内容提要:
* 如何理解二次型
* 多元变量的二次型
* 二次型的应用
点击蓝字 |关注我们
欢迎回来。这里是数学科学思维系列,旨在帮助大家快速梳理「向量、矩阵、积分、微分、函数、优化、概率」等数据科学的基础内核。上一期【数据科学之基础思维系列】第9讲:特征根和特征向量的性质,我们给大家系统的梳理了「特征根和特征向量」相关要点,并利用韦达定理推出了特征根之和与特征根之积的表达式,接着又推出了斐波那契数列的通项公式。这一期,我们来说说「二次型矩阵」。
相信大家应该经常会看到「二次型、正定矩阵和对称矩阵」的描述,那么它们分别对应了什么含义呢?本期开始,我们就是要言简意赅的梳理清楚。
壹 如何理解二次型
首先,我们先从一个几何图入手。下面这个图代表了一个平面与立体对称圆锥相交的曲线,仔细观察,可以看出,这一系列图形都是二次曲线,即可以用 表示的曲线表达式。
1.从二次曲线到二次型
可以看出,上面的式子也都可以用下式表示出来:
这个式子便是二次曲线的一般表示形式。这个一般表示形式也可表示为:

那么,如果我们令矩阵 :
❝这里的 就是二次型,其中 是 阶对称矩阵, 是一个列向量,二次型展开后为 ,满足 。
❞
说白了,二次型就是都是有二次项构成的。
如果 那么意味着二次项均为 ,那么 就不是二次曲线了,而是一条直线或一个点,所以 矩阵起到「决定作用」,被称为「二次型矩阵」。
另外, 矩阵是依「对角线对称」的,意味着 。同时,它还是「方阵」,如果 中非对角线上的位置全为零,则称矩阵 为「标准的二次型矩阵」。
2.二次曲线的二次型
举个例子,理解一下如何生成二次曲线的二次型。假如我们有个二次曲线为:
可以写成:
这里第一项
如果二次曲线的 项系数为 ,二次型为:
这里的矩阵
称为标准二次型矩阵。
3.二次型的线性替换
接着,如果我们还有一个曲线,想把它写成「标准方程」的表达式,该怎么处理呢?假如有如下二次曲线
很简单,我们可以利用「线性替换」的思想进行变换,比如用「配方法」。
令 ,这样原来的式子就可以变成:
对应的标准二次型矩阵为:
这个曲线就是椭圆曲线:
4.二次曲面的二次型
如果是 元的二次曲面呢?比如椭球面:
或者圆锥面:
从线到面,变量从二维到三维,此时的一般式可以写成:
展开二次型部分写成:
此时如果令 ,
那么 式可继续写成:
假如我们想把 变化成对角矩阵,也可以通过线性变换做到,令 ,这样就有:
令 这里其实就可以结合我们上期讲义相似变换的思路,求出一个矩阵 让它的「非对角线上的元素均化简为零」。
那么如果变量为多元呢?
贰 多元变量的二次型
1. 元的二次型
对于 元的二次型也是同二元、三元类似,对应的矩阵 就是 维的对称矩阵:
那么对于对称矩阵 我们可以找到它的特征根和特征向量,生成:
此时可以发现:
对于 又可以写成 从而得到 生成对角矩阵 。接着,由于 ,那么特征向量之间满足了标准的正交关系。
2.用归纳法证明二次型可化简为标准型
❝标准型指二次型由纯平方项构成:
其中 。
是否任意一个「实对称矩阵的二次型」都可以经过一个非退化的线性替换变成标准型中平方和的形式呢?
❞
这里的「实对称」代表的是矩阵 是实数且对称,「非退化」代表 其中 为可逆矩阵。这句话的意思就是说「能否把多元的矩阵都表示成标准型的形式」,也就是二次型矩阵只有对角元素有数,其余均为零的情况,在上文椭圆曲线的例子里,我们用的方法是配方法,这里当然这里我们可以用归纳法来逐个梳理:
当变量数 时
因为不存在交叉项,所以满足要求:
当变量数 时
假设当 时也可以表示成平方和的形式,也是成立的,意味着存在下式成立:
其中
当变量数 时
那我们如果已知变量数 时是成立的,如何来证明变量数为 的结果,令:
case 1 令二次项系数至少有一个不为
如果 中至少有一个不为 ,不妨令 则有:
因为这里的 所以式中的第二项和第三项就可以合并,接着把 提取出来,并采用「配方法」:
接着,我们观察后面两项是否可以化简,从后面第一项中可以看出有 个,后面第二项也是 个,那么后面两项就可以合并,我们令合并后的式子为:
由于我们前提中说到 维时二次标准型成立,那么对于这个合并的式子,自然也可以进一步转化为:
最终,整个式子就都整理为了标准型的样子:
case 2 令所有二次项系数均为 至少有一个
这时,因为所有的二次项系数均为零,意味着 ,那么函数式可以写成:
那么,我们不妨令 ,接着进行变换,令:
原式为:
这样如果存在 那么就都可以通过上面的变化,转换为标准型的形式,这样就证明完毕。
case 3 令某一行某一列的系数为零
比如令:
这时其实就转化为 元的二次型,那么从上面的证明中自然可以得出标准型。
❝综上讨论得出结果:实对称矩阵一定可以对角化生成标准型,特征向量都满足线性无关。
❞
叁 二次型的应用
那么掌握了二次型的这一特点,可以用来做什么呢?比如我们有 个随机变量,想要计算他们的方差:
这里的 代表了方差, 代表了协方差,也可以简化为:
那么原式就可以转换为:
如果 线性无关,那么自然协方差项均为零,上式就可以写成标准二次型的形式:
那么如果 时,平方项的系数都为 ,就转为了「规范二次型」。
❝可以看出,利用二次型可以转为标准型的这一特点,我们就能实现对原式方程的简化,并且还可通过标准型来分析「二次曲线的几何性质」。
❞
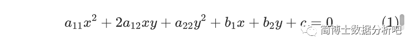
那么这期,我们就留一个小伏笔,举个例子来看看如何将下面这个二次函数转化为二次型。
好啦,关于二次型矩阵的特点,我们就介绍到这里,下一期我们继续说说「正定矩阵的内容」。更新不易,喜欢这个系列的小伙伴请多多点赞支持,我们下期不见不散~
欢迎大家关注简博士的B站和公众号,在公众号私信“入群”,可以与小伙伴们一起讨论问题哦。
扫码关注我们
微信号|Dr_Janneil
B站|简博士

