人生有许许多多路口,常常不知向左还是右……学习运筹学,在遇到问题的时候或许就不难找到更好的解决办法了。
运筹学是研究当面对某方面的问题时,如何在给定的条件下寻求最优方案的一门科学。因此,运筹学与不同问题结合,就出现了不同的分支学科,如当面对的问题属于军事问题时,有军事运筹学;当面对的问题属于管理问题时,有管理运筹学。我从事运筹学教学已近30年,由我编著的《运筹学教程》已出版了第三版。然而,如何将运筹学的教学做到深入浅出,我仍然深感困惑。原因何在?最重要的一点是运筹学相对较难,它不仅需要建立模型,需要数学知识,更需要熟悉所要解决的问题,如管理问题或军事问题。我教过的MBA(工商管理硕士)学员中有一个班的同学们竟直接管运筹学叫做“晕愁学”,足以想见他们对运筹学的印象。所以,怎样把运筹学讲得通俗易懂,一直是我努力的一个方向。收集趣味运筹学问题,目的有二:一是增加读者对运筹学学习的兴趣;二是加深读者对运筹学精髓的理解。有了这两条,我相信运筹学的学习就会变得相对容易一些。

何为趣味?所谓趣味,即读后能使人感到愉快,能引起人的兴趣。运筹学的精髓或说核心是它的方法,即寻求最优方案的方法,具体地说就是建立模型和求解模型。这两个方面都需要丰富的专业知识,做起来往往比较困难。我们在现实生活中遇到的问题是多方面的,因此解决问题的方法也是多种多样的。我们常常说“条条大路通罗马”就是这个意思。这就为我们编写《趣味运筹学:从田忌赛马到囚徒困境》留下了足够的空间—讨论的问题涉及现实生活的方方面面,运用的方法是能够解决问题的可用方法。
在现实生活中,每天都会有这样那样的问题需要我们运筹决策。有些事情是有可参考的模式的,而有些事情却从来没有遇到过,我们就不知道该怎么做,这就需要我们运筹和思考。如何运筹?毫无疑问就需要方法。在运筹学思想和方法的运用方面,我国古代有过许多经典的案例,读来颇有趣味。例如,战国时谋士孙膑为田忌赛马献策而胜齐威王,北宋时丁渭设计皇宫修复方案等。
按照学科分类,运筹学属于应用数学范畴,也就是说,运筹学本身就植根于数学。然而,它又不完全等同于数学。运筹学的方法不仅包括计算,还包括观察、逻辑判断、推理、分析、综合等,也就是说,凡属于“运筹帷幄” 或者解决“How to do”问题的有效方法,都是运筹学的可用方法。这可以说是贯穿全书的一条主线。在内容的编排上,本书采用了循序渐进、由浅入深的方法,内容比较简单的尽量靠前,稍微偏难的或相对专业一点的尽量靠后。另外,类似的问题尽量放在一起,以便于读者能举一反三、触类旁通。同类型的问题,则作为某个问题的扩展问题,放在同一个题目下介绍。还有一些问题,虽然没有明确进行分类,实际上也包括了多个问题,如有剩余分配、奇型幻方等。
假定现在有两份工作可供你选择。每份工作的底薪都是年薪 18 000 元。第一份工作每年加薪2000元,而第二份工作每半年加薪500元。你该选哪一份工作?
凭直觉,人们会认为答案是明显的。每年加薪2000元看起来比每年总共加薪1000元要好。因此,当然是选第一份工作合适了。真是这样吗?
这里有三种不同的分析方法。
方法一,以半年即六个月为周期计算每份工作的薪金。
每年加薪2000元的第一份工作的薪金分别是9000元、9000元、10 000元、10 000元、11 000元、11 000元、12 000元、12 000元……
每半年加薪500元的第二份工作的薪金分别是9000元、9500元、10 000元、10 500元、11 000元、11 500元、12 000元、12 500元……
从两列薪金的对比中清楚可见,第二份工作在每年的后半年有更好的收入,而在前半年与第一份工作收入相同。很显然,是第二份工作更好。
方法二,以一年为周期计算每份工作的薪金。
第一份工作的薪金分别是20 000元,22 000元,24 000元,26 000元,28 000元,30 000元……
第二份工作的薪金分别是19 000元,20 000元,21 000元,22 000元,23 000元,24 000元……
容易看出,第二份工作比第一份工作差多了。
为什么会是这样呢?两种不同的方法为什么会有如此大的差别?你能找到原因吗?究竟哪一份工作更好呢?
问题就出在方法上。第一种方法把第一份工作中的1000元推后了半年,而第二种方法把第二份工作的500元推后了半年。凡学过经济学的人都知道,资金是有时间价值的。因此,上述两种方法肯定有问题。那么究竟应该怎么算才合理呢?
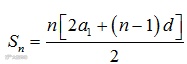
底薪两份工作相同,无须考虑。然后,可以把时间稍微拉长一点,比如说放在10年内进行分析,只考虑加薪。在10年内,第一份工作的加薪会形成一个初值和等差均为2000,n=10的等差数列,而第二份工作的加薪则会形成一个初值和等差均为500,n=20的等差数列。现在我们来计算这两个等差数列的前n项和。依公式:


容易看出,第二个方案还是少了5000元。
如果要考虑资金的时间价值(钱存入银行可获得利息),使用净现值方法(即把每一期的等额收益都折算成现在值)分析,假如资金成本率即年利率为10%,那么半年就是5%,于是容易知道n=10时的年金现值系数是6.145,n=20时的年金现值系数是12.462。显然2000×6.145>500×12.462,即把每期的等额薪水(即年金,前者是2000元,后者是500元)都折合成现值,还是第一份工作要好。
有些书上根据第一种算法,认为第二份工作好,并且把这看作直觉失败的一个例证,显然是欠考虑的。


趣味运筹学:从田忌赛马到囚徒困境
ISBN 978-7-03-053728-7
熊义杰 编著
责任编辑:石卉
(本期编辑:王芳)

一起阅读科学!
科学出版社│微信ID:sciencepress-cspm
专业品质 学术价值
原创好读 科学品味

