大数跨境

山大附中2025-2026学年高一上学期期末数学试题及答案

山大附中2025-2026学年高一上学期期末数学试题及答案 三晋高中资讯
2026-02-13
27

山大附中2025-2026学年高一上学期期末数学试题及答案

【高一期末全科】太原25-26学年上学期期末试题答案已更新(含听力)
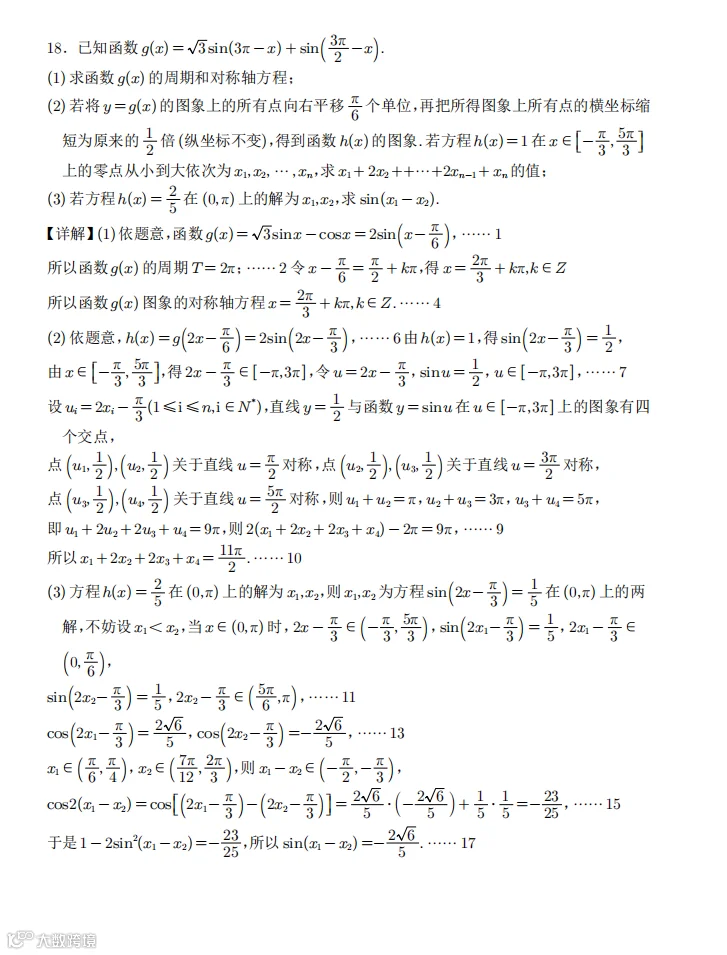
来源:网络整理 公益分享 侵权联系删除
2025-2026学年阳泉高一上学期期末全科试题及答案
2025年太原/晋城/晋中/吕梁/运城等地高一上学期期末试题及答案汇总
近五年山西各地高一年级上学期期末试题 答案汇总
 

如何获取打印版试卷+答案?

1、点击关注“三晋高中资讯”公众号

x2、发消息“高一期末”即可获取下载电子版


图片
图片

 

免费资料获取

公众号首页发消息 以下关键词免费领取对应资料:


图片

回复3500词高考英语新课标3500词汇表(含音标+释义)


回复高考真题,获取近十年各地高考真题汇总


回复高考一模、高考二模高考三模省适应考,获取对应试题资料 


回复高校名单,获取全国高等学校名单

回复会考,获取高中学业水平考各科试题及备考资料

 

【声明】内容源于网络
0
0
三晋高中资讯
服务山西各地高中各年级学生及家长,为考生及家长推送高中学习资料,高一分班考、高一二期中、期末及高二会考资料试题等,并分享山西各地高考报名、录取、填报志愿等等信息。
内容 3231
粉丝 0
三晋高中资讯 服务山西各地高中各年级学生及家长,为考生及家长推送高中学习资料,高一分班考、高一二期中、期末及高二会考资料试题等,并分享山西各地高考报名、录取、填报志愿等等信息。
总阅读9.3k
粉丝0
内容3.2k