这是一本数论书, 是一本有关整数(有时也涉及有理数)的书, 相信每一位受过中等或高等教育的人都能看懂或部分看懂. 数论的迷人和神秘之处、疑惑和难点在于, 整数的基本单位素数(质数)的分布是不规则的. 许多伟大的数学猜想,都与素数密切相关,比如哥德巴赫猜想、孪生素数猜想、费尔马大定理、黎曼猜想. 然而, 2013年初春的一个早上, 我在准备上 “数论导引” 课时却发现, 我们的手掌和身体里包含着三个最小的素数. 事实上, 每个人的大拇指有2个关节, 其余手指各有 3个关节, 而每只手通常有 5个手指. 这个发现让我兴奋.

整数或自然数是人类最古老的发明. 在农业社会以前, 人们尚且穴居在山洞里, 他们仅有的财产是家畜, 每天放牧出去的牛羊必须如数归来. 因此,计数可谓人类生存的需要, 它首先是一种谋生的工具. 后来, 随着经济社会的发展, 才渐渐地上升为一门学科或一门艺术——数论. 本书保留了基础数论的基本内容, 这既可以让我们窥见其成长过程, 方便初学者和爱好者入门,又有助于容纳一些新内容、新思想;与此同时,我们不断提炼、揭示出自然数的新的奥秘.

耶鲁大学藏泥板书7289号(约公元前18世纪—前16世纪).巴比伦人用60进制有理数表示根号2 ,精确到小数点后5位
将近一个世纪以前, 在美国出生的英国数学家莫德尔在一篇随笔中写道,“数论是无与伦比的, 因为整数和各式各样的结论, 因为美丽和论证的丰富性. 高等算术(数论)看起来包含了数学的大部分罗曼史. 如同(数学王子)高斯给索菲·热尔曼(一位热爱素数的法国商人之妻)的信中所写的, ‘这类纯粹的研究只对那些有勇气探究她的人才会展现最魅人的魔力’. ”或许有一天, 全世界的黄金和钻石会被挖掘殆尽, 可是数论, 却是用之不竭的珍宝.
从某种意义上讲, 数论是年轻人的事业. 1801年, 24岁的德国青年高斯出版了处女作《算术研究》, 从而开创了数论研究的新纪元. 据说这部伟大的著作曾投寄到法国科学院而被忽视, 但高斯在友人的资助下将它自费出版了. 在那个世纪的末端, 数学史家莫里茨 . 康托尔这样评价: “《算术研究》是数论的宪章. 高斯的出版物就是法典, 比人类其他法典更高明, 因为无论何时何地从未发觉出其中有任何一处错误. ”高斯自己更是赞叹, “数学是科学的皇后, 数论是数学的皇后. ”
在这部少作的开篇, 高斯即定义了同余, 它是那样浅显易懂, 与我们的日常生活休戚相关: 任意两个整数a 和b 被认为是模n 同余的,假如它们的差a -b 被n 整除. 高斯首次引进了同余记号, 他用符号
表示同余.于是, 上述定义可表示为

有了这一方便的同余记号以后, 数论的教科书便显得简洁美观. 今天,基础数论教程的开篇大多介绍整除或可除性. 实际上,整除或带余数除法(由此衍生出来的欧几里得算法在中国、印度、希腊等不同的文明中有着各自的渊源故事和名称) 也是一种同余式.

当公元前3世纪的欧几里得算法应用于20世纪末的扭结理论
接下来, 线性丢番图方程, 指数、原根或指标, 均与同余有关, 更不用说一次、二次和 n次剩余了.初等数论中最著名的问题, 如欧拉-费尔马定理、威尔逊-高斯定理、拉格朗日定理、荷斯泰荷姆定理、卢卡斯定理、库默尔定理、冯 ·斯陶特-克劳森定理和中国剩余定理, 均与同余有关. 后者的名字值得商榷,本书采用了“秦九韶定理”的称谓, 这既还原事实真相, 也符合学术界的惯例. 我们同时指出, 密码学中的RSA公钥体制除了依赖欧拉定理之外, 还与秦九韶的大衍求一术密切相关.
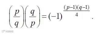
随后, 我们讲述了高斯最得意的、花费许多心血反复论证的二次互反律, 高斯称其为“算术中的宝石”. 设 p 和 q 是不同的奇素数, 则

这里

为勒让德符号. 这个结果是完美无缺的, 我们分别给出了几何和代数方法的证明. 我们引入一个新发现的同余式, 她有着同样美丽的对称性. 设 p, q 为不同的奇素数,则

