|作者:郑伟谋 ( 中国科学院理论物理研究所 )
本文选自《物理》2020年第10期
摘要 文章抽选关于量子力学基本原理的几个题目,包括量子力学与经典物理学的对比、量子概念的产生、薛定谔方程的出现、全同性原理和量子路径积分等,作些说明。目的在于激发读者思考量子力学的本质在哪里。
关键词 量子力学,热辐射,薛定谔方程,全同性,量子路径积分
何谓量子力学?量子力学是在经典力学的基础上发展起来的,以微观世界为主要对象。“量子”说的是离散性,20世纪前后有一系列直接的实验证据显示微观世界的量子性。不好说离散性是量子世界最本质的特征,但是,它的确触发了量子力学的发展。量子的概念由普朗克提出,而量子力学的创立则归功于海森堡和薛定谔。量子力学一开始就是以公理表述的形式出现的。
任何物理理论都不仅仅描绘事实,它们包含由经验延伸出的假设和观念。经典物理学大致包含四个分支:力学、电磁学、热力学和统计力学。经典力学处理的对象以质点系为代表,经典力学的状态是质点系所有质点的位置和速度。经典力学中隐含三条假设:(1)无限精细的经验可能性;(2)计算要素与观察要素等同;(3)确定论的预言。电磁学的对象是电磁场,电磁场状态需要用连续的空间函数即每一点的场强描述,特别地,电磁场的能量是连续空间函数能量密度的空间积分。连续空间函数处理的是光的波动理论,曾经代表经典物理学的辉煌。连续区物理学中最重要的概念是场,特别是势场。势场的概念也用于经典力学,且不限于连续介质力学。
在关于热力学现象的描述中,体系各组成质点的位置和速度已失去直接经验的意义。热力学的对象是由大量粒子组成的宏观物体。热力学状态用压强、体积等宏观变量定义,则显得自然,变量间的关系也变得简单。热力学状态的这种描述,原则上只对所谓的平衡态有效。热力学关心的是建立宏观可观察量间的必要关系而不问任何详细解释,是一种唯象的理论。统计力学根据物质的微观组成和相互作用,研究宏观物体的性质和行为的统计规律,即解释热力学。统计力学的成功,以吉布斯的平衡统计系综理论为标志。Domb曾评论,吉布斯从玻尔兹曼的概念出发所构建的统计力学一般理论,“已被看作是20世纪里该领域中一切工作的基础。因而,将他看作为现代物理学的一个伟大先驱是恰当的。”[1] 宏观物体的“力学状态”是其N个组成粒子的坐标和动量:(qN,pN),即微观组态或构象态,是6N -维相空间中的一点。在吉布斯的系综理论里的统计力学状态是什么?是支在这6N -维相空间上的一个分布P(qN,pN)。宏观体系的哈密顿量H(qN,pN) 可以凭借力学得到,吉布斯理论给出如何由H确定统计力学状态即分布P以及如何再由P计算热力学量的规则,并且导出热力学关系。这里的统计力学状态显然是由经验延伸出的观念,并非直接来自经验[2]。
在薛定谔理论里的量子力学的体系状态是什么?是波函数。波函数无疑并非经验事实的直接摹写。氢原子光谱等实验观测及其规律总结,如里兹频率组合原则,角色与热力学相近,如何构造适当的状态并给出状态演化及由之计算实验观测结果的规则,相当于统计力学,是量子力学的任务。对照统计力学思考量子力学,有所助益。
历史事实往往与历史的故事陈说不一样。“1900年,普朗克首次提出量子概念,用来解决困惑物理界的‘紫外灾难’问题”,并没有这回事。瑞利在1900年得到黑体辐射谱的λ-4关系。金斯和瑞利在1905年推导了完整的辐射谱瑞利—金斯公式,存在紫外困难,但最先使用“紫外灾难”一词的是艾伦费斯特,在1911年。关于黑体辐射谱,1896年维恩推导了谱的函数形式,并提出半经验公式包括维恩位移律,可用于测量辐射体包括星体的温度。维恩获1911年诺贝尔物理学奖。
普朗克发现量子的历史与紫外灾难无关。维恩公式在黑体辐射谱的短波段或紫外区与实验符合很好,但在长波段与实验的符合,不如瑞利。为使前者与后者一致,普朗克修正了维恩定律,得到精确的拟合。然而,普朗克还从熵的角度看问题。1900年底,普朗克由热力学和统计力学给出了理论推导,他的统计力学解释显示存在“作用量量子”h,它决定辐射场振子能量的最小单位hν。这成为量子论诞生的标志。两点启示:(1)实验足够精细才能显现瑞利—金斯公式和维恩公式的差异;(2)量子性在紫外段更显著,但普朗克在红外段看到量子性,除其功力外有偶然性。1911年第一次索尔维会议上,洛伦兹评论说,普朗克的“能量基元假说对我们就像是一束奇妙的光线,给我们展现了意想不到的景色;即使对它有某种怀疑的那些人也必定会承认它的重要性和富有成果。”他提出“新力学”一词,会议文集的德文版编辑叫它“量子力学”。
量子物理学发展中出现三个学派:玻尔的哥本哈根学派、玻恩的哥廷根学派和索末菲的慕尼黑学派。海森堡说自己从导师索末菲那里得到乐观主义,从玻恩学数学,从玻尔学物理。庞卡莱曾在1911年指出,普朗克定律含有一个实质性的离散要素。1923年秋起,玻恩提出“物理学离散化”纲领,和海森堡尝试舍弃旧量子论,着手“离散的量子力学”计划。海森堡主张,只有在实验里能够观察到的物理量才具有物理意义,才可以用理论描述其物理行为,其他都是无稽之谈。因此,他抛弃玻尔模型中不自然的观念,如电子轨道、频率,刻意避开任何涉及粒子运动轨道的详细计算,因为轨道无法直接观察到,而专注于电子跃迁时发出的电磁辐射的离散频率、强度、极化和能级。1925年6月,海森堡在论文《运动学与力学关系的量子理论重新诠释》里提出矩阵力学。他找到位置与动量的一种表示,并由之正确地预测光谱实验观测结果,建造一个新理论。在阅读了海森堡的论文之后,玻恩看出,海森堡的数学运算原来就是他在学生时代学到的矩阵微积分,矩阵力学终于由海森堡、玻恩和约当于1925年完成。矩阵力学是量子力学的第一种自成体系且逻辑一贯的离散形式表述。剑桥的狄拉克也很快将经典力学方程替换成矩阵或“q-数”的类似方程。玻恩意识到海森堡的位置与动量的两个表示之间的非对易关系对应于矩阵运算,狄拉克则将经典泊松括号与之对应。
微观粒子在不同条件下分别表现出波动或粒子的性质,称为波粒二象性。这是微观粒子量子行为的基本属性之一。经典力学中,研究对象总是被明确区分为“纯”粒子和“纯”波动。简单而言,物质的粒子性由能量E和动量p刻画,波的特征则由频率ν和波长λ表达。黑体辐射中光的波动性即光波的频率ν和波长λ通过普朗克常数h与光粒子即光子的能量和动量联系在一起:E= hν,p = h/λ。爱因斯坦用光子的概念成功解释了光电效应。他说过,“我们面对着新的一类困难。我们有两个矛盾的现实图象,二者之一都不能单独完全解释光现象,但二者一起可以。”
在光具有波粒二象性的启发下,德布罗意认为,既然在X射线的情形下既有波又有粒子,人们必须把这种二象性推广到物质粒子,特别是电子。他也注意到,量子现象中的量子数这样的东西,在力学中很少见,而在波动现象和所有涉及波动的问题中却经常出现。1923年秋,德布罗意在他提交给巴黎科学院的三篇短文中提出假说,声称所有物质都拥有类波动属性。他认为玻尔原子定态是n个结点的驻波,像光波引导光子一样,物质相位波引导粒子运动。量子力学发展走了两条路:爱因斯坦强调波粒二象性,而玻尔强调能级的分立和跃迁。海森堡不欣赏波的图象,走玻尔路线关注离散性。德布罗意显示了通过驻波条件可得到量子条件,给予波动力学希望。就在海森堡等完成矩阵力学的几个月后,薛定谔则得到貌似连续的波动力学,且稍后不久即证明了波动力学与矩阵力学的等价性。
量子力学的第三种等价形式,是费曼的路径积分表述,则得等到1948年。薛定谔方程与扩散方程有数学上的相似性,而路径积分表述是对所有可能的路径的贡献求和。路径积分表述在应用于量子力学前,已用于布朗运动和扩散问题。
所有物质在温度高于绝对零度时发射电磁波,这种现象称为热辐射。物质由带电粒子组成,彼此有相互作用,引起电荷的加速运动和偶极振荡,导致发射光子即辐射电磁能。热辐射的特征,依赖于发射表面的各种性质。热辐射不是单色的,而由连续谱组成。基尔霍夫1859年建立了辐射热力学的数学基础,基于热力学第二定律,他得到,在热平衡的体系中,一个物体吸收和发射辐射的效率相等。如果辐射体和表面处于热平衡,且表面对所有波长完全吸收,完全不反射辐射,则它看起来全黑。一旦它被加热,将发出完全白的辐射。1862年基尔霍夫称这样的辐射为黑体辐射。黑体辐射有不依赖于其构成物质的一般谱特性,有助于理解辐射的本性。黑体对所有波长具有理想的吸收率,辐射谱只依赖于波长和温度。基尔霍夫还意识到带小孔的大腔是很好的黑体近似,射入小孔的辐射经腔壁多次反射再回到小孔之前将被充分吸收。他提出了理论对象和实验方案。
辐射压:也称光压,是暴露在电磁辐射中的物体表面所受到的压力。如果辐射被吸收,压强是流量密度除以光速;如果完全被反射,辐射压将会加倍。1619年开普勒曾用辐射压解释彗星尾为何背向太阳。1871年麦克斯韦从理论上推出辐射压,1900年列别捷夫首先在实验上证实。
根据麦克斯韦理论,电磁波携带有动量,可传递给反射或吸收的表面。自由电磁场能量通量由坡印廷矢量
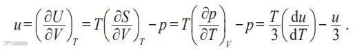
表示,线动量值为S/c2 。如果波被表面完全吸收,则辐射压为 p =<S>/c。如果吸收表面为平面且与辐射源成θ角,仅法向动量产生辐射压,辐射压减为 p =<S>cos2θ/c。总之,处于各向同性的均匀辐射场中的物体,将感受到压强,无须假定辐射的本性,可以得到辐射压 p = u/3 ,此处u为单位体积的辐射能。
斯特藩—玻尔兹曼定律:1789年斯特藩实验得出,辐射功率正比于温度的四次方:u = σT4。1884年玻尔兹曼给出热力学推导。据经典电动力学的麦克斯韦协强张量,可导出压强与内能的关系为 U = 3pV。依定义,辐射能量密度 u = U/V,仅依赖于温度T。所以,

于是,du/u = 4dT/T ,即 u = σT4。不难看出,此推导还给出熵
。
维恩公式:1893年维恩用当时不很流行的热力学方法处理黑体辐射。维恩设想提高辐射谱密度的两个独立过程,一为升温,另一为绝热压缩,认为只要最终温度相等,则二者谱密度分布相同。维恩考虑半径为R体积为V的球腔以速度 v = dR/dt 作准静态绝热压缩,由等熵
=常数,得VT3或RT为常数。运用多普勒频移和速度的关系,他得到 dλ/λ = dR/R。(如果考虑腔模,则容易接受 dλ/λ = dR/R)。记绝热压缩dR前后的温度分别为T0和T,则 λT = λ0T0 。将能量密度 u = σT4分配到各波长,应有 
。于是,可写 u(λ,T) = f(λT)T5。此为维恩位移律,不同于后来的用谱极大点写的 λmT = 常数。此处的表述与维恩的原始表述略有不同,但论据不变[3]。考虑绝热膨胀中辐射压做功,
,有
为常数,即
,与斯特藩定律一致。斯特藩定律只说明总能量密度,不能给出谱u(λ,T)。根据
,维恩的u(λ,T)的确满足斯特藩定律,但 f(λT) ≡ f(w) 仍未知。1896年维恩提出
。
瑞利—金斯公式:1900年瑞利提出他的黑体辐射谱公式:u(λ,T)∝λ-4。1905年金斯和瑞利给出了完整的推导。
平衡态腔内电磁波为驻波,满足波动方程 ∇2E = c-2∂2E/∂t2,有解 E = E0sin(πn∙r/L)sin(2πct/λ),此处L为腔的线度,n为波数,λ为波长,由方程得 n2 = 4L2/λ2。波数空间n到n+dn的球壳内的模数为 4πn2dn = 32π(L3/λ4)dλ,但仔细检查则上述估计有两个问题:驻波的n只取正值,应乘因子1/8,考虑到两种偏振,又应再乘因子2。最终得 8π(L3/λ4)dλ。根据能均分原理,每个模的能量为kBT,因而,单位体积单位波长的能量为 ρu = du/dλ = 8πkBT/λ4。值得注意,以上推导中用到连续近似:波长比腔体线度小许多,即 λ/L ≪1。考虑在平衡态下沿表面法向辐射的能量,一半射向壁一半向外。给定观察者看到的面积为A的面元发出的辐射为
,此处θ为观察者所在方向与表面法向的夹角,对θ积分得最终的辐射能谱:

普朗克的推导:由概率变换关系 P(λ)dλ = P(ν)dν,dν = -dλ/λ2,可写维恩谱公式 u(λ,T)dλ = f(w)w5λ-5dλ 的频率式为 u(ν,T) = aν3e-bν/T。在小ν下,u(ν,T) ~ν3,不如瑞利定律的~ν2。为使前者与后者一致,普朗克修正维恩定律为 u(ν,T) = aν3/(e-bν/T-1)。然而,普朗克还从熵的角度看问题。考虑辐射为各频率独立的理想体系。对单一频率,由热力学,(∂S/∂U)V = 1/T,如果取 ∂(1/T)/∂U = -A1/U,可得维恩公式,对应于 ∂2S/∂U2 = -A1/U。瑞利公式 U = A2T 对应于 ∂2S/∂U2 = -A2/U2。为使后者与前者协调,普朗克取 ∂2S/∂U2 = -A3/[U(U+B)],得正确解
,但需要推导熵函数S(U) 。考虑腔中被辐照的振子的熵。计算熵需要估计状态数,离散化较方便。设想将总能量分为P份,每份能量为ϵ,再分配给M个振子,此处P和M都是大整数。记振子平均能量为
,则
。总分配方式数为 W=(M+P-1)!/[(M-1)!P!],因而
,将之对
微分,可得平衡熵:

即
。利用状态数 8πν2c-3dν ,u与
有关系
。对照普朗克修正的维恩公式 u(ν,T) = aν3/(e-bν/T-1),得 ϵ = bkBν ≡ hν, a = 8π2h/c3,表明能量的分割非随意,每份必须为 ϵ = hν 。
费曼在他的物理学讲义中讲过,薛定谔方程不可能从你知道的任何东西中导出来,它只能从薛定谔的头脑中冒出来。薛定谔从单电子经典力学的哈密顿—雅可比方程出发,作变量代换S = -iℏlogψ ,得
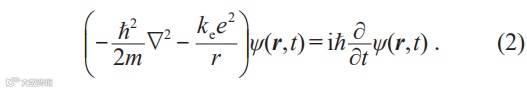
,并最终写下他的波动方程。1926年3月他注意到将动量p换成算符 -iℏ∂/∂q,改写哈密顿量为算符 H(q,-iℏ∂/∂q) ,可得氢原子波函数的方程为

通过将能量E换成 iℏ∂/∂t 还可得到时间演化方程为

薛定谔提出的量子力学基本方程,是将物质波的概念和波动方程相结合建立的偏微分方程,可描述微观粒子的运动,但也是量子力学的一个基本假定,其正确性只能靠实验来检验。波函数ψ(r,t)必定是复的,因为方程(2)右边有i,实波函数将导致矛盾。方程只含一阶时间微分,如果初始值ψ(r,t0)给定,则所有时间的ψ(r,t)也定了。方程是线性的,因而有叠加性:如果ψ1(r,t)和ψ2(r,t)为解,则 a1ψ1(r,t)+a2ψ2(r,t) 也是解,此处 a1,a2 为任意复常数。
量子力学的基本概念是可观察量、观测值和量子状态。空间中一个粒子的量子状态由波函数ψ定义,还须满足两个基本要求。(1)可积性:∫ψ*ψdτ 存在,这里积分范围是ψ独立变量的取值范围。如果积分常数为1,则称ψ为归一的;(2)单值性:ψ对于其独立变量为单值的,单值性对于角度变量尤为重要。
量子力学中,虽然每次测量的结果为确定值,但结果一般不唯一,不能预测单次测量的结果,只能给出各种可能值及其出现概率。可能值取决于相应算符的本征方程,而其概率可从量子态波函数计算。量子态决定了量子系统所有可观察量的观测值的概率分布。反过来说,量子态也可由可观察量观测值的概率分布确定,但所有可观察量间并不独立,可只关注特定的某些可观察量。
量子力学的基本原理可表述作:
(1)量子力学中,状态由满足可积性和单值性的波函数ψ定义。例如,氢原子中电子的状态波函数ψ(r)或者更一般的含时间的波函数ψ(r,t)。
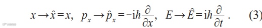
(2)每个可观察量p对应于一个线性算符
。例如,坐标、动量和能量分别有算符对应:

对应于一个可观察量的算符如何取是后验的,即其正确性只能靠实验来验证。算符
为线性,意味着它作用于线性组合状态 aϕ+bψ 的结果为
,即为分别作用结果的叠加,此处a和b为任意复常数。量子力学为线性理论,麦克斯韦的电磁理论也是线性的,但牛顿力学不是。仅就线性而言,量子力学比经典力学简单得多。
特别地,经典哈密顿量H的量子力学对应是哈密顿算符
。由 H=E 写出薛定谔方程:

描述波函数或量子状态的时间演化。可以通过改变哈密顿算符,影响量子状态的演化。
(3)可观察量有且仅有的观测值pλ,由算符
的如下本征方程给出:

这里本征方程的解ψλ称为本征函数,以之为波函数的量子态称为算符
的一个本征态,而pλ称为本征值。算符
的本征值的全体,称为它的谱。显然,ψλ乘以任意常数c后得到的cψλ,也为同本征值的本征函数,它们看作是等价的。
量子力学仅描述测量的结果。在测量获得观测值pλ的同时,体系状态也变到本征态ψλ。
(4)在状态ψ下可观察量p的一系列观测值的期望或平均为

正是这条性质导致玻恩关于波函数的概率解释;只有波函数可归一才有概率解释。如果状态ψ正好是算符
的本征态,则有
,即观测值的期望等同于观测值,表明此时观测到pλ是必然事件。投影算符
的期望,给出测量p的结果为pλ的概率。
20世纪早期,人们渐渐发现,假若原子的束缚电子数不是奇数而是偶数,则原子在化学上更为稳定。里德伯在1914年建议,主量子数为n的电子层最多只能容纳 2n2个电子,但是他并不清楚为什么在表达式里会出现因数2。泡利于1925年通过分析实验结果提出他的不相容原理:在量子力学里,所有同种微观粒子是不可分辨的,两个电子不能处于相同的量子态。泡利在1925年的论文中并没有说明为什么自旋为半整数的费米子遵守泡利不相容原理。
泡利不相容原理引申出的全同性原理,其数学表述是:多粒子体系的波函数对于同种粒子的交换不导致新态,因而必须或者是对称的或者是反对称的,前者称为玻色子,而后者称为费米子。粒子为玻色子或费米子,取决于其内禀性质自旋为整数或半整数。费米子的波函数对于粒子交换具有反对称性,因此遵守泡利不相容原理,必须用费米—狄拉克统计描述其统计行为。玻色子的波函数对于粒子交换具有对称性,因此它不遵守泡利不相容原理,其统计行为符合玻色—爱因斯坦统计。任意数量的全同玻色子可以处于同一量子态,如激光产生的光子和玻色—爱因斯坦凝聚。粒子全同性影响统计力学中构象数的计算,在统计力学中有重大后果。玻色统计在1924年提出,而费米统计在1926年提出。
泡利不相容原理是原子物理学与分子物理学的基础。粒子全同性不涉及任何位势或任何相互作用,是纯粹的一种量子性质,完全没有经典物理学对应。泡利不相容原理可用来解释多种不同的物理与化学现象,包括原子的性质、大块物质的稳定性与性质、中子星或白矮星的稳定性、固态能带理论,直至夸克色荷概念的提出。假若泡利不相容原理不成立,则各种原子中的所有电子都将处于同一基态,原子的尺寸会变得很小;除了与原子核的电荷平方成正比的电离能以外,元素与元素之间不会有什么显著差别;元素的性质不会出现周期性;化学与生物学不复存在,更不会有任何地球生命!只因原子内绝对不能有两个或多个的电子处于同样状态,才有化学的变幻多端,才有绚丽多彩的世界。当向公众普及量子力学时,应该首先介绍全同性原理。
菲尔兹在1939年明确地表述了自旋和统计间的关联,1940年泡利尝试给出证明。但是,实际而言,所谓的“自旋—统计定理”只展示出了自旋与统计间的关系符合相对论性量子力学,自洽而无矛盾。泡利于1947年承认,他无法对于泡利不相容原理给出一个逻辑解释,也无法从更基础理论推导出这一原理。费曼在其著名的讲义里有清楚的申明:“为什么带半整数自旋的粒子是费米子,它们的概率幅是以负号相结合?而带整数自旋的粒子是玻色子,它们的概率幅是以正号相结合?我们很抱歉不能给你一个简单的解释。泡利从量子场论与相对论出发,以复杂的方法推导出一个解释。他证明了这两者必须搭配的天衣无缝。我们希望能从更基本的层级复制他的论述,但是尚未获得成功⋯⋯这或许意味着我们还未完全了解所牵涉到的基本原理。想要找到这基本原因的物理学者至今仍旧无法得到满意答案!”也许应该将全同性原理和自旋—统计关联作为独立的原理提出。
区分粒子等同和不等同这两种情形的必要性,还涉及统计力学中的吉布斯佯谬,即吉布斯混和熵问题。吉布斯早就注意到,如果两个等同的流体块位于相邻的两个小室中,隔板移开时熵应该不变,而如果流体是不同的就会有熵变。体积为V的无相互作用体系中,粒子处于任一处的概率为1/V,位形空间的熵项为NlogV。如果体系扩为二倍,体积为2V的空间被隔板在正中间分隔为相同的两半,则隔板移除前后的熵分别为2NlogV和2Nlog(2V),二者不等,也不满足熵的广延性。量子不可分辨性引入因子1/N!,单粒子的有效体积也由V改为V/N ,位形空间的熵改为Nlog(V/N)。于是,隔板移除前后的熵均为2Nlog(V/N),不出现混和熵。吉布斯佯谬由引入量子等同粒子的不可分辨性而得以澄清。
戴森和杨振宁关于薛定谔发现波动力学方程的历史回顾,对于理解量子力学的实质很有助益,可惜一般量子力学教科书中不记述。1925年11月,薛定谔在阅读爱因斯坦关于玻色—爱因斯坦统计的论文时,得知德布罗意的博士论文,深有感触。在一次研讨会上,德拜指出,既然粒子具有波动性,应该有一种能够正确描述这种量子性质的波动方程。他的意见给予薛定谔极大的启发与鼓舞,他开始寻找这种波动方程。
“哈密顿类比”又称“光学—力学类比”,是哈密顿在研究经典力学时给出的理论。哈密顿指出,在经典力学里粒子的运动轨道,就如同在几何光学里光线的传播路径;垂直于这轨道的等作用量曲面,就如同垂直于路径的等传播时间曲面;描述粒子运动的最小作用量原理,就如同描述光线传播的费马原理。哈密顿发现,使用哈密顿—雅可比方程,可以推导出最小作用量原理与费马原理;遵守费马原理的光线“粒子”等同于遵守最小作用量原理的粒子。很多光的性质,例如衍射、干涉等等,无法用几何光学的理论来作解释,必须用波动光学的理论分析。这意味着几何光学不等价于波动光学,几何光学是波动光学的波长远短于空间参考线度的极限情形。哈密顿—雅可比方程似乎也有可能描述波动光学里遵守惠更斯原理的光波,只要将光线的等传播时间曲面改为光波的波前。
薛定谔寻思,经典力学与量子力学之间的关系,就如同几何光学与波动光学之间的关系;哈密顿—雅可比方程应该对应于量子力学的波动方程的某种极限。按照先前哈密顿类比的模式,依样画葫芦,应该可以找到正确形式的波动方程。设函数S(q,t)的等值面的运动作为时间t的函数,由初始位置在S-等值面上q点处的粒子的运动来定义。这种等值面的运动可想象为q空间中波的运动,虽然它并不恰好满足波动方程。为演示此点,让S表示波的相位:ψ = ψ0eiS/ℏ,或者写 S = -iℏlogψ ,此处引入常数ℏ以无量纲化指数宗量;波的振幅变化可让S取复数来表示。于是,可写下哈密顿—雅可比方程:

它是非线性版的薛定谔方程。这想法很正确,经过一番努力,他成功地构思出薛定谔方程。检试方程成败的最简单问题应该是氢原子,必须能得出玻尔模型的理论结果。他写下相对论波动方程,但不成功,然而很快在1925年圣诞节前后发现,非相对论的方程给出正确的巴尔末光谱系。1926年,他正式发表了非相对论性波动方程与氢原子光谱分析结果。这篇论文迅速在量子学术界引起震撼。普朗克表示他“已阅读完毕整篇论文,就像被一个谜语困惑多年渴慕知道答案的孩童,现在终于听到了解答”。爱因斯坦称赞薛定谔作出决定性的贡献,称其著作的灵感如同泉水般源自一位真正的天才。
关于薛定谔,戴森评论道[4],大自然开的最大玩笑是-1的平方根。薛定谔1926年发明波动力学时将之加在他的波动方程中。薛定谔从统一力学和光学的想法出发。先此百年,哈密顿用同样的数学描述光线和经典粒子轨道,统一了经典力学和射线光学。薛定谔的想法是将之推广到波动光学与波动力学的统一。波动光学已经有了,但波动力学还没有。薛定谔必须发明波动力学以完成统一。以波动光学为模型出发,他写下力学粒子的微分方程,但方程没有意义。这个方程看起来像连续介质热传导方程。热传导与粒子力学没有明显联系。薛定谔的想法似乎山穷水尽。然而,意外发生了。薛定谔将-1的平方根加在方程中,方程一下子就有意义了。它一下子变成波动方程而不是热传导方程。并且,薛定谔高兴地看到方程有对应于玻尔原子模型的量子化轨道的解。薛定谔方程原来可以正确描述我们所知道的原子所有行为!它是所有化学和大部分物理的基础。-1的平方根意味着自然界依复数而非依实数运行。这个发现让薛定谔也让所有人大吃一惊。在整个19世纪,数学家们大大发展了复变函数论,但只认为复数不过是作为实际生活中来的一种有用且精致的抽象而被人类发明的作品。他们没有料到自然界早已走在前头。
黄克孙2000年的《杨振宁访谈录》[5]中关于薛定谔有一段生动的描述:薛定谔不喜欢i。经典图像里,波就是波,与i不搭界。用i只是数学花招。薛定谔写了

