点击蓝字 关注我们
1
2
微分方程建模就是根据实验定律或实践经验, 运用微分方程的思想、方法, 在解决现实世界的问题中导出微分方程的过程.
在很多实际问题中, 可以将研究对象随时间的变化用常微分方程或方程组来表示.
而在科学技术日新月异的发展过程中, 还有许多问题不仅和时间有关系, 而且和空间坐标也有联系, 还可能依赖于若干个其他因素, 这就要用一个或多个变量的函数来表示.
于是就产生了研究某些现象的、理想化的偏微分方程.
从历史上看, 微分方程的重要源泉是物理学与几何学.
20 世纪末以来, 微分方程又在备受关注的生物数学、金融数学、图像处理等领域大量出现.
本文对物理学中著名的弦振动问题进行理论推导, 建立相应的偏微分方程模型.
弦振动问题
弦是指一段又细又柔软的弹性长线, 比如二胡 (图 1)、吉他等乐器上所用的弦. 再如大跨度的桥梁 (图 2) 等, 在一定程度上也是一根“弦”.

张紧的弦相邻小段之间有拉力, 这种拉力称为弦中的张力, 张力方向沿弦的切线方向.
用薄片拨动或者用琴弓在张紧的弦上拨动, 一个小段的振动必带动它的邻段, 邻段又带动它的邻段, 这样一个小段的振动必然传播到整个弦, 这种振动的传播现象叫做波.
对于弦振动的研究, 有助于我们理解这些特殊“弦”的振动特点、机制, 从而对其加以控制.
同时, 弦的振动也提供了一个直观的振动与波的模型, 对它的分析和研究是处理声与振动问题的基础. L. Euler (1707—1783, 瑞士) 最早提出了弦振动的二阶方程, 而后 J. d’Alembert (1717—1783, 法国) 等通过对弦振动

考虑均匀柔软的轻弦在平衡位置附近在垂直平衡位置的外力作用下作微小横振动时位移函数满足的规律.
对于上面有关弦和振动的假设有如下解释:(1) 均匀——弦的线密度 ρ 是常数;
(2) 柔软——弦上各点的张力沿弦的切线方向;
(3) 轻——弦所受的重力与张力相比可忽略不计;
(4) 微小——在振动过程中任一弦段的长度是“不变”的 (因此由 Hooke 定律, 弦上各点的张力是“常数”T);
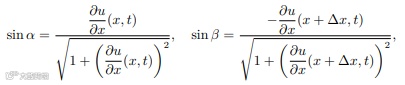
(5) 横振动——弦的振动发生在一个平面内, 且弦上各点的位移与平衡位置垂直.设弦的振动发生在 (x, u) 平面内. 其平衡位置在 x 轴上, 在 x 点 t 时刻所受的外力密度是 F(x, t).
下面在连续介质的假设下利用“微元法”导出位移函数 u(x, t) 满足的方程, 弦上张力示意图如图 3 所示.

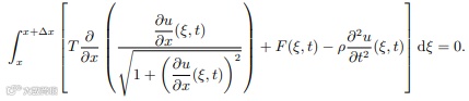
任取一小区间 [x, x + ∆x], 作受力分析. 在垂直方向上应用 Newton 第二定律, 有

由

可得

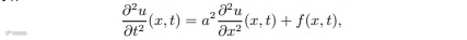
由假定, 弦只作微小振动, 其长度保持不变, 所以 ∂u/∂x 可忽略不计. 再由 x, ∆x 的任意性和被积函数的连续性, 得到

通常写作

其中 a^2 =T/ρ表示弦上单位质量所受的张力 (即振动的传播速度, 这意味着, 对乐器来讲, 弦绷得越紧, 波速越大;弦的质料越密, 波速越大) , f =F/ρ表示弦在x点 t 时刻单位质量所受的外力.
弹性杆的横振动方程 (一维)、薄膜的横振动方程 (二维) 也可以采用上述方式推导, 它们都称为波动方程.
波动方程是线性双曲型方程的典型代表.
好 书 推 荐
《微分方程的建模与计算》(保继光、李娅)

“微分方程的建模与计算”是理工类专业本科生或研究生的基础课, 也可以是非数学专业研究生的选修课, 一般安排在研究生 1 年级或本科生 3 年级开设.
《微分方程的建模与计算》精选了微分方程理论中有关建模与计算的最基本内容, 穿插 160 幅相关图片, 力求引人入胜, 避免了过分地强调“理论意义”使读者失去兴趣.
为了增加可读性, 作者对内容进行了趣味性话题的引入, 比如, 第 1 章不仅介绍微分方程的基本概念和记号, 也涉及金融数学、图像处理、网络搜索等读者感兴趣话题; 第 2 章专门建立微分方程的模型, 并介绍相关的历史.
为了降低初学者的学习难度, 本书给出了作业的完整答案和学习教材需要的 n 元微积分的知识, 并将作业答案放于章后的二维码中. 另一方面,“上不封顶”体现在各章的最后一节提供了拓展习题和课外阅读材料, 为学有余力的读者预留了进一步深入学习的空间.
目录如下:
本 书 特 点

购 买 链 接

欢迎关注
科学出版社数学教育






