线Ir异常未普遍存在?鉴于此,提出了火山爆发说,其中,最具代表性的是大火成岩省研究。

本文由安静摘编自赵振华著《微量元素地球化学原理》(第二版)(2016年3月第1版)第五章,内容有删减。

978-7-03-047496-4
《微量元素地球化学原理》(第二版) 以地球化学过程中的物理化学理论为基础,系统论述微量元素作为地球化学示踪剂,在各种成岩作用的定量理论模型及成岩、成矿作用的物理、化学条件(如温度、压力、氧逸度、盐度等),成岩成矿物质来源识别及构造背景判别,地球主要圈层(地壳、地幔)间相互作用,地球历史中的地壳、地幔地球化学演化规律等研究中的应用。概要论述微量元素地球化学研究的方法论。

用您的手指点亮科学!
欢迎转发分享朋友圈,
您的鼓励是我们前进的动力!
点击“阅读原文”可购买本书。

