潜在剖面分析是一种统计方法,用于识别潜在的群体或剖面,并划分个体。
潜在剖面分析(Latent Profile Analysis LPA)是一种基于概率模型的统计方法,旨在通过可观测的变量来揭示和识别数据中的潜在群体或剖面。这种方法通过探索外显变量之间的潜在关系,将个体划分为具有相似特征的组,从而帮助研究者理解数据背后的复杂结构。LPA在心理学、社会科学以及多个应用领域中具有广泛的应用,特别是在研究个体心理与行为差异方面发挥着重要作用。潜在剖面分析的研究背景
潜在剖面分析起源于潜变量建模理论,是在潜在类别分析(Latent Class Analysis, LCA)基础上的进一步拓展。LCA主要用于处理分类变量,而LPA则适用于分析连续变量。随着大数据时代的到来,研究者们越来越关注如何从海量数据中提取有价值的信息,理解不同个体或群体之间的差异。LPA作为一种有效的数据分析工具,为这一需求提供了解决方案。
潜在剖面分析的主要目的是在给定一组观察变量的情况下,发现隐藏的、具有相似特征的群体或剖面。通过揭示这些潜在群体的存在,研究者可以更深入地理解数据背后的复杂关系揭示不同群体之间的差异和共性。
LPA在多个领域中都有广泛的应用,包括但不限于:
心理学:研究个体心理特征、心理健康问题(如抑郁症、焦虑症)的分类与诊断,
社会学:分析社会群体的结构特征、消费行为模式等。
教育学:评估学生的学习表现、学习态度等,以识别不同能力水平的学生群体,
公共卫生:研究疾病分布、健康行为模式等,以制定有效的干预措施。
潜在剖面分析的研究方法通常包括以下几个步骤:
1.确定观察变量:选择用于分类的连续变量这些变量应能够反映研究对象的特征
2.建立模型:根据观察变量的数量,建立不同类别数目(k)的潜在剖面模型(LPM)
3.模型评估:使用拟合优度指标(如AIC.BIC、Entropy、LMR检验等)来比较不同类别数目模型的拟合效果,选择最优模型
4.类别解释:根据最优模型中的条件均值(即各变量在不同类别上的均值)来定义和解释每个类别的特征。
5.结果应用:将分类结果应用于后续研究或实践中,如探索不同类别之间的差异、制定针对性的干预措施等。
潜在剖面分析与其他相关分析方法的比较与潜在类别分析(LCA)的比较LPA与LCA的主要区别在于处理变量的类型不同。LCA适用于分类变量,而LPA则适用于连续变量。尽管两者在基本原理上有相似之处,但在具体应用上各有侧重。
潜在类别分析(Latent Class Analysis,LCA)是一种统计方法,用于探索存在统计学关联的分类外显变量背后的类别潜在变量。它是潜在变量模型的一种,主要应用于分类变量。
基本概念和原理
LCA的基本假设是,对于各个外显变量,其各种反应的概率分布可以由少数互斥的潜在类别变量来解释。每种类别对各外显变量的反应选择都有特定的倾向。LCA的目的在于利用最少的潜在类别数目解释外显分类变量之间的关联,并使各潜在类别内部的外显变量之间满足局部独立的要求。
应用场景和领域
LCA的应用范围非常广泛,包括市场研究、心理学、社会学、医学和生物统计学等多个领域。它可以用于探索性数据分析,如识别不同的群体或行为模式,或者用于验证性数据分析,如检验某种假设或模型的有效性。例如,在护理学研究中,LCA被用来分析冠状动脉旁路移植术(CABG)患者的运动恐惧现状及其影响因素,通过潜在类别分析来识别不同的恐惧模式,并为康复运动的干预提供参考。
潜变量增长模型(Latent Growth Model, LGM)是一种用于描述同一变量在不同时间点上测量数据的模型,主要用于分析该变量随时间的发展变化轨迹。潜变量增长模型通过对多次测量的数据进行建模,描述总体中该变量随时间的发展变化情况。
基本概念和原理
