大家好,我是邓飞,虽然,我早就知道GWAS分析中的effect值,就是数量遗传学的基因中的替换效应,但是一直没有仔细阅读相关材料。今天通过阅读数量遗传学的教程,理解了这个概念,真好。并且通过R语言模拟数据,验证了这个结论,纸上得来终觉浅,绝知此事要躬行!
同时,根据公式推导,可以更贴切的知道BLUP育种值的含义,我们为何要根据育种值进行选择,选择后会发生什么,加性效应,显性效应对于单位点SNP如何计算,对于PRS,MAS,GS的理解都是非常重要的。
1. GWAS中的effect
这里,GWAS中的回归系数,effect,beta,都是一个意思。
因为GWAS分析中,单点检测,类似回归分析,effect就是SNP回归系数beta,p值就是SNP的P-value。
比如数据:
用R语言拟合模型:
mod_M7 = lm(phe.V3 ~ M7_1,data=dd)
summary(mod_M7)
这里的M7位点,effect是1.394,p值是0.29。
下图用GWAS的GLM模型展示,两者结果是一致的。
2. 数量遗传学中的替换效应
2.1 加性效应和显性效应
首先,先看一下加性效应和显性效应的定义:

举个栗子比如:
-
A2A2的平均值是:20 -
A1A2的平均值是:17 -
A2A2的平均值是:10
那么:
-
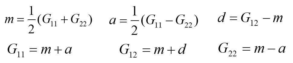
平均值是m = (10+20)/2 =15 -
加性效应的值是a = (20-10)/2 =5 -
显性效应的值是d = 17-15=2
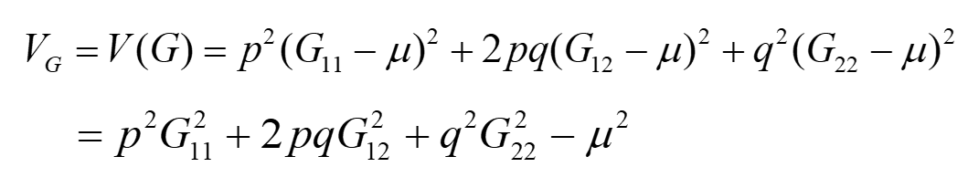
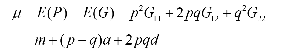
2.2 期望和方差
假定一个位点的次等位基因频率是p,主等位基因频率是q,而且该位点满足哈温平衡,所以:
整体均值为:
整体方差:
2.3 等位基因平均效应
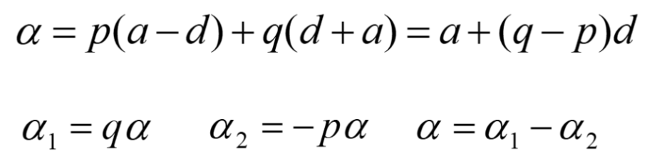
❝一种定义等位基因效应的方法,是利用后代群体的平均表现与随机交配群体均值的离差进行计算。以等位基因A1为例,把它视为配子,与群体中其他配子随机结合产生一个后代群体,其他配子基因型既有A1也有A2,它们的频率分别为p和q。因此,配子A1产生后代群体中的基因型有A1A1和A1A2两种,频率也分别为p和q。根据配子A1后代群体的基因型频率,就能得到后代群体的均值为pa+qd,从中减去随机交配群体的均值μ,就得到等位基因A1的效应 。类似地,我们还可以得到等位基因A2平均效应 。对于复等位基因,可用同样的方法定义它们的平均效应。
❞
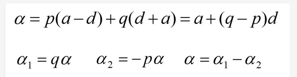
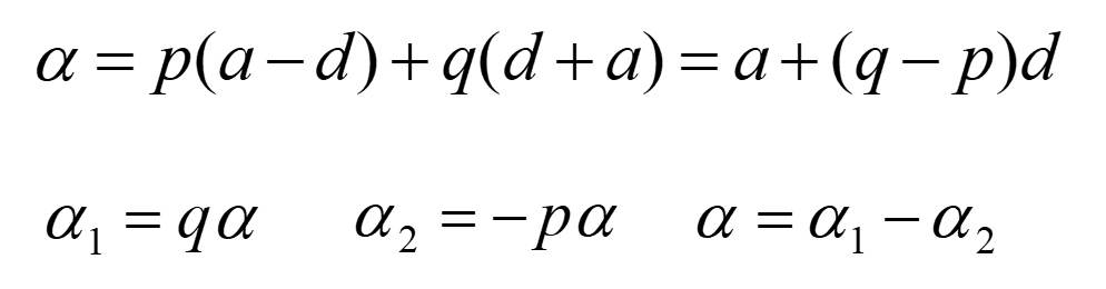
2.4 替换效应(substitution effect)
❝育种过程中,当选择有利于某个等位基因时,常意味着有利等位基因对另一个不利等位基因的替换。因此,有必要研究等位基因的替代效应(effect of an allele substitution)。假定我们可以把随机挑选的等位基因A2变为A1,中选个体的基因型可能是A1A2也可能是A2A2,频率分别为p和q。把A1A2变为A1A1后,基因型值从d变为a,替换前后的效应变化为a-d;把A2A2变为A1A2后,基因型值从-a变为d,替换前后的效应变化为a+d。因此得到平均基因替换效应的表达式。
❞
「基因平均效应和替换效应的关系:」
❝上面资料来源王健康老师的PPT内容:第8章 随机交配群体的遗传分析
❞
3. 用基因型数据计算
3.1 基因频率
首先,看一下基因频率:
-
p为:0.1693 -
q为:0.8307
也可以根据AA,AT,TT的个数,手动计算:
3.2 加性效应和显性效应
这里,用AA,AT,TT平均表型值计算:
「计算的结果:」
