你是否曾经在医学研究或数据分析中遇到过这样的问题:如何评估多个因素对某个结局的影响程度? 比如,想知道年龄、BMI、教育水平等因素如何影响某种疾病的发生风险。
今天,我们就来聊聊解决这类问题的两种强大方法:传统逻辑回归和贝叶斯回归,以及它们之间的比较。
一、什么是逻辑回归?
逻辑回归是医学研究和社会科学中最常用的统计方法之一。它可以帮助我们理解不同预测变量(如年龄、性别、生活习惯等)与二分类结局(如患病/未患病、生存/死亡)之间的关系。
传统逻辑回归给出的结果是比值比(OR),这个值可以告诉我们:某个因素增加一个单位,结局事件发生的概率会增加多少倍。
二、贝叶斯回归又是什么?
贝叶斯方法是一种更加"人性化"的统计方法。它允许我们将先验知识(以往的研究结果或专家经验)融入到分析中,从而得到更加符合实际情况的结果。
想象一下,你要预测明天的天气:
传统方法:只基于今天收集的数据
贝叶斯方法:既考虑今天的数据,也考虑季节、往年同期的天气等先验知识。
分析步骤
数据准备:清洗数据,处理分类变量
传统逻辑回归:得到OR值和置信区间
贝叶斯回归:获得考虑不确定性的后验分布
结果比较:可视化两种方法的结果
import os
import numpy as np
import pandas as pd
import matplotlib.pyplot as plt
import seaborn as sns
import statsmodels.api as sm
import statsmodels.formula.api as smf
from sklearn.linear_model import BayesianRidge
from sklearn.preprocessing import StandardScaler
from sklearn.metrics import log_loss
from scipy.stats import norm
from statsmodels.stats.contingency_tables import Table2x2
import warnings
warnings.filterwarnings('ignore')
# 设置桌面工作目录和创建结果文件夹
desktop_path = os.path.join(os.path.expanduser("~"), "Desktop")
results_dir = os.path.join(desktop_path, "Result-Bayes")
if not os.path.exists(results_dir):
os.makedirs(results_dir)
# 设置中文字体显示
plt.rcParams['font.sans-serif'] = ['SimHei'] # 显示中文标签
plt.rcParams['axes.unicode_minus'] = False # 显示负号
# 读取示例数据
print("正在读取数据...")
data = pd.read_excel(os.path.join(desktop_path, "示例数据.xlsx"), sheet_name="示例数据")
# 数据预处理
print("正在预处理数据...")
model_data = data.rename(columns={
'结局': 'outcome',
'指标1': 'indicator1',
'指标2': 'indicator2',
'指标3': 'indicator3',
'指标4': 'indicator4',
'指标5': 'indicator5',
'指标6': 'indicator6',
'指标7': 'indicator7',
'指标8': 'indicator8',
'时间': 'time',
'BMI': 'bmi',
'肥胖程度': 'obesity',
'教育水平': 'education',
'血型': 'blood_type'
}).copy()
# 转换分类变量
model_data['outcome'] = model_data['outcome'].astype('category')
model_data['indicator8'] = model_data['indicator8'].apply(lambda x: 'Yes'if x == '是'else'No').astype('category')
model_data['obesity'] = model_data['obesity'].astype('category')
model_data['education'] = model_data['education'].astype('category')
model_data['blood_type'] = model_data['blood_type'].astype('category')
# 0. 传统Logistic回归
print("正在进行传统Logistic回归...")
formula = 'outcome ~ indicator1 + indicator2 + indicator3 + indicator4 + indicator5 + indicator6 + indicator7 + indicator8 + time + bmi + obesity + education + blood_type'
logistic_model = smf.glm(formula=formula, data=model_data, family=sm.families.Binomial()).fit()
logistic_summary = logistic_model.summary()
# 提取OR和置信区间
logistic_or = np.exp(logistic_model.params)
logistic_ci = np.exp(logistic_model.conf_int())
logistic_ci.columns = ['Lower_CI', 'Upper_CI']
logistic_pvalues = logistic_model.pvalues
logistic_results = pd.DataFrame({
'Variable': logistic_model.params.index,
'OR': logistic_or,
'Lower_CI': logistic_ci['Lower_CI'],
'Upper_CI': logistic_ci['Upper_CI'],
'p_value': logistic_pvalues,
'Method': 'Traditional'
})
# 1. 使用Scikit-learn的贝叶斯岭回归
print("正在进行Scikit-learn贝叶斯岭回归...")
