
我曾经在某则报导中看见,有人建议将肥胖列为传染病。没错,就是那种打喷嚏不遮嘴巴,旁边同学隔天就会请病假的传染病。据说有胖朋友,你肥胖的机率也会增加。想想这也不是很难理解的事,整天有人在一旁吃炸鸡排配珍珠奶茶,你还能心平气和地啃菜叶子吗?
肥胖是本世纪的问题,是科技促成粮食产量大幅提高的副作用。1975年到2005年间,美国人每日摄取的热量增加了1000千卡,平均体重则增加9千克。但运动呢,很显然在谷歌眼镜尚未普及时,人们依然很难将屁股从电脑前移开。
肥胖的理由很简单,人体会依据吸收能量与消耗能量,来调整新陈代谢与身体组织。当吸收的能量(Energy Intake,EI)太多,消耗的能量(Energy Expenditure,EE)太少时,中间的差额就是你肚子上的那一圈儿。
使用固定的减少饮食或增加运动的减肥策略,减肥效果会越来越差,因为减重的效果并非线性递减,而是逐渐趋缓的。然后我们介绍了一款在线的体重模拟器(Body Weight Simulator)软件。这个模拟器告诉你想在X天内减肥Y千克,饮食跟运动习惯该如何调整,可不是简单的1千克含几千卡热量所以减肥几千克要少吃几千卡这种简单的四则运算。

现在,我们进一步来看这个体重模拟器背后的原理。
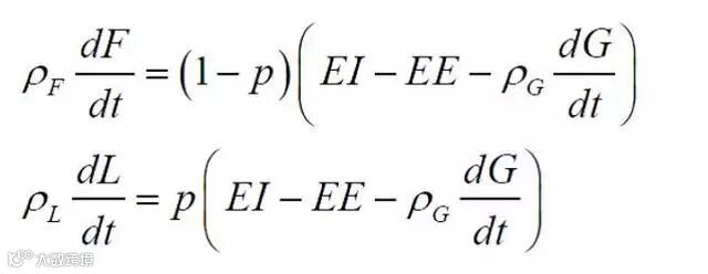
减肥首先要做的就是降低吸收的能量,或增加消耗的能量,而脂肪(F)跟肌肉(L)的变化量(微分)与吸收的能量减去消耗的能量成正比,这个关系可以用下式表示:

其中,F跟L分别代表示脂肪和肌肉,ρ是每千克脂肪/肌肉所储存的能量,ρF约是ρL的5倍。也就是说,增减一千克的肌肉,需要的能量是增减一千克脂肪的五倍。撇开其他太复杂的变数不提,当一个人体重维持定值时,表示一切达到平衡,微分项皆为0。吸收能量与消耗能量相减也会相等。
每个人脂肪,则可以依据性别、身高(Height,H)、体重(Body Weight,BW)、还有年纪(age)来计算:

以身高1.6米、体重50千克的一位25岁女孩子来说,算出来是10.13千克;但如果多了5岁,那就多了350克,验证了一句话,岁月不饶人。
再来看脂肪跟肌肉是如何消耗能量的:

可以看见,消耗的能量除了跟一些基本参数(K、TEF、AT)有关外,最重要的就是跟脂肪和肌肉现有的质量(F、L)以及变化量(微分项)有关。
对应的加权参数γL是γF的7倍,也就是说,同样质量的肌肉,尽管储存能量较少,但单位肌肉消耗的能量,却是)。ηL与ηF只差了1.3倍左右。η跟γ相差了几十倍,表示改变肌肉或脂肪重量时,需要消耗的能量远比维持每天生活的能量要来的多。
根据传统线性模型,1天减少480千卡节食策略的100千克胖子,他会以每年减少22千克的幅度下降。但实际上,根据更精确的模型指出,很抱歉,他最终只能瘦25千克,而且这会在10年内才完成。听起来真沮丧,比陈奕迅的《十年》听起来还让人伤心。
别伤心的太早,因为第1年就能瘦一半,减到88千克;而3年内则可以瘦到76.25千克;最后7年瘦1.25千克。还算是可以接受吧。