潜变量增长模型(LGM)对同一变量多次测量的数据进行建模,描述总体中该变量随时间的发展变化轨迹。模型中包含潜变量,这些潜变量并不是直接测量得到的,而是通过统计手段计算出来的。潜变量通常包括发展轨迹的截距和斜率。基本线性模型对应一次时间函数,表示变量随时间的变化情况,通常为直线形式;而非线性模型则对应二次时间函数,表示变量随时间的非线性变化,通常为抛物线形式。
应用场景和实际案例
潜变量增长模型广泛应用于各种领域,特别是在临床研究中,用于研究不同类型疾病的发病进展轨迹。例如,在幸福感的研究中,潜变量增长模型可以用来描述幸福感随时间的变化情况,通过拟合模型可以得到关于幸福感的起始水平和发展速度的参数估计,从而了解个体之间在起始水平和发展速度上的差异。
潜类别增长模型(Latent Class Growth Model, LCGM)
潜类别增长模型(LCGM)是另一种相关的模型,主要用于对具有异质性的总体进行纵向数据分析。LCGM假设群体内个体的发展轨迹存在差异,即有不同的截距和斜率。通过将具有相同或类似发展轨迹的个体归为一类,LCGM可以将群体分成若干个互斥的不可观测的亚群,并对每一个亚群的发展轨迹进行描述。LCGM具有处理非正态和含有缺失值数据的优点,能够反映群体随着时间变化呈现的不同轨迹。
R语言lcmm包主要用于进行潜在类别混合模型(Latent Class Mixed Models, LCMM)分析。潜在类别混合模型是一种用于处理具有潜在类别结构的数据分析方法,它可以帮助识别样本中的潜在异质性,为数据提供更深入的见解。
lcmm包的主要功能和应用场景
处理多种类型的数据:lcmm包支持处理纵向数据和交互作用效应,提供线性和非线性模型等多种模块,适用于复杂的数据分析需求。
模型选择和评估:lcmm包提供了丰富的函数和方法来帮助进行模型的选择和评估,例如使用BIC函数计算模型的贝叶斯信息准则(Bayesian Information Criterion, BIC)来选择最佳模型。
可视化结果:lcmm包还提供了绘图功能,例如绘制潜在类别关系图,帮助用户更好地理解数据中的潜在类别之间的关系。
今天我们以前期的重复测量方差分析数据为例,简单展示一下潜在类别分析的简单步骤。我们看到重复测量数据中有个案ID、以及四个时间点的值。
我们把横型数据转换为竖型数据(宽型转为长型),增加一个时间变量加以区分。
使用R语言读取数据
#潜在剖面数据准备
library(lcmm) #加载包
library(readxl)
data12 <- read_excel("C:/Users/L/Desktop/重复测量数据.xlsx")
#模型摘要输出4
summarytable(lcga1, lcga2, lcga3 ,lcga4)
#各模型摘要
summary(lcga1)
summary(lcga2)
summary(lcga3)
summary(lcga4)
summary(lcga5)

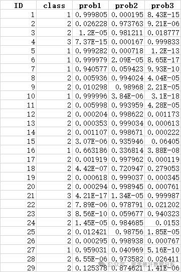
#导出预测概率至Excel表
lcga3$pprob
result12 <- lcga3$pprob
library(writexl) #加载包
write_xlsx(result12, "C:/Users/L/Desktop/分组输出.xlsx")
可以将模型拟合的类别结果及概率等,返回至原数据表格,进一步分层分析。

医学统计数据分析分享交流SPSS、R语言、Python、ArcGis、Geoda、GraphPad、数据分析图表制作等心得。承接数据分析,论文修回,医学统计,空间分析,问卷分析业务。若有投稿和数据分析代做需求,可以直接联系我,谢谢!