此外, 我们也给出了不少素幂模甚或整数幂模同余的新结果, 包括拉赫曼同余式、莫利定理和雅可布斯坦定理的推广,以及三类完全椭圆积分的傅里叶级数展开式的系数部分和. 其中,拉赫曼同余式在怀尔斯之前一直是研究费尔马大定理的重要而有效的工具. 诚如加拿大和爱尔兰的两位同行所指出的, 这一推广(指从素幂模同余到整数幂模同余)是 1906年以来的第一次.
二次型是高斯著作的重头戏,尤其是整数表示问题。1770年,法国数学家拉格朗日证明了,每一个自然数均可表为4个整数的平方和。同年,英国数学家华林将此问题推广为任意次幂之和表整数,此乃著名的华林问题,至今仍悬而未决,这方面本书也有独到的描述和发现。设k 和s 是正整数,考虑丢番图方程

其中

这是古老的华林问题的一个变种. 对给定的正整数k ,我们猜测相应的 s 值为

特别地,除了2, 5和11,每个素数均可表成3个正整数之和,它们的乘积为立方数. 这些结果和猜想比起老华林问题来更简洁、更美丽,难度却是同样的.
之所以能提出此类问题,是因为我们把整数的加法和乘法结合起来考虑,这一点受到了abc 猜想的形式启发,后者可以轻松导出费尔马大定理等一系列著名猜想和定理,其在数论领域的影响力迅速替代了已被证明的费尔马大定理. 事实上,毕达哥拉斯的完美数和友好数问题也是这两种基本运算的结合,它们具有恒久的魅力。正是从这里开始,我们的想象力获得提升.
除了华林问题,我们也把赫赫有名的费尔马大定理做了相应的推广. 2018年秋天以来,普林斯顿高等研究院的一位成员确信,可以用怀尔斯等人证明费尔马大定理的那套方法来研究这个问题,但却无法完全解决. 经过一番探究之后,我们得到了一些结果,同时也提出了一类新问题. 它是费尔马大定理的完全推广,且无法由abc 猜想导出. 此外,我们还利用椭圆曲线理论,研究了新费尔马方程在二次域中的可解性. 这项工作被英文维基百科的“费马大定理”条目收作参考文献,是这一引人瞩目的数学条目参考文献中仅有的一篇由中国作者撰写的论文.

