本小节介绍什么是描述性统计分析,以及常用的指标
一、什么是描述统计分析(Descriptive Analysis)
概念:使用几个关键数据来描述整体的情况
描述性数据分析属于比较初级的数据分析,常见的分析方法包括对比分析法、平均分析法、交叉分析法等。描述性统计分析要对调查总体所有变量的有关数据做统计性描述,主要包括数据的频数分析、数据的集中趋势分析、数据离散程度分析、数据的分布、以及一些基本的统计图形。
Excel里的分析工具库里的数据分析可以实现描述性统计分析的功能。


描述性统计分析即是对数据源最初的认知,包括数据的集中趋势、分散程度以及频数分布等,了解了这些后才能去做进一步的分析。
二、常用指标
均值、中位数、众数体现了数据的集中趋势。
极差、方差、标准差体现了数据的离散程度。
偏度、峰度体现了数据的分布形状。
1、均值。均值容易受极值的影响,当数据集中出现极值时,所得到的的均值结果将会出现较大的偏差。
2、中位数:数据按照从小到大的顺序排列时,最中间的数据即为中位数。当数据个数为奇数时,中位数即最中间的数,如果有N个数,则中间数的位置为(N+1)/2;当数据个数为偶数时,中位数为中间两个数的平均值,中间位置的算法是(N+1)/2。中位数不受极值影响,因此对极值缺乏敏感性。
3、众数:数据中出现次数最多的数字,即频数最大的数值。众数可能不止一个,众数不能能用于数值型数据,还可用于非数值型数据,不受极值影响。
4、极差:=最大值-最小值,是描述数据分散程度的量,极差描述了数据的范围,但无法描述其分布状态。且对异常值敏感,异常值的出现使得数据集的极差有很强的误导性。
5、四分位数:数据从小到大排列并分成四等份,处于三个分割点位置的数值,即为四分位数,四分位数分为上四分位数(数据从小到大排列排在第75%的数字,即最大的四分位数)、下四分位数(数据从小到大排列排在第25%位置的数字,即最小的四分位数)、中间的四分位数即为中位数。四分位数可以很容易地识别异常值。箱线图就是根据四分位数做的图。
四分位数的计算:
下四分位数的位置:
1、计算n/4
2、如果结果为整数,则下四分位数位于n/4这个位置和下一个位置的中间,取这两个位置上数值的平均值
3、如果结果不为整数,则向上取整,所得结果为下四分位数的位置
上四分位数的位置:
1、计算3n/4,
2、如果结果为整数,则上四分位数位于3n/4这个位置和下一个位置的中间,取这两个位置上数值的平均值
3、如果结果不为整数,则向上取整,所得结果为上四分位数的位置
eg、3 3 6 7 7 10 10 11 13 30
n=11, 11/4=2.75,不为整,向上取整3,则下四分位数是第3个数,即6;
3*11/4=8.25,也不为整,向上取整9,则上四分位是第9个数,即11
箱线图可以用来比较不同组别的数据。箱线图除了上下四分位数,还有上界(除异常点以外的最大值)、下界(除异常点以外的最小值)
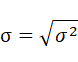
6、方差和标准差。方差是每个数据值与全体数据的平均数差的平方的平均数。标准差是方差开方。方差与标准差表示数据集波动的大小,方差小,表示数据集比较集中,波动性小,方差大,表示数据集比较分散,波动性大。由于标准差只能用于统一体系内的数据比较,如果要对不同体系的数据比较,就要引入标准分的概念。


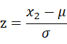
7、标准分z:对数据进行标准化处理,又叫Z标准化,经过Z标准化处理后的数据符合正态分布(即均值为0,标准差为1)。标准分是对不同数据集的数据进行比较的量,可用来表示数据值在所在数据集内的相对排名 。标准分的意义是每个数值距离平均值有多少个标准差。
有数据集x1,x2,x3,其平均值为μ,标准差为σ,则其标准分z为:

8、峰度:描述正态分布中曲线峰顶尖哨程度的指标。峰度系数>0,则两侧极端数据较少,比正太分布更高更瘦,呈尖哨峰分布;峰度系数<0,则两侧极端数据较多,比正太分布更矮更胖,呈平阔峰分布。
9、偏度:以正态分布为标准描述数据对称性的指标。偏度系数=0,则分布对称;偏度系数>0,则频数分布的高峰向左偏移,长尾向右延伸,呈正偏态分布;偏度系数<0,则频数分布的高峰向右偏移,长尾向左延伸,呈负偏态分布。
还有一些其他的量,不仅在描述性统计分析中常见,在数据报告中也很常见,如
10、绝对数
11、相对数:倍数、成数、百分数
12、百分比
13、百分点:1个百分点=1%,是指变动的幅度
14、频数:绝对数,是一组数据中个别数据重复出现的次数
15、频率:相对数,次数与总次数的比。
16、比例:相对数,总体中各部分占全部的比,如:男生的比例是30:50
17、比率:相对数,不同类别的比,如男女比率俄日3:2
18、倍数:相对数,一个数除以另一个数所得的商,如A/B=C,那么A是B的C倍。
19、番数:相对数,指原来数量的2的N次方,如翻一番,意思是原来数量的2倍,翻两番意思是4倍
20、同比:相对数,指历史同时期进行比较,如去年12月与今年12月相比是同比
21、环比:相对数,指与前一个统计期进行比较,如今年5月与今年4月相比是环比
------------------------------------------
下一节内容:用Excel做直方图(2):频率分布直方图
注:本文首发于CSDN,原文见原文链接
@文章属原创,转载请联系作者
@作者:虾壳,在数据分析的道路上努力奔跑
@微信公众号:可乐的数据分析之路
往期文章精选:

