摘要:随着风电渗透率的不断增加,风电作为未来电网中的重要电源应具备传统电源有功控制和频率调整等辅助功能,改善新能源电力系统的频率响应特性。本文提出研究大规模风电联合火电机组的电力系统调频策略。首先,从风电机组的层面提出转子动能控制和桨距角控制的综合调频策略,实现风电机组大范围风速内参与系统调频;其次,为避免风电机组退出调频时发生频率二次跌落事故,设计模糊PI控制器实现风电机组转子转速的恢复控制;再次,考虑到风电场内风电机组运行工况的不同,提出基于权重因子的风电调频功率最优分配,充分发挥风电机组转子动能控制的调频能力,并给出风电场内调频机组有序退出调频模式的策略;最后,构建大规模风电与火电联合调频的控制框架,以期提高大规模风电接入电力系统的调频能力。

引用
风电渗透率的不断攀升,对电力系统的安全稳定运行提出了更为严苛的要求。风电出力难以预测,为保证电力系统中功率的实时平衡,要求系统所留备用功率与风力发电发展规模同步增长,并配置相应的备用容量才可保证电力系统的安全稳定运行。
由于双馈风力发电机组通过变流器与电网同步运行,发电机转子与电网频率完全解耦,无法像同步发电机组一样直接响应系统频率的变化,为此,风力发电机组一般不参与电力系统调频,系统调频功率完全由传统的同步发电机组承担。根据2016年国家能源局印发的《风电发展“十三五”规划》,我国将持续增加风力发电量在全国总发电量的比重,实现风力发电从补充性能源向替代性能源的转变。这样使得具有调频能力的同步发电机组比例逐渐减少,而无法响应系统频率变化的风电机组的渗透率持续攀升,使得同步发电机组调频特别是调峰压力增加,也给电力系统调度运行带来较大困难。
为了使风电机组具有一次调频能力,国内外学者已开展了大量的研究工作,主要通过风电机组采用附加控制的方式响应系统频率变化,实现风电机组参与系统调频。风电机组参与系统调频的主要策略包括风电机组自身的附加频率响应控制和风电场配置储能装置,其中,风电场配置储能装置调峰、调频原理简单,但利用储能装置的成本较高,就目前而言,还不合适大规模推广使用。利用风电机组附加频率响应控制的主要策略有转子动能控制和功率备用控制。转子动能控制包括虚拟惯性控制和下垂控制,而功率备用控制包括桨距角控制和转子超速控制。
1风电机组调频策略
通过对风电机组设置附加频率控制系统,可以响应系统频率变化。由于风电机组输出功率的随机性和不可控性,其调频能力也与风电机组的运行状况相关,不同风速下风电机组的调频能力也不同。本文所涉及的风电机组均为1.5MW双馈风电机组,其运行的额定风速为13.5m/s。考虑风电参与系统调频的经济型性和安全可靠性,将13.5m/s的风速值作为临界点,实现转子动能控制与桨距角控制的自动切换,提高风电机组的调频性能。当风速v<13.5m/s时,采用转子动能控制,通过将风机转子中存储的旋转动能转化成电磁功率,释放转子动能参与系统频率调整;当风速v≥13.5m/s时,风电机组采用桨距角控制,通过改变桨距角β降低有功出力,使风电机组输出功率保持在恒定区且具有一定的功率储备。
1.1 风机全风速下频率控制
本文提出了全风速范围内风电参与系统的调频策略,其中,额定风速下采用转子动能控制,额定风速上采用桨距角控制,进而实现风电机组实时调频。
1.1.1 转子动能控制

转子动能控制主要包括附加虚拟惯性控制和下垂控制。虚拟惯性控制的作用是使风电机组具有与常规发电机组类似的自然调频能力,通过模拟同步机转动惯量特性实现风电机组参与系统调频;下垂控制的原理是模拟同步机的有功功率静态频率特性曲线,对风电机组的有功出力做出适当调整。

1.1.2 桨距角控制

桨距角控制是通过控制风机的桨距角,改变桨叶的迎风角度与输入的机械能量,使其处于最大功率点之下的某一运行点,留有一定的备用功率用于支撑系统中可能出现的功率缺额。风况一定的情况下,桨距角越大,机组留有的有功备用也就越大。桨距角控制的调节能力较强,调节范围较大,原则上可以实现全风速下的功率控制。但由于风电机组的桨距角调节是一个机械过程,响应时间较长且变桨系统的频繁动作也将加剧机械部分的磨损,影响风电系统的寿命。在实际工程中,风电企业为追求利益最大化,在低风速段通常追踪最大功率点,不向系统提供有功备用。一般运行条件下,运行在额定风速以上的风机通常采用桨距角控制,而且由桨距角控制下产生的有功备用在系统频率下降时可产生最为明显的效果。此种运行工况下,风机可提供的备用支撑可在较长时间内对系统频率进行调节。

本文依据转子动能控制和桨距角控制各自的特点,充分挖掘风电机组的调频能力,将二者结合进行控制,形成风电机组调频的综合控制策略。转子动能控制提供的调频功率∆P1和桨距角控制提供的调频功率∆P2能够改善风电机组对系统频率的响应,并阻止频率过快变化,减少系统频率偏差。通过控制参与系统调频功率参考值∆P1和∆P2,能够对系统频率变化做出响应并进行快速调节。

1.2转子转速恢复策略
基于能量守恒定律,转子动能控制就是通过释放转子旋转动能为系统提供短暂有功支撑实现电力系统的一次调频。然而,转子转速不能长时间维持在降速阶段,当转速降低到一定程度,风电机组转子转速将重新恢复到初始运行状态。即单机可增发功率为零时进入转速恢复阶段。由于转子动能控制的调频时间短,为此,认为风电机组在调频过程中风速不变。风速不变,则风电机组转子转速恢复时需要传统机组提供有功支撑。
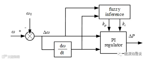
为了保证风电机组快速平稳恢复,且不会造成电力系统频率的二次跌落,本文设计模糊PI控制器完成风电机组退出调频模式。

2风电场调频策略

风电场内风电机组所处地理位置不同,导致风电就在输入风速存在一定的差异性,进而造成风电机组的调频能力也不尽相同。若对每台风机进行逐个调频控制,工作量大且耗时长。因此本文提出依据实时风速对风电场风电机组进行分组,然后对各组机组进行调频控制,并完成风电机组有序退出调频模式。
2.1风电机组协调控制策略
由于风速的随机波动性和不确定性,风电场内的风电机组很可能运行在不同的风速工况下。当风速大于额定风速时,本文提出统一采用桨距角控制减载运行备用调频功率,风电场内所有风电机组的功率备用均按减载10%储备;而当风速小于等于额定风速时,本文采用转子动能综合控制策略调频。由于风电机组所处风速工况不同,通过转子动能控制调频的能力也不同,风速越高,调频能力越强,越持久。为了保证风电机组调频的可靠性,应设置风电机组通过转子动能控制参与系统调频的风速下限值。
风机机组参与系统调频时,其转子转速应高于次同步运行转速0.7 p.u.。本文所研究的风电机组均取为1.5MW的双馈风电机组,当机组转子转速0.7 p.u.时,则对应的风速为6.7 m/s。为了提高风电参与调频的安全性,设置风电机组参与系统调频风速的最低限值为7 m/s。为此,风电机组采用转子动能控制参与系统调频的风速范围为7~13.5m/s。为了提高风电场的频率响应速度,根据风电机组实际运行风况,将风电机组按照风速分为若干组,然后对每一组风电机组进行调频控制。
本文提出基于权重因子的风电机组协调控制策略,进而计算每组风电机组的调频功率参考值,风速段分组及权重因子设定值如表1所示:
表1 风电机组分组

将风电场转子动能控制的风速段分为4组进行控制,此分配方法可确保不同风速段分配不同的功率参考值并且较高风速段功率参考值高于较低风速段。由权重因子及各风速段风机数量可计算出各组风机的分配功率
2.2 风电机组有序退出调频策略
风电机采用桨距角调频时,风速不变的情况下,将减载储备的功率提供给系统,提供持久的频率支撑。而采用转子动能控制的风电机组通过牺牲转子转速向系统增发有功功率,为系统提供短暂的调频功率后需恢复转子转速进而退出调频模式。风速不变情况下,风电机组退出调频模式时仍需向系统吸收有功功率恢复转子转速,若风电机组不加控制自行退出调频模式时,可能会引起系统发生频率二次跌落,严重时可威胁电力系统的安全运行。
为避免频率二次跌落事件的发生,本文提出依次有序退出调频模式的控制策略。有序退出调频模式的依据是表1给出的风速段k和各风速段内的风电机组台数Nk。由于风电机组所处的风况较为复杂,一个风电场的4组风电机组的台数不可能均匀分布,甚至会存在风电机组的分组数不足4。所以,仅以风速段为依据退出调频模式不合理,还需结合每一组内的风电机组台数,具体策略如下:
首先确定每组内的风电机组台数,若存在任一组的台数超过风电场总风电机组台数的1/2时,将这一组的风电机组再平均分为2组;然后按照表1划分的风速段,考虑调频时任一组风电机组台数超过总台数的1/2,从风速较小到风速较大依次获得退出调频模式的风电机组分组数。根据新的分组数,按照低风速段的风电机组优先退出系统调频原则有序退出。当较低风速段内出现风电机组退出调频时,确定此时为恢复开始时刻t0,其余组依次在前一组的恢复时刻的基础上增加延时∆t。从而可使不同风速段的风机依次退出调频,在保障风机正常运行的基础上实现系统频率平稳、快速恢复。若存在一个调频分组内的机组台数超过总台数的1/2,该组内的风电机组也需有序退出,2组风电机组依次退出调频模式,且时间间隔取为∆t0。
3风-火联合调频

根据上述风电机组参与系统调频的研究结果可知,通过转子动能控制的风电机组调频功率输出基本在5s内完成,而常规火电机组由于其惯量大,频率响应速度慢,在电网出现故障导致功率缺额、频率波动后,通常在5-10s后才能平稳增加有功功率,弥补电网的有功缺额,有效抑制频率波动直至稳定。为此,结合火电机组调频的持久性和风力机组调频的快速性,本文构建了风-火联合调频方案,具体如图所示。通过风火联合调频,保证电网频率快速回稳,既可提高系统频率的响应能力,又能积极消除风电的弃风现象。

该方案利用调度中心实时分配功率缺额给火电厂和风电场,然后火电厂和风电场快速响应调频,给电力系统补充功率缺额。联合调频过程中,需要协调火电厂和风电场以及风电场内风电机组间的调频功率。当系统频率跌落时,假设此时电力系统的有功缺额为∆P,调度中心根据火电厂和风电场实时的运行工况,将功率缺额下发到火电厂和风电场,火电厂和风电场控制中心按照调度中心下发的功率缺额进行调频控制,其中,风电场控制中心根据风电机组的实时风速对风电机组进行分组,然后按照权重因子实现调频功率的最优分配,快速响应系统频率变化。
由于风电具有快速响应频率变化的能力,而变桨系统机械执行机构又相较于转子动能控制具有一定的时滞性,因此在接收到缺额信号∆P后,v<13.5m/s的风机可快速释放转子动能,优先为系统提供短暂有功支撑,v≥13.5m/s的风机则通过桨距角控制对系统释放备用的有功功率。
4结论
考虑到风电机组转子与电网频率完全解耦无法响应系统频率,本文提出了大规模风电场联合火电机组共同承担电力系统调频的方法与思路,构建了风火联合调频的控制方案,给出了风火联合调频的策略,获得了如下结论:
1)依据风电机组所处风况不同,提出了风电机组处于额定风速及以下时采用转子动能控制、额定风速以上采用桨距角控制的调频控制策略,实现风电机组全风速范围内参与电力系统调频。
2)考虑到转子动能控制提供调频功率后需恢复转子转速,为了防治系统频率二次跌落事故,提出了风电机组有序退出调频模式的转速恢复协调控制策略。
参考文献:
[1] Peihong Yang, Bin He*, Biao Wang, et.al. Coordinated Control of Rotor Kinetic Energy and Pitch Angle for Large-Scale Doubly Fed Induction Generators Participating in System Primary Frequency Regulation [J]. IET Renewable Power Generation. DOI: 10.1049/rpg2.12153