# 准备设计矩阵
X = pd.get_dummies(model_data.drop('outcome', axis=1), drop_first=True)
y = model_data['outcome'].cat.codes
# 标准化特征
scaler = StandardScaler()
X_scaled = scaler.fit_transform(X)
# 拟合贝叶斯岭回归模型 - 使用 max_iter 替代 n_iter
bayesian_ridge = BayesianRidge(max_iter=1000, tol=1e-3, compute_score=True, alpha_1=1e-6, alpha_2=1e-6,
lambda_1=1e-6, lambda_2=1e-6)
bayesian_ridge.fit(X_scaled, y)
# 获取系数和不确定性
coef = bayesian_ridge.coef_
intercept = bayesian_ridge.intercept_
# 模拟后验分布
n_samples = 1000
coef_samples = np.random.normal(
loc=coef,
scale=np.sqrt(np.diag(bayesian_ridge.sigma_)), # 修正:使用 np.diag 获取对角线元素
size=(n_samples, len(coef))
)
# 修正:使用更简单的方法计算截距的标准差
intercept_std = np.sqrt(1.0 / bayesian_ridge.alpha_)
intercept_samples = np.random.normal(
loc=intercept,
scale=intercept_std,
size=n_samples
)
# 计算OR和置信区间
or_samples = np.exp(np.column_stack([intercept_samples.reshape(-1, 1), coef_samples]))
or_mean = np.mean(or_samples, axis=0)
or_lower = np.percentile(or_samples, 2.5, axis=0)
or_upper = np.percentile(or_samples, 97.5, axis=0)
# 创建结果DataFrame
sklearn_results = pd.DataFrame({
'Variable': ['Intercept'] + list(X.columns),
'OR': or_mean,
'Lower_CI': or_lower,
'Upper_CI': or_upper,
'p_value': np.nan,
'Method': 'Sklearn_Bayesian'
})
# 合并结果
all_results = pd.concat([
logistic_results[logistic_results['Variable'] != 'Intercept'],
sklearn_results[sklearn_results['Variable'] != 'Intercept']
], ignore_index=True)
# 变量标签
variable_labels = {
"indicator1": "指标1",
"indicator2": "指标2",
"indicator3": "指标3",
"indicator4": "指标4",
"indicator5": "指标5",
"indicator6": "指标6",
"indicator7": "指标7",
"indicator8_Yes": "指标8 (是 vs 否)",
"time": "时间",
"bmi": "BMI",
"obesity_超重": "肥胖程度 (超重 vs 正常)",
"obesity_肥胖": "肥胖程度 (肥胖 vs 正常)",
"obesity_偏瘦": "肥胖程度 (偏瘦 vs 正常)",
"education_中学": "教育水平 (中学 vs 小学)",
"education_大学": "教育水平 (大学 vs 小学)",
"education_硕士及以上": "教育水平 (硕士及以上 vs 小学)",
"blood_type_A": "血型 (A vs O)",
"blood_type_AB": "血型 (AB vs O)",
"blood_type_B": "血型 (B vs O)"
}
all_results['Variable_Label'] = all_results['Variable'].map(variable_labels)
# 保存结果到Excel
with pd.ExcelWriter(os.path.join(results_dir, "Bayes_Logistic_Comparison_Results.xlsx")) as writer:
all_results.to_excel(writer, sheet_name="所有方法比较", index=False)
logistic_results[logistic_results['Variable'] != 'Intercept'].to_excel(
writer, sheet_name="传统Logistic", index=False)
sklearn_results[sklearn_results['Variable'] != 'Intercept'].to_excel(
writer, sheet_name="贝叶斯回归", index=False)
# 1. 两种方法比较图(对数尺度)
plt.figure(figsize=(14, 10))
colors = ['blue', 'red']
for i, method in enumerate(all_results['Method'].unique()):
method_data = all_results[all_results['Method'] == method]
plt.scatter(method_data['OR'], range(len(method_data)),
color=colors[i], label=method, s=50, alpha=0.7)
for j, row in method_data.iterrows():
plt.plot([row['Lower_CI'], row['Upper_CI']], [j, j],
color=colors[i], linewidth=1.5)
