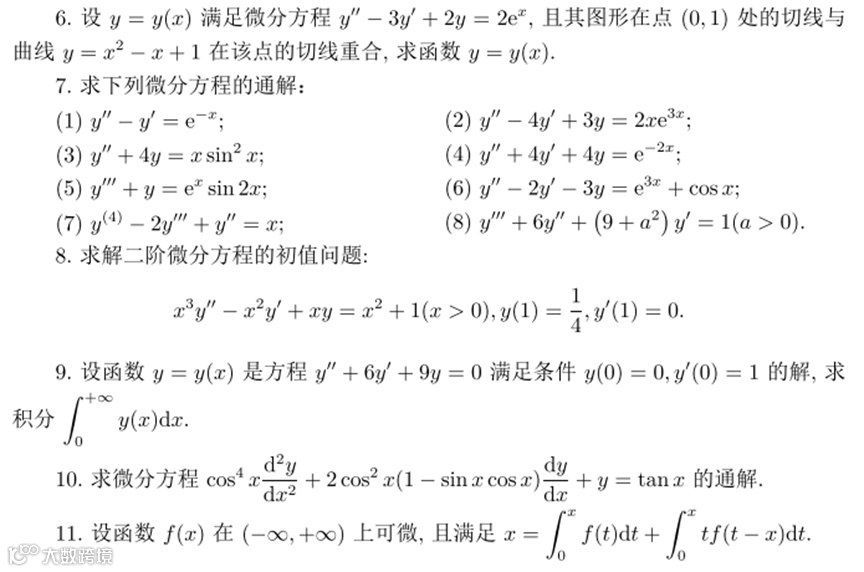
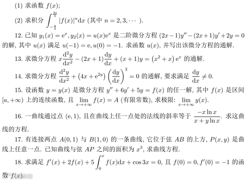
全国大学生数学竞赛考前模拟训练四(常微分方程)




注:以上题目摘选自佘志坤主编、全国大学生数学竞赛命题组编的《全国大学生数学竞赛解析教程(非数学专业类)(上下册)》,题目解答也参见该书。关于该书,介绍如下:
全国大学生数学竞赛丛书
命题组专家精心选材、全力打造
《全国大学生数学竞赛解析教程(非数学专业类)》(上下册)
佘志坤 主编
全国大学生数学竞赛命题组 编
书号:9787030754653
出版时间:2023年5月
定价:98元
读者对象
解析教程
专属优惠购书码
《全国大学生数学竞赛参赛指南》
佘志坤 主编
全国大学生数学竞赛命题组 编
书号:9787030714428
定价:59.80元
本书是中国数学会数学竞赛委员会全国大学生数学竞赛工作组推荐用书, 由全国大学生数学竞赛命题组编写, 旨在为参赛学生提供报名指导、竞赛方向和思维训练。内容包括全国大学生数学竞赛文件, 即章程、实施细则、考试内容, 历届全国大学生数学竞赛初赛、决赛试题及参考解答(含数学专业类与非数学专业类), 历届全国大学生数学竞赛参赛情况及决赛获奖名单。本书试题和参考解答, 经全国大学生数学竞赛命题组重新梳理修正, 题目准确, 解答详尽。
读者对象
参赛指南
专属优惠购书码
*
全国大学生数学竞赛获奖者参赛经验分享
1.天道酬勤 | 第二届全国大学生数学竞赛决赛一等奖获得者张翼
8.笃定初心,扬帆远航——第五届、第六届全国大学生数学竞赛全国决赛获奖者袁航
14.欣赏数学,感受数学之美——第十四届全国大学生数学竞赛决赛一等奖获得者马越
16.以赛促学,学以致用,学用相长——全国大学生数学竞赛决赛一等奖获得者蔡希晨
19.第十届全国大学生数学竞赛决赛非数学类一等奖获得者——冯昱
20.2023全国大学生数学竞赛夏令营分享—香港中文大学(深圳)杨曜宇
注:以上全国大学生数学竞赛获奖者参赛经验分享文章内容来源于全国大学生数学竞赛公众号。
科学出版社 视频号
硬核有料 视听科学
传播科学,欢迎您点亮★星标,点赞、在看▼