没有i。他把手稿寄给洛伦兹,洛伦兹回信说,文章很有意思,但我有几个问题,他列了15个。其中一个说,你的公式不该用E。你有E没有t,但应该像经典力学一样有t无E,由t得出E。薛定谔想了想,当然最后E变成了iℏ(∂/∂t) 。但是,他并不喜欢,因为他不喜欢i。那么,他做了什么呢?他折腾了几周,一天兴高采烈:做了两次,行了!从iℏ(∂ψ/∂t)出发,再次取iℏ(∂/∂t),于是,-ℏ2(∂2ψ/∂t2) = H2ψ,不再有i了。他十分高兴。怎么知道他高兴?因为他写信告诉一个朋友说“我如释重负”。然而,一周之后他写信说,还是不管用,因为如果H显含时间,你再次微分时还会有附加项。直到这时候他才写下i。接受i并不容易,只是慢慢接受了。
谢惠民指出:与i的不期而遇,是从三次方程的根式求解意外引发出的一个重要事件[6]。也许会使人奇怪的是,在历史上复数的出现并不是和 x2+1=0 这类二次方程求解相联系的。因为在遇到有一对共轭复根的二次方程时,当时数学家的一般做法是不予理睬,认为该方程没有解,或者说它根本没有意义便了事。但这种弃之不论的做法在三次方程的求解中却遇到了麻烦。例如,求解 x3-63x-162=0 。这个方程不难因式分解求解,但如果用卡尔丹公式,则
。不承认虚数
有意义,做不了上述运算。
所有物理测量的结果是实的,量子力学之前的物理理论本质上是实的。但是,量子力学必须是复的,首先波函数必须在复空间定义。薛定谔波动力学 只含时间的一阶导数且带因子 i=-1,此因子i导致波函数必须是复的。通常的波动方程 ∂2ϕ/∂x2 - u-2∂2ϕ/∂t2 = 0 只含时间的二阶导数,通解 f(x±ut) 为实的,显著不同。量子力学将实时间指数衰减替换为虚时间的相位。通过对复的波函数取模数,化为玻恩解释的实概率,既自然又看似简单,但相位的角色实在不那么简单。要理解量子力学,实在必须理解这个i!
设未微扰哈密顿算符
有一以算符完全集J标记的本征矢Φ,而Ψ是有可能与Φ建立一一对应的微扰哈密顿算符
的本征矢,设Φ和Ψ二者均已归一。此可能性存在的条件为

如果给定的Φ和Ψ满足(7),则一一对应已建立,因为
,不存在第二个Ψ也满足(7)。如果对于任何特定的Φ,不存在一个Ψ满足(7),此时仍可能存在
的两个本征矢,它们有相近的Φ分量。条件(7)提供了度量未微扰本征矢和微扰本征矢间接近程度的定量标准,确定何时微扰变换存在,进而可将未微扰本征矢的指标或量子数赋予微扰本征矢。
引入投影算符
,则薛定谔方程
分解为

从第二式得形式解
,将之代入第一式,得

它形式上如同定义在
或
空间上的哈密顿算符为
的薛定谔方程。类似地,由
可得:

方程(8)左乘以
,可证

微扰本征值Ep是方程(10)的自洽解,原则上可直接求解方程(10)得到Ep。通常的微扰展开可看作迭代,

迭代方程以Ep为不动点。微扰本征矢也可由同时迭代方程(9)得到。因而,迭代收敛的条件是在不动点处,

由(9)及相应的左矢方程,可得

因为
,最终证实收敛条件(7)。收敛意味着重叠积分足够高,很自然。借助适当构造的投影算符,可以简洁地讨论微扰理论,但已超出本文的范围。
前面提到,量子力学有薛定谔方程的微分表述和海森堡的矩阵代数表述。量子力学还有第三种等价表述:费曼的路径积分表述。微分方程时常被用来表述物理定律。哈密顿原理用积分方程来表述物理系统的运动。量子力学的路径积分表述,是从经典力学的作用原理延伸而来对量子物理的一种概括和公式化,提供经典力学到量子力学的最直接过渡。路径积分方法通过传播子用积分变换给出波函数经有限时间后的变化。状态
和初态
之间通过演化算符U(t,t0)联系:

演化算符的坐标表象表示是传播子:

表明传播子的意义是:t0时刻在q0处的粒子被发现t时刻在q处的几率幅。演化算符满足合成规则:U(t1, t0) = U(t1, t)U(t, t0)。相应地,传播子有合成规则:

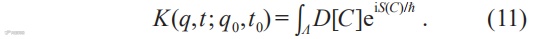
体现波函数在位形空间中传播的惠更斯原理,也是其可表成路径积分的原因。传播子的路径积分表示的推导有点繁,细节可参阅顾雁的小册《量子混沌》[8]。类比于布朗运动图像,传播子最终可表作

此处Λ记从(q0,t0)到(q,t)的所有路径的全体,表明任何满足起、终点的路径均有贡献,而S(C)恰好为路径C的哈密顿主函数。从传播子的路径积分表示(11)式可知,路径C的贡献依赖于eiS(C)/ℏ :经典的哈密顿主函数表现为量子的虚相位。小量ℏ增强了S(C)的相位干涉相消效应,使得主要贡献来自满足 δS(C)=0 的经典轨道C及其近邻。量子力学的路径积分表示直接给出了经典力学的哈密顿原理。
量子力学出现以后,相位才成为基本概念。杨振宁曾向黄克孙指出,相位未成为哥本哈根的讨论中心,是“因为还没有费曼”,百年之后即使人们忘记费曼图,也还会记住费曼路径积分[5]。
自己在量子力学方面发表的第一篇工作,是薛定谔方程的双阱势准确解模型,至今将近40年了。离开非线性动力学的最后一篇物理工作也在量子力学方面,是关于魏耳态密度展开长度项的半经典理论,也已20多年[9]。中间有些小工作,包括准晶能谱和微波场中的氢原子问题。但是,真正坐下来思考量子力学基础,还是在4年前接受中国科学院大学邀请讲授量子力学之后。为撰写教案所逼,不得不读许多东西,翻看不太好找到的经典论文。本文的第一稿,就写在那个时候,中间不知改写多少次,但今年是量子力学120年,这个时间点不容错过。本文的主要内容,不少抽取自本人去年底由中国科学院大学支持在科学出版社出版的《量子力学基础》[10]。(校对不慎,连最后的常用公式也出错,非常遗憾)。选题未免杂乱,只是想激发读者的思考。“关于热辐射”一节,未写在我的书中,希望以最小的篇幅比较系统完整地复述多篇重要经典原始文献的内容,再现不易找到的一些重要细节。本文内容上至少缺了“量子力学的群论表述”或者“量子力学与对称原理”,希望有更合适的作者撰写。
最后想强调,薛定谔的波函数,区别于科学发现,是一种科学发明,是属于精神创造的产物,如同吉布斯的平衡态系综,如同爱因斯坦的时间与空间统一的思想再到时空与物质统一的思想。另外,科学的深入发展,使得原来被分隔研究的分支统一起来。量子力学出现之后,物理和化学在微观层次上的本质差别消失。(物理和化学在宏观层次上的统一,体现在统计力学。液体物理和聚合物物理,在美国多划入化学系,但在欧洲却多划在物理系,未知深层的原因)。
延伸阅读

本书介绍了量子力学的基础知识。第1章波动力学,在简单介绍历史背景后着重讲解量子力学的基本原理。在这一章作为狄拉克记号的用例,讲述不确定性关系和概率流。学生必须通过典型例子或问题,理解量子力学基本原理。以此为目的,第2章讲定态问题。在这一章,尝试不用张量分析给出球坐标中拉氏算子表示的推导,并在最后简要讨论了薛定谔方程的普遍性质及本征解零点数定理。第3章矩阵力学,介绍量子力学的海森伯表述。本章的重点还在于讨论各种幺正变换,包括不同的绘景和表象,介绍量子力学的数学表述。第4章集中讲述各种近似方法。第5章选择几个深入问题,从应用的层面入手,加深对量子力学的理解。第6章简要介绍量子路径积分。
想了解更多精彩内容?

长按二维码,即刻购书
。

一起阅读科学!
科学出版社│微信ID:sciencepress-cspm
专业品质 学术价值
原创好读 科学品味
传播科学,欢迎您点亮★星标,点赞、在看▼