plt.axvline(x=1, linestyle='--', color='gray')
plt.xscale('log')
plt.yticks(range(len(all_results)), all_results['Variable_Label'])
plt.title('贝叶斯 vs Logistic回归OR值比较 (对数尺度)')
plt.xlabel('OR值 (对数尺度)')
plt.ylabel('变量')
plt.legend()
plt.tight_layout()
plt.savefig(os.path.join(results_dir, "两种方法比较图_对数尺度.jpg"), dpi=300)
plt.close()
# 2. 两种方法比较图(原始尺度)
plt.figure(figsize=(14, 10))
for i, method in enumerate(all_results['Method'].unique()):
method_data = all_results[all_results['Method'] == method]
plt.scatter(method_data['OR'], range(len(method_data)),
color=colors[i], label=method, s=50, alpha=0.7)
for j, row in method_data.iterrows():
plt.plot([row['Lower_CI'], row['Upper_CI']], [j, j],
color=colors[i], linewidth=1.5)
plt.axvline(x=1, linestyle='--', color='gray')
plt.yticks(range(len(all_results)), all_results['Variable_Label'])
plt.title('贝叶斯 vs Logistic回归OR值比较 (原始尺度)')
plt.xlabel('OR值')
plt.ylabel('变量')
plt.legend()
plt.tight_layout()
plt.savefig(os.path.join(results_dir, "两种方法比较图_原始尺度.jpg"), dpi=300)
plt.close()
# 3. 分别绘制两种方法的森林图(对数尺度)
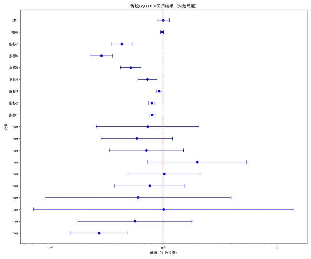
def create_forest_plot_log(data, title, color="steelblue"):
plt.figure(figsize=(12, 10))
y_pos = range(len(data))
plt.errorbar(data['OR'], y_pos,
xerr=[data['OR'] - data['Lower_CI'], data['Upper_CI'] - data['OR']],
fmt='o', color=color, ecolor=color, elinewidth=1, capsize=5)
plt.axvline(x=1, linestyle='--', color='red', linewidth=1)
plt.xscale('log')
plt.yticks(y_pos, data['Variable_Label'])
plt.title(f'{title} (对数尺度)')
plt.xlabel('OR值 (对数尺度)')
plt.ylabel('变量')
plt.tight_layout()
return plt
# 4. 分别绘制两种方法的森林图(原始尺度)
def create_forest_plot_original(data, title, color="steelblue"):
plt.figure(figsize=(12, 10))
y_pos = range(len(data))
plt.errorbar(data['OR'], y_pos,
xerr=[data['OR'] - data['Lower_CI'], data['Upper_CI'] - data['OR']],
fmt='o', color=color, ecolor=color, elinewidth=1, capsize=5)
plt.axvline(x=1, linestyle='--', color='red', linewidth=1)
plt.yticks(y_pos, data['Variable_Label'])
plt.title(f'{title} (原始尺度)')
plt.xlabel('OR值')
plt.ylabel('变量')
plt.tight_layout()
return plt
# 创建各个方法的森林图(对数尺度)
logistic_data = logistic_results[logistic_results['Variable'] != 'Intercept'].copy()
logistic_data['Variable_Label'] = logistic_data['Variable'].map(variable_labels)
logistic_plot_log = create_forest_plot_log(logistic_data, "传统Logistic回归结果", "blue")
logistic_plot_log.savefig(os.path.join(results_dir, "传统Logistic回归森林图_对数尺度.jpg"), dpi=300)
logistic_plot_log.close()
sklearn_data = sklearn_results[sklearn_results['Variable'] != 'Intercept'].copy()
sklearn_data['Variable_Label'] = sklearn_data['Variable'].map(variable_labels)
sklearn_plot_log = create_forest_plot_log(sklearn_data, "贝叶斯回归结果", "red")
sklearn_plot_log.savefig(os.path.join(results_dir, "贝叶斯回归森林图_对数尺度.jpg"), dpi=300)
sklearn_plot_log.close()
# 创建各个方法的森林图(原始尺度)
logistic_plot_original = create_forest_plot_original(logistic_data, "传统Logistic回归结果", "blue")
logistic_plot_original.savefig(os.path.join(results_dir, "传统Logistic回归森林图_原始尺度.jpg"), dpi=300)
logistic_plot_original.close()
sklearn_plot_original = create_forest_plot_original(sklearn_data, "贝叶斯回归结果", "red")
sklearn_plot_original.savefig(os.path.join(results_dir, "贝叶斯回归森林图_原始尺度.jpg"), dpi=300)
sklearn_plot_original.close()
# 5. 率比(Risk Ratio)计算函数
def calculate_rr(var_name, data):
# 连续变量不计算RR
continuous_vars = ["indicator1", "indicator2", "indicator3", "indicator4",
"indicator5", "indicator6", "indicator7", "time", "bmi"]
if var_name in continuous_vars:
return pd.DataFrame({'Variable': [var_name], 'RR': [np.nan],
'RR_Lower_CI': [np.nan], 'RR_Upper_CI': [np.nan]})
# 分类变量计算RR
if var_name == "indicator8_Yes":
data_temp = data.copy()
data_temp['temp_var'] = (data_temp['indicator8'] == 'Yes').astype(int)
tab = pd.crosstab(data_temp['temp_var'], data_temp['outcome'])
elif'obesity'in var_name:
level = var_name.split('_')[1]
data_temp = data.copy()
data_temp['temp_var'] = (data_temp['obesity'] == level).astype(int)
tab = pd.crosstab(data_temp['temp_var'], data_temp['outcome'])
elif'education'in var_name:
level = var_name.split('_')[1]
data_temp = data.copy()
data_temp['temp_var'] = (data_temp['education'] == level).astype(int)
tab = pd.crosstab(data_temp['temp_var'], data_temp['outcome'])
elif'blood_type'in var_name:
level = var_name.split('_')[1]
data_temp = data.copy()
data_temp['temp_var'] = (data_temp['blood_type'] == level).astype(int)
tab = pd.crosstab(data_temp['temp_var'], data_temp['outcome'])
else:
return pd.DataFrame({'Variable': [var_name], 'RR': [np.nan],
'RR_Lower_CI': [np.nan], 'RR_Upper_CI': [np.nan]})
if tab.shape == (2, 2) and tab.sum().sum() > 0:
try:
table = Table2x2(tab.values)
rr = table.riskratio
rr_ci = table.riskratio_confint()
return pd.DataFrame({'Variable': [var_name], 'RR': [rr],
'RR_Lower_CI': [rr_ci[0]], 'RR_Upper_CI': [rr_ci[1]]})
except:
return pd.DataFrame({'Variable': [var_name], 'RR': [np.nan],
'RR_Lower_CI': [np.nan], 'RR_Upper_CI': [np.nan]})
else:
return pd.DataFrame({'Variable': [var_name], 'RR': [np.nan],
'RR_Lower_CI': [np.nan], 'RR_Upper_CI': [np.nan]})
# 计算所有分类变量的RR
print("正在计算率比 (RR)...")
categorical_vars_for_rr = [
"indicator8_Yes", "obesity_超重", "obesity_肥胖", "obesity_偏瘦",
"education_中学", "education_大学", "education_硕士及以上",
"blood_type_A", "blood_type_AB", "blood_type_B"
]
rr_results = [calculate_rr(var, model_data) for var in categorical_vars_for_rr]
rr_results_df = pd.concat(rr_results, ignore_index=True)
# 保存RR结果
rr_results_df.to_csv(os.path.join(results_dir, "Rate_Ratios.csv"), index=False, encoding='utf-8-sig')
# 合并OR和RR结果
final_results = all_results.merge(rr_results_df, on='Variable', how='left')
# 保存最终结果
final_results.to_csv(os.path.join(results_dir, "Final_Results.csv"), index=False, encoding='utf-8-sig')
# 6. 率比(RR)森林图
print("正在生成率比森林图...")
rr_plot_data = rr_results_df.dropna().copy()
rr_plot_data['Variable_Label'] = rr_plot_data['Variable'].map(variable_labels)
if not rr_plot_data.empty:
plt.figure(figsize=(10, 8))
y_pos = range(len(rr_plot_data))
plt.errorbar(rr_plot_data['RR'], y_pos,
xerr=[rr_plot_data['RR'] - rr_plot_data['RR_Lower_CI'],
rr_plot_data['RR_Upper_CI'] - rr_plot_data['RR']],
fmt='o', color='steelblue', ecolor='steelblue', elinewidth=1, capsize=5)
plt.axvline(x=1, linestyle='--', color='red')
plt.yticks(y_pos, rr_plot_data['Variable_Label'])
plt.title('率比(Risk Ratio)森林图')
plt.xlabel('率比 (RR)')
plt.ylabel('变量')
plt.tight_layout()
plt.savefig(os.path.join(results_dir, "Rate_Ratio_ForestPlot.jpg"), dpi=300)
plt.close()
else:
print("没有可用的率比数据进行可视化")
# 7. 事件率分析图 - 按BMI分组
model_data['bmi_group'] = pd.qcut(model_data['bmi'], q=4, duplicates='drop')
event_rate_data = model_data.groupby('bmi_group')['outcome'].apply(
lambda x: (x.cat.codes == 1).mean() if x.cat.codes.nunique() > 1 else 0
).reset_index()
event_rate_data.columns = ['bmi_group', 'Event_Rate']
event_rate_data['n'] = model_data.groupby('bmi_group').size().values
plt.figure(figsize=(8, 6))
bars = plt.bar(range(len(event_rate_data)), event_rate_data['Event_Rate'],
alpha=0.7, color='steelblue')
plt.xticks(range(len(event_rate_data)), event_rate_data['bmi_group'].astype(str), rotation=45)
for i, (event_rate, n) in enumerate(zip(event_rate_data['Event_Rate'], event_rate_data['n'])):
plt.text(i, event_rate + 0.01, f'{event_rate:.2%}\n(n={n})', ha='center', va='bottom', fontsize=10)
plt.title('按BMI分组的结局事件率')
plt.xlabel('BMI分组')
plt.ylabel('事件率')
plt.tight_layout()
plt.savefig(os.path.join(results_dir, "事件率分析图.jpg"), dpi=300)
plt.close()
# 8. 分类变量的事件率分析
categorical_vars = ['indicator8', 'obesity', 'education', 'blood_type']
for var in categorical_vars:
event_rate_var = model_data.groupby([var, 'outcome']).size().unstack(fill_value=0)
event_rate_var_pct = event_rate_var.div(event_rate_var.sum(axis=1), axis=0) * 100
plt.figure(figsize=(10, 6))
event_rate_var_pct.plot(kind='bar', alpha=0.7)
plt.title(f'按 {var} 分组的事件率')
plt.xlabel(var)
plt.ylabel('百分比 (%)')
plt.legend(title='结局')
plt.xticks(rotation=45)
plt.tight_layout()
plt.savefig(os.path.join(results_dir, f"事件率_{var}.jpg"), dpi=300)
plt.close()
# 计算模型性能指标
# 传统Logistic回归的预测概率
logistic_probs = logistic_model.predict(model_data)
logistic_loss = log_loss(y, logistic_probs)
# Scikit-learn贝叶斯回归的预测概率
sklearn_probs = 1 / (1 + np.exp(-(intercept + X_scaled.dot(coef))))
sklearn_loss = log_loss(y, sklearn_probs)
# 创建性能比较表
performance_comparison = pd.DataFrame({
'Method': ['Traditional_Logistic', 'Sklearn_Bayesian'],
'Log_Loss': [logistic_loss, sklearn_loss]
})
performance_comparison.to_csv(os.path.join(results_dir, "Performance_Comparison.csv"), index=False, encoding='utf-8-sig')
# 输出主要结果到控制台
print("\n=== 传统Logistic回归结果 ===")
print(logistic_results.head())
print("\n=== Scikit-learn贝叶斯回归结果 ===")
print(sklearn_results.head())
print("\n=== 率比(RR)结果 ===")
print(rr_results_df.head())
print("\n=== 模型性能比较 ===")
print(performance_comparison)
print("\n分析完成!所有结果已保存到 Result-Bayes 文件夹中。")
print("包含内容:")
print("1. 贝叶斯和Logistic回归比较 (Excel和CSV)")
print("2. 对数尺度和原始尺度比较图")
print("3. 两种方法的单独森林图")
print("4. 率比(RR)森林图")
print("5. 事件率分析图")
print("6. 分类变量的事件率分析图")
print("7. 模型性能比较")
如何选择?