这个真实的模型告诉我们,一般人无法达到减肥计划,不是计划的错,而是传统线性模型的错。遗憾的是因为线性模型够简单,所以被广泛使用,结果正确不正确反而是其次的了。这个预估约有正负5%的误差。也就是说最差的情况下,他最后可能只瘦到79千克,而最好的情况下将会是个71千克的瘦子,真好!!
接着,比较不同体重的人,采取同样减肥策略的效果。
尽管一开始的减肥效果相同,但过了一个时间后,体重比较重的人会继续瘦下去,体重较轻的人会趋缓。因为比较重的人原本就需要比较多的能量来维持运作,特别是肌肉部分。但当能量减少时,先减少的是脂肪,保留下来的较多的肌肉,会造成他的减肥效果更好。但相对来说,需要较长的时间才能得到平衡。
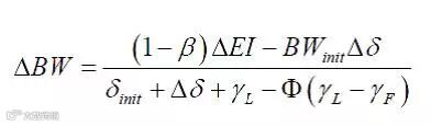
我们可以用下面的式子来解释最后的体重变化(ΔBW):

其中Φ跟减重前的脂肪(F)成正比,因为γL>γF,F越大,Φ越大,分母越小,减少的体重越多;ΔEI则是减少的能量摄取,摄取能量越少,越能减肥。
另外,这个公式也记录了运动效果δ。δinit是减肥前的运动强度,Δδ则是减肥时增加的运动强度。可以看见一开始就运动的人,在同样的节食效果下,反而会有比较差的减肥成果;而原本比较胖的人,因为分子BWinit较大,使用运动减肥也会有比较好的效果。所以如果你已经在跑步了,但还是胖胖的(比如我),那就得有点担心了。
最后,很有趣的是,发明这套体重模拟器的团队还发表了参与实验的小胖子们最常出现的减肥模式——先厉行节食策略一阵子(下图黑色实线),再慢慢松懈,在九个月左右彻底放弃。反应在体重上(上图蓝色实线)就是前六个月体重大幅降低,但之后因为松懈节食,且能量消耗因为一开始的节食而降低,所以体重不再减少,最后又慢慢增加回去。

图A:体重变化量(蓝色实线)、体重变化量范围(蓝色虚线)随时间变化曲线;
图B:能量摄入(黑色实线)、能量消耗(红色实线)、能量消耗的置信区间(红色虚线)随时间变化曲线。
看来,最终极的体重模拟器,似乎得把人的惰性以及居住地周围盐酥鸡摊的密度给考虑进去,才能真正地模拟我们的体重变化。只是那样的结果好像不模拟也都可以知道了。

本文转载自果壳网,原文作者:赖以威。版权由原作者所有。
来源:http://www.guokr.com/article/438404/


ISBN:978-7-50-884538-8
从1991年至今,由哈弗大学的科学杂志《不可思议研究年鉴》举办的搞笑诺贝尔奖,已经走过了25个年头,大约240项成果被授予搞笑诺贝尔奖,它的国际影响力日益增加。搞笑诺贝尔奖和正牌诺贝尔奖最大的区别在于获奖者研究的问题不同,一个正牌诺贝尔获得者花费几年,甚至几十年的时间;但是一个搞笑诺贝尔奖获得者,也许只是花了几个星期的时间,解决了一个他自己很感兴趣的问题。
《科学也爱恶作剧:来自哈佛的搞笑诺贝尔奖》把那些让人幽默一笑,然后引人深思的研究成果展示出来。细细品味搞笑诺贝尔奖风靡全球的魅力,也让我们重新认识科学家。看似严肃的科学家也有幽默感,只是我们很少有机会监事而已。
(本期责编:王芳)

一起阅读科学!
科学出版社│微信ID:sciencepress-cspm
专业品质 学术价值
原创好读 科学品味
点击“阅读原文”可购买本书