法国邮票上的费尔马大定理
如同高斯指出的,“数只是我们心灵的产物”,我们也赋予了自然数新的概念. 例如,我们定义了形素数

其中 p 是素数,i 和 j 是非负整数. 这是一类特殊的二项式系数,兼具素数和形数的特性,包含了所有素数,但其个数与素数个数在无穷意义上是等阶的. 经过一番探究,我们猜测(已验证至千万):
每个大于1的整数均可表示成2个形素数之和.
这一猜想的提出无疑受到哥德巴赫猜想的启发,后者说的是,每个大于等于9(6)的奇数(偶数)均可表示成3(2)个奇素数之和. 我们认为,这一点不够一致,且素数本身是构成整数乘法意义的基本单位,用在加法问题上并非其所长。同时,随着数的增大,表法数也越来越大,趋于无穷,颇有些浪费了. 进一步,如果定义非素数的形素数为真形素数,则我们有下列更强的猜测:
任意大于5的整数均可表示成一个素数和一个真形素数之和.
与此同时,我们也有了下列更强更精细的孪生形素数猜想:
存在无穷多对相邻的形素数.
可是,我们却无法证明下列最基本的判断(猜想):
除去平凡的情形,形素数是不同的.
借此机会,我们回味一下希尔伯特第8问题尾末的一段话. 他说,“对黎曼猜想进行彻底讨论之后,我们或许就能够严格地解决哥德巴赫问题,即是否每个偶数都能表为两个素数之和,并且能够进一步着手解决是否存在无穷多对差为 2的素数问题,甚至能够解决更一般的问题,即线性丢番图方程 ax + by + c = 0, (a, b) = 1 是否总有素数解x 和y .” 在引入形素数概念以后,我们试图让希尔伯特牵挂的上述线性丢番图方程有意义,提出全新的猜想,并把哥德巴赫猜想和孪生素数猜想等包含其中.
本书是《数之书》(高等教育出版社,2014;英文版,The Book of Numbers, WorldScientific, 2016)的修订版(共有100多处修改和补充),是过去20多年我在浙大数论教学和研究的心得. 前5章受费马注释丢番图《算术》的激励,几乎每一节都有新的发现. 它们构成基础数论的主要内容,第6章把若干最深刻的同余式从素数模推广到整数模,而第7章焕然一新,堪称全新的创造. 本书的另一特色是前6章各小节后面的补充读物,希望借此拓广读者的知识面和想象力,递增他们对数论的兴趣和热爱. 这是一种新的尝试,补充读物至少有两种功能:
其一,介绍了其他数论问题的初步知识和研究,例如欧拉数和欧拉素数,阿达马矩阵和埃及分数,佩尔方程和丢番图数组,阿廷猜想和特殊指数和,椭圆曲线和同余数问题,哥德巴赫猜想和孪生素数问题,abc 猜想和BSD猜想,自守形式和模形式,等等. 其中,椭圆曲线理论是我们的重要工具. 其二,介绍了与初等数论相关的新问题和新猜想,除前面提到的以外,还有格雷厄姆猜想,3x+1问题,广义欧拉函数,覆盖同余系,素数链和合数链,卡塔兰猜想,多项式系数非幂,等等.
本书也研究了最古老的数学问题——完美数问题,这是由古希腊的毕达哥拉斯学派开创的. 经过2000多年的努力,18世纪的欧拉终于得到了偶完美数的充要条件,它与17世纪的梅森素数一一对应. 至于k 阶完美数等推广,人们只得到零星的结果. 我们率先考虑了平方完美数的情形,得到了它的充要条件,它与13世纪的斐波那契素数一一对应.
本书第7章无疑是最现代、最富创新性的,我们把经典数论中的6大问题(除了完美数,还有华林问题、费尔马大定理、欧拉猜想、埃及分数和同余数问题)做了另类观察和拓广,得到了许多新结果,同时也提出和留下了更多有趣的问题和猜想. 以往我们总是追随外国同行的足迹或命题,希望本书的出版有助于改变这一状况. 可是,也正因为问题和猜想比较多(有时较为大胆),容纳了个人的研究经验,尤其是近年来的思考(有的尚未发表),谬误之处在所难免,期望读者予以发现和纠正.
最后,在全书末节,我们提出了纯粹原创的问题——abcd 方程. 设n 为任意正整数,考虑方程

其中

此处a,b,c,d为正有理数。对哪些n, 上述方程有解?在有解时是否有无穷多个解?这是一类既奇妙又复杂的问题,堪比同余数. 我们找到了无穷多个n使方程有解,同时也排除了更多的n 的可解性. 这个问题的研究既包含了初等数论的许多技巧,又与椭圆曲线理论和BSD猜想等有着密切的联系. 目前,在1000以下的正整数中,尚有7个数未能确定其可解性.
本书的写作得到了十多位研究生、本科生和合作者的协助,他们参与研究的某些工作和国内外一些同行的相关成果在书中有所展示. 遗憾的是,由于我们的视野所限,加上知识结构的单薄,虽曾虚心讨教,仍错失了许多同行发现的稀世珍宝. 值得一提的是,我们不少工作的进展和预测得到了计算机的帮助,这是我们比古代同行优越的地方. 就重要性来说我们认为,计算机之于数论学家,犹如望远镜之于天文学家.
坦率地承认,本书书名《经典数论的现代导引》(A Modern Introduction to Classical Number Theory)的灵感来自于斯普林格出版社的英文数论名著 A Classical Introduction to Modern Number Theory(GTM 84,1982),作者是加拿大新不伦瑞克大学的Kenneth Ireland 和美国布朗大学的Michael Rosen. 记得那是2019年初春的一天,我和责编胡海霞老师在交谈时获得灵感. 而真正的缘由,则在于本书的最后一章内容以及前面各章的诸多备注和补充读物.
值此本书出版之际,我要特别感谢已故英国数学家、剑桥大学教授、菲尔兹奖得主阿兰·贝克和卡塔兰猜想的证明者、哥廷根大学教授普莱达·米哈伊内斯库的褒奖,前者称赞新华林问题是对此问题“真正原创性的贡献”,后者勉励作者“在当今繁杂的数学世界找到了一片属于自己的领地”,并对加法和乘法数论相结合的思想表示肯定,他认为这是一类崭新的丢番图方程,“像艺术家一样有着自己独特的品味”. 普莱达曾三次来杭州,在一篇有关abc 猜想的综述文章中(Around ABC,载《欧洲数学会通讯》,2014),他以丢番图方程的变种(Diophantine Variations)为名专节谈论了作者提出的加乘方程,并称之为“阴阳方程”(yin-yang equations).
数论是幸运的, 她吸引了历史上许多伟大的数学家, 毕达哥拉斯、欧几里得、秦九韶、斐波那契、笛卡儿、费尔马、莱布尼茨、欧拉、拉格朗日、高斯、雅可比、狄利克雷、黎曼、希尔伯特, 其中三位还是隐士, 他们把自己精妙的发现悄悄记录在笔记本上; 还有一些孜孜不倦探索自然数奥秘的人: 丢番图、勒让德、华林、库默尔、卢卡斯、哈代、莫德尔、拉马努金、爱多士、怀尔斯; 更有一些业余爱好者: 梅森、哥德巴赫、索菲 · 热尔曼、威尔逊、帕格尼尼、波洛克、德波利尼亚克, 有几位只是蜻蜓点水, 便在数学史上留芳.
综观本书提出的一些问题, 尤其是第 7章, 仍有许多引人入胜的工作要做.这应是本书最有价值的部分, 我们期待它们能开出艳丽的花朵, 结出丰硕的果实. 自从费尔马大定理被攻克以来, 数论领域捷报频传, 先是卡塔兰猜想(2002) 获得证明, 然后是abc 猜想(2012) 和奇数哥德巴赫问题(2013) 被宣布解决(前者尚未获得公认), 孪生素数猜想(2013) 也取得了重大突破. 另一方面, 这也是一把双刃剑,给数论界敲响了警钟:会下金蛋的鸡越来越少了. 但愿, 本书的出版会是一缕清醒的空气、一股新鲜的血液,能够催生出一两只雏鸡.
最后,我想引用高斯的一段话作为结束语,“数论提供给我们一座用之不竭的宝库,储满了有趣的真理,这些真理不是孤立的,而是最紧密地相互联系着.伴随着这门科学的每一次成功发展,我们不断发现全新的,有时是完全意想不到的起点。算术理论的特殊魅力大多来源于我们由归纳法轻易获得的重要命题,这些命题拥有简洁的表达式,其证明却深埋于斯,在无数徒劳的努力之后才得以发掘;即便通过冗长的、人为的手段取得成功以后,更为清新自然的证明依然藏而不露.”
注:本文摘编自蔡天新教授所著新书《经典数论的现代导引》之序,内容有删减,题目为编者所加.关于本书,详见下面介绍:
作者简介