-
m:2.316 -
a:2.316 -
d:1.804
3.3 基因效应和替换效应
注意,如果要手动计算的替换效应和回归分析计算的回归系数,需要满足哈温平衡。这里位点不符合哈温平衡,所以手动计算的替换效应和回归分析的beta值有差别。
4. 替换效应和回归系数等价推导
下面介绍一下相关的推导。
把SNP的分型转为0-1-2的X变量,将表型数据为Y变量,那么回归系数的公式可以推导为替换效应的组成。
上图中,X是编码为0-1-2的SNP,Y是每个基因型0-1-2的表型值。比如:
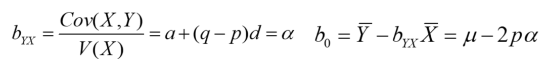
如果我们对value为Y,SNP为x,计算回归系数:b = cov(X,Y)/var(X),就可以推导为:b = alpha,截距为:u - 2palpha
结论:回归系数就是替换效应。
5 模拟数据演示
计算公式:
5.1 小数据演示
我们模拟一个符合哈温平衡的位点,p=0.5,q=0.5,n=12个:
计算不同分型的平均数:
-
A2A2 = 10.7 -
A1A2 = 18.2 -
A1A1 = 31
那么加性效应和显性效应为:
-
m = (31+10.7)/2 = 20.85 -
a = 31-20.85 = 10.15 -
d = 18.2 -m = -2.65
替换效应为:a + (p - q)d = 10.15 截距为:u = 19.5 截距 = 19.5 - 20.5*10.15 = 9.35
可以看出,计算出的回归系数为:10.16,截距为9.33,结果基本一致。
5.2 大数据演示
# 假定p为0.8,q为0.2,a=10,m =30,d=5,
# 那么分型为0的为20,分型为1的为35,分型为2的为40
# 那么分型为0的频率为0.64,分型为1的频率为0.32,分型为2的频率为0.04
# 总模拟个数为1000,标准差为5
rm(list=ls())
set.seed(123)
AA = data.frame(SNP = rep(0,640),y = rnorm(640,20,5))
AT = data.frame(SNP = rep(1,320),y = rnorm(320,35,5))
TT = data.frame(SNP = rep(2,40),y = rnorm(40,40,5))
dd = rbind(AA,AT,TT)
head(dd)
str(dd)
table(dd$SNP)
mod = lm(y ~ SNP,data=dd)
summary(mod)
## 手动计算
mu = mean(dd$y);mu
a=10;d=5;p=0.8;q=0.2
beta = a + (p-q)*d;beta
beta_0 = mu - 2*q*beta;beta_0
回归计算的回归系数和截距为:
-
截距:20.6 -
回归系数:12.9989
手动计算基因的替换效应:
-
截距为:20.61 -
回归系数为:13
两者结果完全一致。
5. 替换效应和育种值
一个个体的育种值,就是他的后代群体,相对于整个亲本群体的差异。比如一个个体的育种值是0.5,那就是说他的后代会比群体的整体平均值高0.3,如果育种值是0,那就是后代的平均值和群体一致。所以,我们要选择blup值大的个体,因为它的后代会高于群体的平均值。
因此,基因型A1A1、A1A2和A2A2的育种值分别为A11=2α1, A12=α1 +α2和A22=2α2 。统一起来,各种基因型的育种值表示为:
-
A11 = 2*alpha1 -
A12 = alpha1 + alpha2 -
A22 = alpha2 注意,这里的alpha1是等位基因1的平均效应,alpha2是等位基因2的平均效应。
所以,这里,就可以理解为数量遗传学的替换效应就和GWAS分析的效应值联系到了一起。
根据上面的公式,我们就可以根据每个位点的效应值,计算单个SNP的育种值,加性效应和显性效应。