选择传统逻辑回归当:
样本量足够大
没有明确的先验知识
需要标准的p值进行假设检验
选择贝叶斯回归当:
样本量有限
有可靠的先验信息可以利用
需要更精确的不确定性估计
希望结果更容易解释
实际应用建议
初学者可以从传统逻辑回归开始,掌握基本概念
进阶分析建议尝试贝叶斯方法, especially在小样本研究中
结果报告时,同时提供OR值和RR值,满足不同读者的需求
可视化是关键:一图胜千言,森林图是最好的结果展示方式
无论是传统方法还是贝叶斯方法,都是我们认识世界、探索规律的工具。没有绝对最好的方法,只有最适合当前问题的方法。
在这个数据驱动的时代,掌握多种分析方法,就像拥有了不同功能的瑞士军刀,能够帮助我们更加从容地面对各种研究挑战。
温馨提示:本文中的分析使用Python实现,所有代码和结果均开源可复现。感兴趣的同学可以自行尝试,体验数据科学的魅力!
医学统计数据分析分享交流SPSS、R语言、Python、ArcGis、Geoda、GraphPad、数据分析图表制作等心得。承接数据分析,论文返修,医学统计,机器学习,生存分析,空间分析,问卷分析业务。若有投稿和数据分析代做需求,可以直接联系我,谢谢!
公众号右下角-联系作者,
可加我微信,邀请入粉丝群!
【临床】有临床流行病学数据分析如(t检验、方差分析、χ2检验、logistic回归)、(重复测量方差分析与配对T检验、ROC曲线)、(非参数检验、生存分析、样本含量估计)、(筛检试验:灵敏度、特异度、约登指数等计算)、(绘制柱状图、散点图、小提琴图、列线图等)、机器学习、深度学习、生存分析等需求的同仁们,加入【临床】粉丝群。
【公卫】疾控,公卫岗位的同仁,可以加一下【公卫】粉丝群,分享生态学研究、空间分析、时间序列、监测数据分析、时空面板技巧等工作科研自动化内容。
【生信】有实验室数据分析需求的同仁们,可以加入【生信】粉丝群,交流NCBI(基因序列)、UniProt(蛋白质)、KEGG(通路)、GEO(公共数据集)等公共数据库、基因组学转录组学蛋白组学代谢组学表型组学等数据分析和可视化内容。
往期推荐:【监测预警自动化】系列教程
往期推荐:样本含量估计(样本量计算与功效分析)
往期推荐:SPSS、R语言、Python等临床数据分析专题
往期推荐:科研图表绘制专题
往期推荐:重复测量数据分析专题
往期推荐:生信分析、基因测序数据、实验室数据专题
往期推荐:生存分析及机器学习
往期推荐:二分类因变量机器学习及相关评价可视化
技术分享|如何综合评价临床预测模型?手把手教你学会9种机器学习模型×5种模型评价曲线的综合评价方法(附Python批处理代码)
一文读懂十模型lasso、贝叶斯、KNN、Logistic、决策树、随机森林、SVM、神经网络、XGBoost、lightGBM
一文读懂十模型lasso、贝叶斯、KNN、Logistic、决策树、随机森林、SVM、神经网络、XGBoost、lightGBM
【Python机器学习】十分钟读懂Logistic、决策树、随机森林、SVM、神经网络、XGBoost、lightGBM七种模型
【R语言机器学习】十分钟读懂Logistic回归、决策树、随机森林、SVM、神经网络、XGBoost、lightGBM七种模型
往期推荐:时间序列分析
往期推荐:地统计分析-GIS、地图、相关、聚类、回归
往期推荐:科研自动化探究
往期推荐:趣味阅读