蔡天新,浙江台州人,山东大学理学博士,浙江大学数学学院教授、博士生导师、求是特聘学者,专攻数论.他提出了形素数和加乘方程的概念,后者被德国数学家普莱达·米哈伊列斯库赞为“阴阳方程”,而有关华林问题的研究被英国数学家、菲尔兹奖得主阿兰·贝克赞为“真正原创性的贡献”.
读研期间,缪斯的偶然光顾催发了他的诗情,至今已出版文学、科普和学术著作30多部,作品被译成20多种语言,并已出版外文专著20多种. 其中《数学传奇——那些难以企及的人物》获国家科学技术进步奖,《数学简史》获吴大猷原创科普著作佳作奖,“科学与人类文明”课程获国家教学成果奖.
内容简介
经典数论的主要内容既包括整数理论、同余理论、一次到n次剩余方程、丢番图方程、佩尔方程、连分数、原根与指数,也包括费尔马-欧拉定理、威尔逊-高斯定理、孙子-秦九韶定理、勒让德符号与二次互反律、表整数为平方和、荷斯泰荷姆定理。此外,它还伴随着遐迩闻名的完美数问题、同余数问题、费尔马大定理、哥德巴赫猜想、孪生素数猜想、黎曼猜想、欧拉猜想、卡塔兰猜想、华林问题、3x+1问题、BSD猜想、abc猜想,等等. 本书以一种特殊的方式(每节配以引人入胜的补充读物)把这些素材串联起来,再通过引入加乘方程、形素数、平方完美数、默比乌斯函数指数、椭圆曲线等新概念,拓广了包括希尔伯特第8问题在内的经典数论问题和猜想. 与此同时,几乎每个章节都提出或留有深浅不一的新问题和新猜想. 且在第1-5章每章习题后以二维码形式链接了该章习题参考解答,供读者查阅.
本书既适合用作高等院校本科生、研究生的基础数论课程教材或参考书,也适合专业的数论工作者和业余的数学爱好者阅读.
本书特色
带你了解数论的前沿:
主要内容虽说是基础的,但几乎每小节都穿插前沿的问题
延展你对数论的理解:
前五章内容虽属于经典,但多处已用现代的目光将其拓展
丰富你的数论知识:
注意历史的痕迹,留心概念、定理和命题的出处,随处都有相关知识的延伸阅读
购买链接:




